Risk of Impact from Anthropogenic Impulsive Sound
Background
OSPAR endeavours to keep the introduction of energy, including underwater noise, at levels that do not adversely affect the marine environment. Sound is a by-product of human activities in the marine environment (e.g., shipping or construction) or is produced intentionally for the purposes of surveying the seabed or water column. Sound is referred to here as ‘noise’ only when it has the potential to cause negative impacts on marine life.
The introduction of anthropogenic sound became widespread with the advent of motorised shipping, and now has a wide range of sources. Anthropogenic sound sources are categorised as impulsive or continuous. This assessment addresses impulsive sound sources, which include percussive pile driving for inshore and offshore construction (Figure 1), seismic surveys (using airguns) to map subsea oil and gas deposits, explosions, and some sonar sources.
Impulsive sound sources are capable of causing permanent hearing damage and blast injuries, and have been observed to cause temporary displacement of small cetaceans (e.g., harbour porpoise), increased physiological stress in some fish species (e.g., European seabass), and developmental abnormalities in invertebrate larvae. While effects on individual animals have been shown for a number of species, there is uncertainty over whether and how the effects of sound on individuals are translated to the population or ecosystem scale.
This indicator assesses the estimated exposure to anthropogenic impulsive sound of species known to be particularly sensitive to disturbance or physiological stress from such sound. This exposure assessment is taken as a measure of the risk of impact on each species considered. Using data from the most recent pressure assessment of anthropogenic impulsive sound (which covered 2015-2019) together with monthly or seasonal maps of estimated species distributions or habitats, the extent of exposure is estimated.

Figure 1: Pile driving operation with bubble curtain. © Trianel/Lang

Figure 2: Harbour porpoise (Phocoena phocoena). © Solvin Zankl
Human activities introduce many types of energy into the marine environment including sound, light and other electromagnetic fields, heat, and radioactive energy. Of these, the most widespread and pervasive is underwater sound. It is likely that the amount of underwater sound has been increasing since the advent of steam driven ships although there have been very few studies to quantify any such increase in the OSPAR Maritime Area.
Anthropogenic sound is commonly known as noise, but for the purposes of this assessment the term ‘noise’ is used only in relation to sound that has the potential to cause negative impacts on marine life. The term ‘sound’ is used to refer to the acoustic energy radiated from a vibrating object, with no particular reference to its function or potential effect. ‘Sounds’ include both meaningful signals and ‘noise’ which may have either no particular impact or may have a range of adverse effects. The term ‘noise’ is only used where adverse effects are specifically described, or when referring to specific technical distinctions such as ‘masking noise’ and ‘ambient noise’. (Van der Graaf et al., 2012).
Sound sources can be categorised as continuous or impulsive. Impulsive sounds are of short duration and with a rapid onset (e.g., explosions, pile driving, seismic airguns, sonar), while continuous sounds are long lasting and do not have pulse characteristics (e.g., shipping, dredging). Impulsive sounds may be repeated at intervals (e.g., pile driving), and at distance will become diffused and may have a more continuous nature. High frequency sounds propagate less well in the marine environment than low frequency sounds, which can travel far in waters that are sufficiently deep.
Marine organisms that are exposed to anthropogenic sound (e.g., harbour porpoise Phocoena phocoena, see Figure 2) can be adversely affected over short timescales (acute effect) and over longer periods. Adverse effects may be subtle (e.g., temporary reduction in hearing sensitivity, physiological stress) or obvious (e.g., overt behavioural responses, death). While there is a growing body of literature on the potential effects of anthropogenic sound on individual animals (Williams et al., 2015), obtaining direct observations of the effects of anthropogenic sound on particular ecosystems or populations is challenging. As such, there is uncertainty over whether and how effects on individuals are translated to the population or ecosystem scale.
Descriptor 11 of the EU Marine Strategy Framework Directive (2008/56/EC) contains two Criteria of Good Environmental Status (GES) in European waters: D11C1 on “Anthropogenic impulsive sound in water” and D11C2 on “Anthropogenic continuous low-frequency sound in water”. At present, there are no threshold values for GES, although these are expected to be defined since the Commission Decision 2017/848 requires that “Member States shall establish threshold values for these levels through cooperation at Union level, taking into account regional or subregional specificities.” OSPAR has adopted Criterion D11C1 as an OSPAR Common Indicator, which is the subject of this assessment. This indicator builds on the existing Common Indicator for pressure from impulsive noise to consider the risk of impact from impulsive noise. The indicator is based on the spatio-temporal distribution of low-frequency and mid-frequency impulsive sound sources within the OSPAR Maritime Area, and spatio-temporal distributions of selected acoustically sensitive species or habitats.
Pressure data on impulsive noise activity were obtained from the Impulsive Noise Registry, which was developed for OSPAR by ICES, in 2016, to hold data on activities that generate impulsive sound. The registry accords with the guidelines from the EU Technical Group on Underwater Noise (adopted by OSPAR in 2014; OSPAR Agreement 2014-08 (Monitoring Guidance for Underwater Noise in European Seas) and is maintained by ICES. Initially, this registry was supported by OSPAR alone, but is now also used by HELCOM and may be used by other Regional Seas Conventions in the future. Data have been uploaded for several countries and this process is expected to continue. The database collates the data in a standard format and in accordance with the data requirements for the OSPAR Common Indicator on distribution of anthropogenic impulsive sound (OSPAR, 2014).
This assessment uses Impulsive Noise Registry data from 2015-2019. Details of this dataset are provided in the Common Indicator assessment of pressure from impulsive noise, which covers the same period, and which also describes refinements in the use of spatial units to reduce over-estimation. The methodology is outlined in the indicator specification sheet (OSPAR, 2019) and follows a nine-step process as outlined below. As an overview, a simplified example workflow for computing the indicator is shown in Figure a.

Figure a: Example workflow for mapping risk and calculating exposure indicators. Example population density (b) is modelled North Sea harbour porpoise density during autumn (Sep.-Nov.), from Gilles et al., (2016). Noise pressure map (c) is based on impulsive noise data reported for the OSPAR Maritime Area in Sep.-Nov. 2015. Merchant et al., (2018).
The nine-step methodology for the assessment proceeded as follows:
1. Select indicators species
According to evidence of adverse effects and management priorities, such as conservation status, availability of distribution/habitat data, and whether representative of other species/taxa. This work forms part of the assessment process.
The 2019 Common Indicator assessment indicated that most reported pressure from impulsive noise occurred in the North Sea (OSPAR, 2019): in 2017, when the difference was least, 901 Pulse Block Days (PBDs) occurred in OSPAR’s Region II (Greater North Sea), compared to a combined total of 576 maximum in other OSPAR Regions. In the North Sea, the most common cetacean species is the harbour porpoise, which is also known to be particularly sensitive to anthropogenic impulsive sound, with displacement of around 20 km reported from around unabated pile driving operations for offshore windfarms (Tougaard et al., 2009; Dähne et al., 2013), 12 km from around abated pile driving operations (Dähne et al., 2017), and up to 12 km from seismic airgun surveys (Sarnocińska et al., 2020). This is also a species with relatively high-quality modelled density estimates (e.g. Gilles et al., 2016) in the North Sea. As a relatively sensitive cetacean species, the harbour porpoise may serve as a sentinel for other cetaceans. For these reasons, the harbour porpoise was selected for inclusion in this first indicator assessment.
2. Define assessment area
For example, spatial boundary for a population at an ecologically relevant scale (management unit); defined habitat (MPA, spawning area, etc.); existing management areas.
The assessment area covers all habitat for the species for which pressure and species/density data are available. For harbour porpoise, the modelled densities published by Gilles et al., (2016) were recommended for use in this assessment by the OSPAR Marine Mammal Expert Group (OMMEG). These data cover most of the North Sea (Figure b), and are available for the months March through November. Impulsive noise data were first reported to the Impulsive Noise Registry (INR) by Norway for 2019, and so the Norwegian EEZ was excluded from the assessment for the years 2015-2018 (Figure c), except for a small buffer on the Denmark/Norway border where some seismic survey activity was reported inside the Norwegian EEZ.

Figure b: Assessment area defined for harbour porpoise with annual average density (animals per km2) computed from Gilles et al., (2016). Full extent of Gilles et al., (2016) modelled area.

Figure c: Assessment area defined for harbour porpoise with annual average density (animals per km2) computed from Gilles et al., (2016). Area used in the assessment, cropped to remove Norway, since activity was unreported for this Contracting Party during 2015-2018.
3. Define spatial and temporal resolution of indicator
Based on data availability and ecological relevance.
Temporal resolution: the data in the INR have a temporal resolution of 1 day (deriving from the unit of Pulse Block Day, PBD), while the species densities are seasonal (Gilles et al., 2016). Consequently, risk maps and exposure curves (see below) were computed at the resolution of months (March-November), and then aggregated to produce annual values.
Spatial resolution: the INR data uses ICES statistical sub-rectangles, which are approximately 20 km square, although this varies with latitude. The species density maps have a spatial resolution of 2 minutes. It was decided to retain the spatial resolution of ICES statistical sub-rectangles for consistency with the pressure indicator.
4. Specify estimated animal density or habitat area of indicator species
Use density estimation data if available and appropriate, otherwise use areas (e.g., habitat quality mapping, MPA, Spawning grounds, etc.).
Ideally, species distribution data would be contemporaneous with the assessment period, with high spatial and temporal resolution and low uncertainty. However, the limited scale of marine mammal monitoring constrains the quality of available data. Of the available data, the density maps published in Gilles et al., (2016) and updated in 2020 based on field observations made during 2014-2019 (Gilles et al., 2020) were chosen for harbour porpoise on the recommendation of OMMEG due to the relative robustness of the density estimates.
5. Produce pressure maps
According to a defined effect, e.g., avoidance, and source properties. May be based on distance of effect or on acoustic modelling depending on data availability and relevance to the impact being assessed. The use of data on noise levels, optionally reported to INR, should be included when available to encourage a more detailed analysis of risk impact if appropriate.
The distance of effect for harbour porpoise displacement was reviewed for the sources in the impulsive noise registry. This data is typically inferred from statistically significant reductions in porpoise echolocation activity at click detectors located at a range of distances from the noise source (although some aerial survey data are available for pile driving). To compute the footprint of each activity, the ICES sub-rectangle in which the activity occurred was assumed to be entirely affected, and the distances of effect from Table a were then added as a buffer around this source sub-rectangle.
| Source type | Distance of effect (km) | References / rationale |
|---|---|---|
| Explosions | 20 | No data on porpoise behavioural responses. Source is more intense (though shorter lived) than pile driving; effect assumed to be at least as severe as a precaution. |
| Airgun array | 12 | Significant decrease in porpoise echolocation activity observed at up to 12 km (Sarnocińska et al., 2020) |
| Sonar/ADD | 20 | Significant decrease in porpoise echolocation activity observed at 15-18 km from ADD source, the maximum range measured (Dähne et al., 2017) |
| Generic | 12 | Mostly applies to non-airgun seismic sources, which are unlikely to exceed distances of effect for seismic airguns |
| Unabated pile driving | 20 | Significant decrease in porpoise echolocation activity observed at 21 km (Tougaard et al., 2009), and aerial surveys have shown strong avoidance within 20 km of the source (Dähne et al., 2013) |
| Abated pile driving | 12 | Significant decrease in porpoise echolocation activity observed at up to 12 km (Dähne et al., 2017), and up to 14 km in some early cases (Brandt et al., 2018), although the efficacy of abatement systems is understood to have improved since these early deployments, which occurred prior to 2015. |
6. Compute exposure/risk map by combining 4 and 5
Including quantitative assessment of confidence in the risk values derived.
The risk maps indicate the greatest co-occurrence of pressure and receptors. In other words, the assessment considers risk of impact to scale with exposure to impulsive noise pollution. The risk maps were computed as the base 10 logarithm of the average number of PBDs per day in each block (i.e. averaged across the assessment period, e.g., a month or year) multiplied by the number of animals estimated to be in that block according to the density data. Using the average number of PBDs per day means that monthly maps and annual maps can be plotted using the same metric.
7. Derive exposure curve
Including confidence bounds.
Exposure curves were computed following the methodology described in Merchant et al., (2018). These are plots of the percentage of the population density exposed to impulsive noise, vs. the percentage of the assessment period that exposure occurred, as shown in Figure d. The exposure curve may also be computed using percentage of habitat instead of percentage of population.

Figure d: Example exposure curve
8. Compute exposure/risk indicator(s)
Scaling of index may be logarithmic or linear.
The exposure index integrates the area under the exposure curve to give a single number indicative of the overall amount of noise exposure for a population or habitat. The methodology was originally proposed in Merchant et al., (2018), in which a logarithmic scaling was used (Figure e). Following testing of different scaling methods and consideration of the most intuitive way of formulating the metric, Farcas et al., (in prep) propose a linear scaling of the metric from zero to 100, calculated as the square root of the integral under the exposure curve (Figure f). This means, for example, that an exposure index of 20 means the overall amount of exposure is the same as would result from 20% of the population or habitat being exposed for 20% of the assessment period. An EI value of 100 corresponds to 100% of the population being exposed 100% of the time, and an EI of 0 means zero exposure during the assessment period.

Figure e: Option for scaling of exposure index. - logarithmic from 0 to 10, proposed in Merchant et al., (2018)

Figure f: Option for scaling of exposure index - linear from 0 to 100.
9. Assess confidence in indicator values
Including sources of uncertainty and implications for the setting of thresholds and monitoring status.
The upper and lower confidence intervals (10th and 90th) of the harbour porpoise density maps were propagated through the exposure index calculations to quantify how much error this indicated for the exposure indices. To assess the contributions of different source types to the risk metrics, we also calculated the number of PBDs for each source type multiplied by the number of animals predicted to be in that ICES sub-rectangle, and aggregated these values for each assessment year.
Results
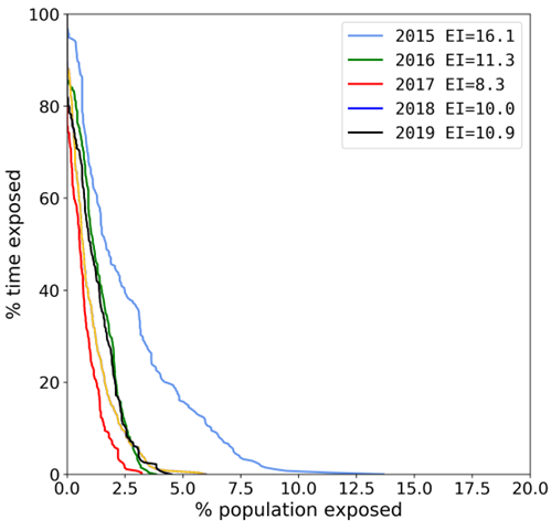
Overall exposure of North Sea harbour porpoise to reported impulsive noise pollution (Figure 3) was greatest in 2015 (EI 16,1), and least in 2017 (EI 8,3). The exposure curve showed that a relatively small proportion of the population density was exposed for a large proportion of time (Figure 4), with up to ~95% of the assessment period in the worst case during 2015. However, the vast majority of the population density was unexposed, with the maximum being ~13% of the population density exposed in 2015 (corresponding to 10% of the assessment area), meaning 87% of the population density was not exposed to any reported impulsive noise pollution in that year (Figure 4). Since harbour porpoise are a highly mobile species, these results should not be interpreted as meaning that 13% of animals in the population were estimated to be exposed, but that 13% of the habitat was exposed, when weighted for how frequently that habitat is used. The number of individual animals exposed may be much higher than 13% of the population, since individual animals may incur multiple exposures in different parts of the assessment area (and since the reporting of activity is known to be incomplete). The annual risk maps indicate that risk was much more widespread in 2015 than in subsequent years (Figure 5). This was due to a large-scale seismic survey programme carried out by the UK Oil & Gas Authority during this period (Merchant et al., 2020). Daily exposure data (Figure 6) for both population density and habitat area demonstrated that exposure was not consistently concentrated in areas with higher porpoise densities.

Figure 3: Annual exposure indices for harbour porpoise

Figure 4: Corresponding exposure curves for harbour porpoise
Risk map for harbour porpoise for 2015. Available at: ODIMS
Risk map for harbour porpoise for 2016. Available at: ODIMS
Risk map for harbour porpoise for 2017. Available at: ODIMS
Risk map for harbour porpoise for 2018. Available at: ODIMS
Risk map for harbour porpoise for 2019. Available at: ODIMS
Figure 5: Annual risk maps for harbour porpoise for 2015-2019.


Figure 6: Daily exposure of harbour porpoise habitat area (left axis) and population density (right axis) for 2015-2019 based on the habitat area specified in Figure c. Note that population density data available only for March-November.
Monthly analysis across the five years (Figure 7) indicated that exposure was greatest in August-October, peaking in August with an average EI across 2015-2019 of 15,3, and around 2% of the population density being exposed for 50% of the month. The monthly risk maps (Figure 9) indicate that risk was most widespread from August-October, with large areas of the northern North Sea exposed more intensively. In 2015 and 2016, seismic airguns contributed the majority of estimated disturbance to harbour porpoise (Figure 10), amounting to 77% of 51% of the total, respectively (Table 1), whereas in later years no single source dominated. The proportion attributable to piling was unusually low (2%) in 2019 (Table 1).

Figure 7: Monthly exposure indices for harbour porpoise (average across 2015-2019)

Figure 8: Corresponding exposure curves for harbour porpoise
Risk map for harbour porpoise, average across 2015-2019 for March. Available at: ODIMS
Risk map for harbour porpoise, average across 2015-2019 for June. Available at: ODIMS
Risk map for harbour porpoise, average across 2015-2019 for September. Available at: ODIMS
Figure 9: Monthly risk maps for harbour porpoise, average across 2015-2019 for each month.
Figure 10: Proportion of harbour porpoise noise exposure attributable to each source type.
| Source type | % of 2015 exposure | % of 2016 exposure | % of 2017 exposure | % of 2018 exposure | % of 2019 exposure |
|---|---|---|---|---|---|
| Explosions | 1 | 1 | 11 | 7 | 6 |
| Airgun array | 77 | 51 | 24 | 25 | 47 |
| Sonar/ADD | 0 | 0,1 | 0 | 0,2 | 0 |
| Generic | 2 | 23 | 19 | 35 | 37 |
| Piling | 16 | 22 | 42 | 31 | 2 |
| Multiple | 2 | 3 | 4 | 3 | 9 |
For the winter months (December-February) the daily exposed habitat area was <2,5% in all years (Figure 6), while during March to October this was typically <5%.
The use of noise abatement systems was reported for some pile driving operations in German, Danish, Dutch, and Belgian waters (Figure 11), which reduced the exposure indices by at least between 0,1 and 0,9 depending on year (Figure 12). It should be noted that this is likely to be an underestimate in exposure reduction due to the conservative assumptions underlying the exposure calculations, since the methodology was designed to reduce inconsistencies between data types reported by Contracting Parties rather than the calculation of the reduction of exposure by noise abatement. Further abatement measures in future would improve upon this risk reduction. In the subset of the area covered by harbour porpoise MPAs (Figure 13), the exposure was lower inside the MPAs than outside during 2015, 2016, and 2019, but higher in the intervening years (Figure 14). Reductions in noise exposure due to noise abatement of pile driving were also lower within Special Areas of Conservation compared to the whole assessment area (Figure 15), ranging from 0 to 0,7. It should be noted that these MPAs were not defined with noise abatement in mind.

Figure 11: Pile driving activity reported during 2015-2019 for which noise abatement technologies (left) were not applied, and (right) were applied
Figure 12: Effect of pile driving noise abatement on exposure curves and indices for 2015-2019
Figure 14: Comparison of exposure indices within full assessment area and within harbour porpoise MPAs for 2015-2019

Figure 13: Harbour porpoise MPAs (outlined in green) and corresponding ICES statistical sub-rectangles included within the MPA exposure analysis
Figure 15: Effect of pile driving noise abatement on exposure curves and indices within harbour porpoise MPAs for 2015-2019
There is a moderate confidence in the methodology used and low confidence in the data availability.
Conclusion
This first assessment of the OSPAR Common Indicator for the risk of impact from anthropogenic impulsive sound shows that the estimated disturbance to harbour porpoise from anthropogenic impulsive sound has declined between 2015-2017, but increased between 2017-2019. Relatively high levels of seismic survey activity were reported during 2015 and 2016 due to a large-scale survey of UK waters, which explains the pronounced decline in 2017 (Table 1). There was notable seasonal variance in the estimated disturbance, with greatest risk during August-October. The greatest exposure index was 15,3 for August (equivalent to 15,3% of the population density being exposed to impulsive noise for 15,3% of the month averaged over the assessment period), with 2% of the population density being exposed to noise for 50% of the month. For the winter months (December-February) the daily exposed habitat area was <2,5%. while during March to October this was typically <5%. The maximum was 10%, reached in September 2015. Noise abatement applied to pile driving operations reduced annual exposure indices by up to 0,9. This indicator tracks the risk of impact on selected species based on their exposure to impulsive noise pollution, which is taken to increase the risk of population-level consequences. However, it does not make an explicit assessment of the risk of population consequences, which must also take into account other stressors in addition to disturbance from anthropogenic impulsive sound. Future assessments will consider additional species for risk assessment, and more comprehensive reporting in future years should reduce uncertainty in the impulsive sound activity used in the assessment.
Knowledge Gaps
While the best available data for North Sea harbour porpoise has been used, there are nevertheless uncertainties in these modelled estimates of animal density, which will translate into uncertainties in this assessment.
This assessment is based on the data reported to the Impulsive Noise Registry, and it is known that there are activities which are unaccounted for due to lack of reporting (e.g., unlicensed activities such as the use of acoustic deterrent devices in fish farms, certain geophysical surveys and classified military sonar).
More specific data on the responses of selected species to noise sources in the registry (e.g., dose-response curves for each source/receptor combination) may allow for a more precise assessment of the risk of impact.
While this first assessment of the indicator covers only harbour porpoise, future assessments may encompass further marine mammal species, and fish or invertebrate species.
Brandt, M.J., Dragon, A.C., Diederichs, A., Bellmann, M.A., Wahl, V., Piper, W., Nabe-Nielsen, J., Nehls, G., 2018. Disturbance of harbour porpoises during construction of the first seven offshore wind farms in Germany. Mar. Ecol. Prog. Ser. 596, 213–232. https://doi.org/10.3354/meps12560
Dähne, M., Gilles, A., Lucke, K., Peschko, V., Adler, S., Krügel, K., Sundermeyer, J., Siebert, U., 2013. Effects of pile-driving on harbour porpoises ( Phocoena phocoena ) at the first offshore wind farm in Germany. Environ. Res. Lett. 8, 025002. https://doi.org/10.1088/1748-9326/8/2/025002
Dähne, M., Tougaard, J., Carstensen, J., Rose, A., Nabe-Nielsen, J., 2017. Bubble curtains attenuate noise from offshore wind farm construction and reduce temporary habitat loss for harbour porpoises. Mar. Ecol. Prog. Ser. 580, 221–237. https://doi.org/10.3354/meps12257
Gilles, A., Viquerat, S., Becker, E.A., Forney, K.A., Geelhoed, S.C. V, Haelters, J., Nabe-Nielsen, J., Scheidat, M., Siebert, U., Sveegaard, S., van Beest, F.M., van Bemmelen, R., Aarts, G., 2016. Seasonal habitat-based density models for a marine top predator, the harbor porpoise, in a dynamic environment. Ecosphere 7, e01367. https://doi.org/10.1002/ecs2.1367
Gilles, A., Ramirez-Martinez, N., Nachtsheim, D., Siebert, U., 2020. Update of distribution maps of harbour porpoises in the North Sea. Report prepared for Rijkswaterstaat, Utrecht, Netherlands.
Hammond, P.S., Macleod, K., Berggren, P., Borchers, D.L., Burt, L., Cañadas, A., Desportes, G., Donovan, G.P., Gilles, A., Gillespie, D., Gordon, J., Hiby, L., Kuklik, I., Leaper, R., Lehnert, K., Leopold, M., Lovell, P., Øien, N., Paxton, C.G.M., Ridoux, V., Rogan, E., Samarra, F., Scheidat, M., Sequeira, M., Siebert, U., Skov, H., Swift, R., Tasker, M.L., Teilmann, J., Van Canneyt, O., Vázquez, J.A., 2013. Cetacean abundance and distribution in European Atlantic shelf waters to inform conservation and management. Biol. Conserv. 164, 107–122. https://doi.org/10.1016/j.biocon.2013.04.010
Merchant, N.D., Andersson, M.H., Box, T., Le Courtois, F., Cronin, D., Holdsworth, N., Kinneging, N., Mendes, S., Merck, T., Mouat, J., Norro, A.M.J., Ollivier, B., Pinto, C., Stamp, P., Tougaard, J., 2020. Impulsive noise pollution in the Northeast Atlantic: Reported activity during 2015–2017. Mar. Pollut. Bull. 152, 110951. https://doi.org/10.1016/j.marpolbul.2020.110951
Merchant, N.D., Faulkner, R.C., Martinez, R., 2018. Marine noise budgets in practice. Conserv. Lett. 11, e12420. https://doi.org/10.1111/conl.12420
OSPAR, 2019. Distribution of Reported Impulsive Sounds in the Sea. Available at: https://oap.ospar.org/en/ospar-assessments/committee-assessments/human-activities/noise/the-distribution-of-reported-impulsive-sounds-in-sea/
Sarnocińska, J., Teilmann, J., Balle, J.D., van Beest, F.M., Delefosse, M., Tougaard, J., 2020. Harbor Porpoise (Phocoena phocoena) Reaction to a 3D Seismic Airgun Survey in the North Sea. Front. Mar. Sci. 6, 824.Tougaard, J., Carstensen, J., Teilmann, J., Skov, H., Rasmussen, P., 2009. Pile driving zone of responsiveness extends beyond 20 km for harbor porpoises (Phocoena phocoena (L.)). J. Acoust. Soc. Am. 126, 11–14. https://doi.org/10.1121/1.3132523
Tougaard, J., Carstensen, J., Teilmann, J., Skov, H., & Rasmussen, P. (2009). Pile driving zone of responsiveness extends beyond 20 km for harbor porpoises (Phocoena phocoena (L.)). The Journal of the Acoustical Society of America, 126(1), 11-14.
van der Graaf, A.J., Ainslie, M.A., André, M., Brensing, K., Dalen, J., Dekeling, R.P.A., Robinson, S., Tasker, M.L., Thomsen, F., Werner, S., 2012. European Marine Strategy Framework Directive Good Environmental Status (MSFD-GES): Report of the Technical Subgroup on Underwater noise and other forms of energy. http://ec.europa.eu/environment/marine/pdf/MSFD_reportTSG_Noise.pdf
Williams, R., Wright, A.J., Ashe, E., Blight, L.K., Bruintjes, R., Canessa, R., Clark, C.W., Cullis-Suzuki, S., Dakin, D.T., Erbe, C., Hammond, P.S., Merchant, N.D., O’Hara, P.D., Purser, J., Radford, A.N., Simpson, S.D., Thomas, L., Wale, M.A. (2015). Impacts of anthropogenic noise on marine life: publication patterns, new discoveries, and future directions in research and management. Ocean & Coastal Management. 115, 17–24.
Contributors
Lead authors: Nathan D. Merchant, Niels Kinneging, and Alexander Liebschner
Supported by: Intersessional Correspondence Group on Underwater Noise (ICG-NOISE), Environmental Impacts of Human Activities Committee (EIHA)
Citation
Merchant, N.D., Kinneging, N. and Liebschner, A., 2022. Risk of Impact from Anthropogenic Impulsive Sound. In: OSPAR, 2023: The 2023 Quality Status Report for the Northeast Atlantic. OSPAR Commission, London. Available at: https://oap.ospar.org/en/ospar-assessments/quality-status-reports/qsr-2023/indicator-assessments/risk-impact-anthropogenic-sound
| Assessment type | Indicator Assessment |
|---|---|
| Summary Results | https://odims.ospar.org/en/submissions/ospar_risk_noise_msfd_2022_06_001/ |
| SDG Indicator | 14.1 By 2025, prevent and significantly reduce marine pollution of all kinds, in particular from land-based activities, including marine debris and nutrient pollution |
| Thematic Activity | Biological Diversity and Ecosystems - Management of specific human pressures |
| Relevant OSPAR Documentation | OSPAR Agreement 2014-08 Monitoring Guidance for Underwater Noise in European Seas |
| Date of publication | 2022-06-30 |
| Conditions applying to access and use | https://oap.ospar.org/en/data-policy/ |
| Data Snapshot | https://odims.ospar.org/en/submissions/ospar_risk_noise_snapshot_2022_06/ |
| Data Results | https://odims.ospar.org/en/submissions/ospar_risk_noise_results_2022_06/ |
| Data Source | https://www.ices.dk/data/data-portals/Pages/impulsive-noise.aspx |

