Status and Trends of Polychlorinated Biphenyls (PCB) in Fish, Shellfish and Sediment
Background
The OSPAR Hazardous Substances Strategy 2010-2020 had the ultimate aim of achieving concentrations in the marine environment of near background values for naturally occurring substances and close to zero for synthetic substances.
Polychlorinated biphenyls (PCBs) are human-made chemical compounds that were banned in the mid-1980s owing to concerns about their toxicity, persistence, and potential to bioaccumulate in the environment. Since the 1980s, global action has resulted in big reductions in releases and remaining stocks have been phased out. However, despite European and global action, releases continue through diffuse emissions to air and water from building sites and industrial materials. Remaining sources include electrical and hydraulic equipment containing PCBs, waste disposal, redistribution of historically contaminated marine sediments and by-products of thermal and chemical industrial processes.
PCBs do not break down easily in the environment and are not readily metabolised by humans or animals. PCBs accumulate in marine animals , with greater concentrations found at higher trophic levels. PCB compounds are toxic to animals and humans, causing reproductive and developmental problems, damage to the immune system, interference with hormones, and can also cause cancer. A sub-group of PCBs is ‘dioxin-like’, meaning they are more toxic than other PCB congeners.
Seven PCB congeners (including one dioxin-like PCB-CB118) were selected as indicators of wider PCB contamination due to their relatively high concentrations and toxic effects.

Figure 1: Dab (Limanda Limanda) are routinely used for PCB monitoring in biota © Marine Scotland Science

Figure a: Chemical structure of polychlorinated biphenyls
Polychlorinated biphenyls (PCBs) (Figure a) are industrial compounds with multiple industrial and commercial uses. It has been estimated that globally 1,3 million tonnes of PCB compounds have been produced (Breivik et al., 2007). PCBs have been used as coolants and lubricants in transformers, capacitors, and other electrical equipment. PCBs have also been used in adhesives, paints, inks and as plasticisers and sealing agents in products such as rubber and especially in polyvinyl chloride plastics used to coat electrical wiring.
Although usage of PCBs was banned in most forms over 30 years ago (PARCOM, 1992), they still exist in old electrical equipment and environmental media to which humans can be exposed. PCBs are expected to be present in electronic waste streams from which they can leach into the environment (Menad et al., 1998; Arp et al., 2020). Humans are exposed mainly via food, mostly from contaminated animal fats. Indoor air can also contribute to human exposure. Worldwide monitoring programmes have shown that PCBs are present in most samples of human breast milk (Pietrzak-Fiecko et al., 2005; Brajenović et al., 2018) although downwards trends have been observed.
PCBs do not burn easily and are good insulators (Bergman et al., 2012). These properties contribute greatly to PCBs having become environmental contaminants, which are regulated by the Stockholm Convention on Persistent Organic Pollutants. The chemical inertness and heat stability properties that make PCBs desirable for industry also enable PCB residues to persist in the environment for long periods and to be transported worldwide associated with particulate matter as this is dispersed through waters, precipitation, wind, and other physical forces (Jaward et al., 2004; Eckhardt et al., 2007; Gioia et al., 2008).
Of the 209 PCB congeners, the most toxic are the so-called ‘dioxin-like’ PCBs. These are the four non-ortho PCBs (CB77, CB81, CB126, CB169) and eight mono-ortho PCBs (CB105, CB114, CB118, CB123, CB156, CB157, CB167, CB189).
Owing to their persistence, potential to bioaccumulate and toxicity they have been included on the OSPAR List of Chemicals for Priority Action (OSPAR, 2007). Six PCB congeners were recommended for monitoring by the European Commission (2001). As the most toxic PCB, CB118 is also monitored. Under OSPAR’s Coordinated Environmental Monitoring Programme (CEMP) (OSPAR, 2016), Contracting Parties are required to monitor the seven PCB congeners CB28, CB52, CB101, CB118, CB138, CB153, and CB180 (OSPAR, 1997) on a mandatory basis in biota (fish and mussels) and sediments for temporal trends and spatial distribution. Marine sediments, in particular those with a high organic carbon content, may accumulate hydrophobic compounds like PCBs to considerably higher concentrations than surrounding waters. The sampling strategy is defined by the purpose of the monitoring programme and the natural conditions of the region to be monitored (OSPAR, 1997). Typically sampling approaches include fixed-monitoring site sampling, stratified random sampling, or stratified fixed sampling. Muddy sediments, namely those containing a high proportion of fine material, are preferable for organic contaminant monitoring, although sieving of sediments may be an alternative (OSPAR, 2002).
Marine mammals, occupying the upper trophic levels and possessing large lipid reserves, can accumulate high concentrations of PCBs with concentrations often exceeding the marine mammal toxicity threshold. There is little evidence that concentrations in top predators have decreased in recent years, and publications have indicated that population declines may be due to these high concentrations (Jepson et al., 2016).
In assessing contaminants both ‘relative’ and ‘absolute’ aspects have been analysed:
- ‘Trend assessment’ or spatial distribution assessment to focus on relative differences and changes on spatial and temporal scales – provides information about the rates of change and whether contamination is widespread or confined to specific locations; and
- ‘Status assessment’ of the significance of the (risk of) pollution, defined as the status where chemicals are at a hazardous level, usually requires assessment criteria that take account of the possible severity of the impacts and hence requires criteria that take account of the natural conditions (background concentrations) and the ecotoxicology of the contaminant. For example, Environmental Assessment Criteria (EAC) are tools in this type of assessment.
OSPAR has clarified that in assessing the Coordinated Environmental Monitoring Programme (CEMP) data the primary assessment value used in the assessment of contaminant concentrations in sediment and biota, “corresponds to the achievement, or failure to achieve, statutory targets or policy objectives for contaminants in these matrices” (OSPAR, 2009a). This set of assessment criteria was specifically compiled for the assessment of CEMP monitoring data on hazardous substances contributing to the QSR 2010. The use of this set was considered an interim solution for the purposes of the QSR 2010 until more appropriate approaches to defining assessment criteria could be agreed upon and implemented. These criteria have also been used in the annually recurring CEMP assessments since 2010, including the Intermediate Assessment (IA) 2017, and will be used until OSPAR agrees on the adoption of improved assessment criteria and subject to the conditions set out in the agreement.
Two assessment criteria are used to assess PCB concentrations in biota and sediment: background assessment concentrations (BACs) and environmental assessment criteria (EACs).
OSPAR QSR 2023 Indicator Assessment values are not to be considered as equivalent to proposed European Union Marine Strategy Framework Directive (MSFD) criteria threshold values, however they can be used for the purposes of their MSFD obligations by those Contracting Parties that wish to do so.
Provenance and limitations of BACs
BACs were developed by OSPAR for testing whether concentrations are near background levels for naturally occurring substances and close to zero for synthetic substances, the ultimate aim of the OSPAR Hazardous Substances Strategy. Mean concentrations significantly below the BAC are said to be near background (naturally occurring concentrations). BACs are statistical tools defined in relation to the background concentrations or low concentrations, which enable statistical testing of whether observed concentrations could be considered to be near background concentrations.
Background concentrations (BCs) are assessment tools intended to represent the concentrations of hazardous substances that would be expected in the North-East Atlantic if certain industrial developments had not happened. They represent the concentrations of those substances at ‘remote’ sites, or in ‘pristine’ conditions based on contemporary or historical data respectively, in the absence of significant mineralisation and / or oceanographic influences. In this way, they relate to the background values referred to in the OSPAR Hazardous Substances Strategy 2010-2020. BCs for synthetic, man-made substances should be regarded as zero. It is recognised that natural processes such as geological variability or upwelling of oceanic waters near the coast may lead to significant variations in background concentrations of contaminants, for example trace metals. The natural variability of background concentrations should be taken into account in the interpretation of CEMP data, and local conditions should be taken into account when assessing the significance of any exceedance.
Low concentrations (LCs) are values used to assist the derivation of BACs where there have been difficulties in assembling a dataset on concentrations in remote or pristine areas from which to derive BCs. LCs have been prepared on the basis of datasets from areas that could generally be considered remote, but which could not be guaranteed to be free from influence from long-range atmospheric transport of contaminants. LCs have also been used to assess concentrations in sediments from Spain due to the specific bulk composition of sediments from the coasts of the Iberian Peninsula. It is recognised that natural background concentrations may be lower than the LCs and that they may not be directly applicable across the entire Convention area.
BACs are calculated according to the method set out in Section 4 of the CEMP Assessment Manual (OSPAR, 2008) and updated in 2021 (OSPAR, 2021). The outcome is that, on the basis of what is known about variability in observations, there is a 90% probability that the observed mean PCB concentration will be below the BAC when the true mean concentration is at the BC. Where this is the case, the true concentrations can be regarded as ‘near background’ (for naturally occurring substances) or ‘close to zero’ (for man-made substances).
BACs are calculated on the basis of variability within the CEMP dataset currently available through databases held by the ICES Data Centre and will be refined by the relevant assessment group as further CEMP monitoring data are collected.
Provenance and limitations of EACs
Environmental Assessment Criteria were developed by OSPAR and ICES for assessing the ecological significance of sediment and biota concentrations. Some EAC values were specifically compiled for the assessment of CEMP monitoring data on hazardous substances contributing to the QSR 2010 (OSPAR Agreement 2009-2). EACs do not represent target values or legal standards under the OSPAR Convention and should not be used as such. The EAC values were set so that hazardous substance concentrations in sediment and biota below the EAC should not cause chronic effects in sensitive marine species, including the most sensitive species, nor should concentrations present an unacceptable risk to the environment and its living resources. However, the risk of secondary poisoning is not always considered. EACs continue to be developed for use in data assessments.
As concentrations below the EAC are considered to present no significant risk to the environment, in most cases EAC are considered analogous to the Environmental Quality Standards applied to concentrations of contaminants in water or biota, for example under the European Union Water Framework Directive (WFD, 2000/60/EC).
For PCBs in biota, equilibrium concentrations were calculated from sediment concentrations and partition coefficients based on the assumption of equilibrium between PCBs in lipids of biota and in sediment (OSPAR, 2009a, b). Thus, the EACs for PCBs in sediment were used to calculate concentrations of PCBs in biota (on a lipid weight basis), in equilibrium with sediment containing PCB concentrations equal to the EAC in sediment. These calculated values (termed EACpassive) were used in the assessment of PCBs in fish and mussels.
Caution should be exercised in using these generic environmental assessment criteria in specific situations. Their use does not preclude the use of common sense and expert judgement when assessing environmental effects and / or the potential for them. Furthermore, the EACs do not take into account specific long-term biological effects such as carcinogenicity, genotoxicity, and reproductive disruption due to hormone imbalances, and do not include combination toxicology (Lauby-Secretan et al., 2013).
Assessment method
For each PCB compound at each monitoring site, the time series of concentration measurements was assessed for trends and status using the methods described in the OSPAR Hazardous Substances Assessment Tool ( https://dome.ices.dk/ohat/?assessmentperiod=2022 ). The results from these individual time series were then synthesised at the assessment area scale in a series of meta-analyses. The most toxic (and dioxin-like) PCB of the ICES7 PCBs (CB118) was assessed separately.
Trend assessments included those monitoring sites that were representative of general conditions, and excluded those monitoring sites impacted due to a point source as well as baseline monitoring sites where trends would not be expected. Analysis was also restricted to assessment areas where there were at least three monitoring sites with trend information and where those monitoring sites had reasonable geographic spread.
The trend in each congener at each monitoring site was summarised by the estimated annual change in log concentration, with its associated standard error. The annual change in log concentration was then modelled by a linear mixed model with a fixed effect:
~ OSPAR contaminants assessment areas and random effects:
~ congener + congener: OSPAR contaminants assessment area + monitoring site + congener: monitoring site [biota only] + residual variation
The choice of fixed and random effects was motivated by the assumption that the PCB congeners would have broadly similar trends, since they have similar sources. Thus, the fixed effect measures the common trend in PCB congeners in each OSPAR contaminants assessment area and the random effects measure variation in trends:
- between congeners common across OSPAR contaminants assessment areas (congener);
- between congeners within OSPAR contaminants assessment areas (congener: contaminants assessment area);
- between monitoring sites common across congeners (monitoring site);
- between congeners but common across tissues and species within monitoring sites (congener : monitoring site); and
- residual variation.
The residual variation is made up of two terms: the variation associated with the estimate of the trend from the individual time series, which is assumed known (and given by the square of the standard error); and a term which accounts for any additional residual variation not explained by the other fixed and random effects.
Evidence of trends in PCB concentration at the assessment area scale was then assessed by plotting the estimated fixed effects with point-wise 95% confidence intervals. Differences between congeners were explored by plotting the predicted trend for each congener and for each congener / assessment area combination with point-wise 95% confidence intervals.
Similar analyses explored status at the assessment area scale. Two summary measures were considered: the log ratio of the fitted concentration in the last monitoring year to the EAC; and the log ratio of the fitted concentration in the last monitoring year to the BAC. Impacted monitoring sites were also included in these analyses.
Finally, concentration profiles across congeners at the assessment area scale were explored using the fitted log concentration in the last monitoring year.
BACs and EACs are available for the following PCBs in biota (Table a).
| BAC | EAC | ||||
|---|---|---|---|---|---|
| Mussels and Oysters (μg/kg dw) | Fish (μg/kg ww) | Sediment (μg/kg dw) | all biota (μg/kg lw) | Sediment (μg/kg dw) | |
| CB28 | 0,75 | 0,10 | 0,22 | 67 | 1,7 |
| CB52 | 0,75 | 0,08 | 0,12 | 108 | 2,7 |
| CB101 | 0,70 | 0,08 | 0,14 | 121 | 3,0 |
| CB105 | 0,75 | 0,08 | |||
| CB118 | 0,60 | 0,10 | 0,17 | 25 | 0.6 |
| CB138 | 0,60 | 0,09 | 0,15 | 317 | 7,9 |
| CB153 | 0,60 | 0,10 | 0,19 | 1585 | 40 |
| CB156 | 0,60 | 0,08 | |||
| CB180 | 0,60 | 0,11 | 0,10 | 469 | 12 |
Table a notes: dw, dry weight; ww, wet weight; lw, lipid weight. For sediment BACs are normalised to 2,5% organic carbon; BACs are under development for the Iberian Sea and Gulf of Cadiz, where concentrations are only assessed against the EAC. For biota BACs and EAC are converted to other bases (ww, dw or lw) using species-specific conversion factors (Table b); BACs in fish only applied to tissue / species with lipid > 3%, BACs in mussels and oysters applied to all bivalves; and the EACs are based on partitioning theory and are sometimes known as EACpassive. Denmark has reservations towards the OSPAR EAC values
The Maximum Permissible Concentrations (MPC, used to assess the human health status) for SCB6 concentrations (sum of PCBs 28, 52, 101, 138, 153 and 180) is 75 and 200 μg/kg ww for fish muscle and fish liver respectively.
| species | common name | % lw in muscle | % dw in muscle | % lw in liver | % dw in liver | % lw in soft body | % dw in soft body | % lw in tail muscle | % dw in tail muscle |
|---|---|---|---|---|---|---|---|---|---|
| Clupea harengus | herring | 4,6 | 26,6 | 4,4 | 32,0 | ||||
| Gadus morhua | cod | 0,3 | 19,3 | 43,0 | 55,0 | ||||
| Lepidorhombus whiffiagonis | megrim | 0,3 | 20,2 | 25,0 | 40,6 | ||||
| Limanda limanda | common dab | 0,7 | 20,1 | 19,5 | 32,6 | ||||
| Merlangius merlangus | whiting | 20,2 | 36,9 | 44,3 | |||||
| Merluccius merluccius | hake | 20,0 | 43,7 | ||||||
| Molva molva | common ling | 0,3 | 21,1 | 53,0 | 64,2 | ||||
| Platichthys flesus | flounder | 0,9 | 21,3 | 14,6 | 32,0 | ||||
| Pleuronectes platessa | plaice | 0,5 | 20,0 | 11,4 | 26,7 | ||||
| Scomber scombrus | Atlantic mackerel | 25,6 | 7,0 | 26,6 | |||||
| Zoarces viviparus | eelpout | 0,6 | 18,7 | 0,6 | 22,1 | ||||
| Cerastoderma edule | common cockle | 19,0 | |||||||
| Mya arenaria | softshell clam | 0,7 | 14,8 | ||||||
| Ruditapes philippinarum | manila clam | 16,0 | |||||||
| Mytilus edulis | blue mussel | 1,4 | 16,3 | ||||||
| Mytilus galloprovincialis | Mediteranean mussel | 2,2 | 19,0 | ||||||
| Crassostrea gigas | Pacific oyster | 2,1 | 18,0 | ||||||
| Ostrea edulis | native oyster | 1,8 | 20,4 | ||||||
| Crangon crangon | common shrimp | 1,4 | 27,3 | ||||||
| Littorina littorea | common periwinkle | 21,9 | |||||||
| Nucella lapillus | dog whelk | 32,8 | |||||||
| Tritia nitida / reticulata | dog whelk (nitida / reticulata) | 27,1 | |||||||
| Cepphus grylle | black guillemot | 32,0 | |||||||
| Fulmarus glacialis | northern fulmar | 29,4 | |||||||
| Globicephala melas | long-finned pilot whale | 70,0 | 29,0 | 27,6 |
The number of monitoring sites used to assess trends and status by OSPAR Region and assessment area are shown in Table c.
| Region | OSPAR contaminants assessment area | sediment | Biota (shellfish and fish) | ||
|---|---|---|---|---|---|
| Trends | Status | Trends | Status | ||
| Arctic Waters | Barents Sea | - | - | 5* | 11 |
| Greenland-Scotland Ridge | - | - | 11 | 11 | |
| Norwegian Sea | - | - | 4 | 6 | |
| Greater North Sea | Norwegian Trench | - | - | 11 | 16 |
| Northern North Sea | 14 | 16 | 25 | 31 | |
| Skagerrak and Kattegat | - | - | 15 | 27 | |
| Southern North Sea | 46 | 52 | 30 | 37 | |
| English Channel | 0* | 51 | 27 | 29 | |
| Celtic Seas | Irish and Scottish West Coast | 7 | 7 | 25 | 26 |
| Irish Sea | 6 | 13 | 35 | 38 | |
| Celtic Sea | 0* | 2* | 24 | 29 | |
| Bay of Biscay and Iberian Coast | Northern Bay of Biscay | - | - | 28 | 32 |
| Iberian Sea | 0* | 30 | 26 | 26 | |
| Gulf of Cadiz | - | - | 1* | 1* | |
Differences in methodology used for the QSR 2023 compared to the QSR 2010
For the QSR 2023, a meta-analysis is used to synthesise the individual time series results and provide an assessment of status and trend at the assessment area level. Meta-analyses take into account both the estimate of status or trend in each time series and the uncertainty in that estimate. They provide a more objective regional assessment than was possible in the QSR 2010, where a simple tabulation of the trend and status at each monitoring site was presented. The same process was used in the IA 2017. Although not presented in this assessment, the status assessment against the human health standards (MPCs) can be found on the OSPAR Hazardous Substances Assessment Tool ( https://dome.ices.dk/ohat/?assessmentperiod=2022 ).
Results
Polychlorinated biphenyl (PCB) concentrations are measured in sediment, fish and shellfish, collected between 1985 and 2020 from monitoring sites throughout much of the Arctic Waters (shellfish only), Greater North Sea, Celtic Seas, and Bay of Biscay and Iberian Coast (Figure 2 and Figure 3), at frequencies ranging from annually to every five years.
The number of monitoring sites varied widely between OSPAR contaminant assessment areas, with the Greater North Sea having the most. Only assessment areas with at least three monitoring sites and a reasonable geographic spread were included in the assessment of status and temporal trends.
Figure 2: Monitoring sites used to assess PCB concentrations in sediment by OSPAR contaminants assessment areas (grey lines) determined by hydrogeographic principles and expert knowledge, not OSPAR internal boundaries (black lines). Available at: ODIMS
Figure 3: Monitoring sites used to assess PCB concentrations in biota (fish, shellfish, mammals and birds) by OSPAR contaminants assessment areas (grey lines) determined by hydrogeographic principles and expert knowledge, not OSPAR internal boundaries (black lines). Available at: ODIMS
The data are used to investigate trends in PCB concentration over the period 2001 to 2020 and to compare concentrations against two sets of assessment values: Background Assessment Concentrations (BACs) and Environmental Assessment Criteria (EACs). Where concentrations are below the EAC they should not cause chronic effects in sensitive marine species and so should present no significant risk to the environment. BACs are used to assess whether concentrations are close to zero for man-made substances, the ultimate aim of the OSPAR Hazardous Substances Strategy. Data for the most toxic dioxin-like PCB (CB118) were assessed separately from the other six PCB congeners (CB28, 52, 101, 138, 153, 180- ICES 6 PCBs)
Status Assessment
Concentrations in sediment and biota for the ICES 6 PCBs (non-planar PCBs) are above the BAC but below the EAC in all OSPAR contaminants assessment areas (Figure 4 and Figure 5).
For the most toxic, dioxin-like PCB (CB118) concentrations were above the EAC for sediment in two of the six assessment areas (Channel and Irish Sea). CB118 concentrations in biota were also above the EAC in these two regions, and in five additional regions (Norwegian Sea, Norwegian North Trench, Skagerrak and Kattegat, Southern North Sea and Iberian Sea), indicating possible adverse effects on marine life in these areas. Only in Irish and Scottish West Coast biota were mean concentrations for CB118 below the BAC.

Figure 4: Mean PCB (ICES 6 PCBs and CB118) concentrations in sediment in each OSPAR contaminants assessment area, relative to the EAC (with 95% upper confidence limits) where the EAC value is 1.
Note: Concentrations are significantly below the EAC if the upper confidence limit is below 1. Blue = statistically significantly below the BAC. Green = at or above the BAC but statistically significantly below the EAC. Red = statistically significantly above the EAC.

Figure 5: Mean PCB (ICES 6 PCBs and CB118) concentrations in fish and shellfish in each OSPAR contaminants assessment area, relative to the EAC (with 95% upper confidence limits) where the EAC value is 1.
Note: Concentrations are significantly below the EAC if the upper confidence limit is below 1. Blue = statistically significantly below the BAC. Green = at or above the BAC but statistically significantly below the EAC. Red = statistically significantly above the EAC.
Trend Assessment
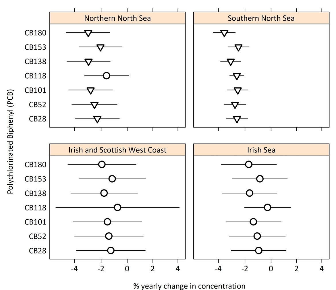
All areas assessed still have historical PCB contamination but concentrations in biota and sediment are reducing slowly (2001 to 2020). For sediment only four regions were assessed for trends, a statistically significant downward trend was observed for both the ICES 6 PCBs (non-planar PCBs) and CB118 in the Southern North Sea and for the ICES 6 PCBs in the Northern North Sea (Figure 6 and Figure 7). No trends in sediment were seen in the Irish and Scottish West Coast or Irish Sea.
Of the nine regions showing a significant downwards trends for the ICES 6 PCBs in biota, seven of these regions also had a downward trend for CB118. CB118 showed no significant downward trends in 4 regions (Norwegian Trench, Northern North Sea, Southern North Sea and Iberian Sea). The OSPAR Intermediate Assessment (IA) 2017 showed downward trends for PCBs in biota in nine out of ten regions, only the Celtic Sea did not show a downward trend. However, in this assessment both the ICES6 PCBs and CB118 show a downward trend in the Celtic Sea. Conversely the Southern North Sea showed a downward trend in the IA 2017, but no trend in this assessment.

Figure 6: Percentage annual change in PCB concentration (ICES 6 PCBs and CB118) in sediment in each OSPAR contaminants assessment area (with 95% upper confidence limits).
Note: No statistically significant (p <0.05) change in mean concentration (circle), mean concentration is significantly decreasing (downward triangle), mean concentration significantly increasing (upward triangle)

Figure 7: Percentage annual change in PCB concentration (ICES 6 PCBs and CB118) in biota (fish, shellfish, mammal, and birds) in each OSPAR contaminants assessment area (with 95% upper confidence limits).
Note: No statistically significant (p <0.05) change in mean concentration (circle), mean concentration is significantly decreasing (downward triangle), mean concentration significantly increasing (upward triangle)
Regional Assessment Results
Contamination from polychlorinated biphenyls (PCBs) is widespread and persists in the marine environment. In sediments, PCB concentrations are lowest in the Northern North Sea and the Irish and Scottish West Coast. However, all PCBs are not yet at concentrations close to zero even at monitoring stations remote from industrial activity (Figure b). Only for one PCB congener (CB28) in two regions (Irish and Scottish West Coast and Northern North Sea) were concentrations in sediment close to zero. In two assessment areas (English Channel and Irish Sea) there are locations where concentrations of the most toxic PCB congener (CB118) pose a risk of pollution effects (>EAC).
Similarly, PCB concentrations in biota in most OSPAR assessment areas are still above the BAC (Figure b and Figure c). The exceptions were the Irish and Scottish West Coast which had the most congeners below the BAC (CB28, 52, 101, 118 and 180). Mean concentrations in biota were also below BACs for some congeners in 5 other regions, the Greenland-Scotland Ridge, Channel, Northern Bay of Biscay for CB28 and the Celtic Sea and Iberian Sea for CB28 and CB52.

Figure c: Mean PCB concentration in biota (fish and shellfish) in each OSPAR contaminants assessment area, relative to the Background Assessment Concentration (BAC) (with 95% upper confidence limits) here the BAC value is 1.
Note: Concentrations are significantly below the BAC if the upper confidence limit is below 1. Blue = statistically significantly below the BAC. Green = at or above the BAC but statistically significantly below the EAC. Red = statistically significantly above the EAC.

Figure b: Mean PCB concentration in sediment in each OSPAR contaminants assessment area, relative to the Background Assessment Concentration (BAC) (with 95% upper confidence limits) here the BAC value is 1.
Note: Concentrations are significantly below the BAC if the upper confidence limit is below 1. Blue = statistically significantly below the BAC. Green = at or above the BAC but statistically significantly below the EAC. Red = statistically significantly above the EAC.
Owing to their slow breakdown in the environment, PCBs will persist in marine sediments for many years to come. However, a number of regions are showing downward trends for sediments and biota (Figure d and Figure e). Sediment in the Southern North Sea showed significant decreasing trends for all ICES 7 PCBs, and for the Northern North Sea all of the ICES 6 PCBs showed decreasing trends, whilst CB118 concentrations were stable. No significant trends were seen for any of the ICES 7 PCBs in the Irish Sea and Irish and Scottish West Coast sediment. Only one region did not show any decreasing trends for any of the ICES 7 PCBs in biota (Southern North Sea), with CB52 showing an increasing trend in this region. The Norwegian Sea and Norwegian Trench only showed a decreasing trend for one PCB congener (CB118 and CB52, respectively). All other regions showed decreasing concentrations for at least four of the ICES 7 PCBs in biota and with all ICES 7 PCBs decreasing in the Greenland Scotland Ridge and Irish and Scottish West Coast.

Figure e: Percentage annual change in PCB concentrations in sediment and biota (fish, shellfish, mammal, and birds) by OSPAR contaminants assessment area and compound
Note: No statistically significant (p <0.05) change in mean concentration (circle), mean concentration is significantly decreasing (downward triangle), mean concentration significantly increasing (upward triangle)

Figure d: Percentage annual change in PCB concentrations in sediment by OSPAR contaminants assessment area and compound.
Note: No statistically significant (p <0.05) change in mean concentration (circle), mean concentration is significantly decreasing (downward triangle), mean concentration significantly increasing (upward triangle)
Individual Time Series Results per Monitoring Site
A summary of individual time series results at monitoring sites across the OSPAR Maritime Area for PCB concentrations in sediment is presented here: https://dome.ices.dk/ohat/?assessmentperiod=2022
In total, mean concentrations of PCBs in sediment are above the EAC in 244 out of 1051 time series (mainly for CB118). In 10 out of 437 time series, mean concentrations have increased over the assessment period (2001 to 2020). For biota mean PCB concentrations are above the EAC in 337 out of 2285 time series (mainly for CB118), with concentrations increasing in 62 out of 1826 time series (2001 to 2020). It should be noted that only individual time series results in areas with a sufficient number of stations are included in in the regional assessments (see number of time series used in each OSPAR region and assessment area in Table b), due to the criteria set out in the assessment methodology.
Confidence Assessment
There is high confidence in the quality of the data used for this assessment. The data have been collected over many years using established sampling methodologies. There is sufficient temporal and spatial coverage and no significant data gaps in the areas assessed over the relevant time periods. The synthesis of monitoring site data for the assessment area scale are based on established and internationally recognised protocols for monitoring and assessment per monitoring site, therefore there is also high confidence in the methodology.
Conclusion
More than 30 years after polychlorinated biphenyls (PCBs) were banned they are still found in marine sediments and in biota (fish and shellfish) in the OSPAR Maritime Area, with concentrations in some areas assessed at levels that may cause adverse effects on marine life.
Concentrations are decreasing in many sub-regions, and only one sub-region showed an increasing trend (CB52 in biota from the Southern North Sea). With the exception of the most toxic congener (CB118), concentrations of all PCB congeners in sediment and biota are below the level at which they could present an unacceptable risk to the environment. Mean concentrations of CB118 in sediment are at or above this level in two of the six areas assessed, and for biota in seven of thirteen areas assessed.
PCBs remain in the sediment for long periods and have the potential to accumulate in biota and biomagnify up food chains. Due to past industrial uses and the persistence of PCBs in the environment it will take several more decades before concentrations are close to zero, the ultimate aim of the OSPAR Hazardous Substances Strategy 2010-2020.
PCB concentrations in sediment and biota have in general been stable or decreasing with only 2,3% of sediment and 3,4% of biota time series showing increasing trends. The majority of time series were below concentrations that could cause adverse effects in marine organism with 23% time series for sediment and 15% of time series for biota exceeding the EAC. Most of these exceedances were for CB118. However, few assessment areas had concentrations below the BAC for individual PCB congeners (close to zero), and across all PCBs no region was below the BAC. Historic contamination of the environment by polychlorinated biphenyls (PCBs) means there are limited possibilities for addressing the issue of PCB concentrations in sediment and biota.
In parallel to reduced PCB emissions in areas of former use, studies have recorded surprisingly high concentrations of PCBs in areas far from the traditional sources (Jaward et al., 2004; Gioia et al., 2008, 2011). There are indications that primary emission sources of PCBs are increasing from some African countries, where PCBs have not been commercially produced and used. Major sources of PCBs in African countries include transformers, continuing import of e-waste from other countries outside of Africa, shipwrecks, and biomass burning (Gioia et al., 2013, Akinrinade et al., 2020).
Knowledge Gaps
There is a lack of monitoring data, or insufficient data for a status and trend assessment, particularly for sediment for some parts of the OSPAR Maritime Area, particularly in Arctic Waters, some parts of the Celtic Seas and the Iberian Coast and Bay of Biscay.
Even with discontinued use, it is likely that polychlorinated biphenyls (PCBs) are continuing to enter the environment through secondary sources such as leachate from waste disposal sites. Further research is required to define and quantify diffuse inputs from terrestrial sources.
Although secondary poisoning was not considered in the development of the Environmental Assessment Criteria (EAC), because high PCB concentrations have been identified in cetaceans, OSPAR should consider developing EAC for the purpose of protection against secondary poisoning.
More research is needed to investigate how much of the reduction in polychlorinated biphenyl (PCB) concentrations in areas of former use is occurring at the expense of levels in areas where PCBs have not been commercially produced and used, such as Africa, which receive PCBs in the form of obsolete products and wastes.
Further research is required to define diffuse inputs from terrestrial sources. Modelling work to understand atmospheric transport from remaining sources could also be undertaken. Landfill and waste deposit sites may also still be leaking PCB contaminated material as they are unable to provide the very high temperatures needed to destroy PCBs. Demolition of buildings containing PCB sealants and redistribution of sediments via dredging may be remobilising PCBs which were locked away (Jepson and Law, 2016).
Akinrinade, O.E., Stubbings, W., Abdallah, M.A.E., Ayejuyo, O., Alani, R. and Harrad, S., 2020. Status of brominated flame retardants, polychlorinated biphenyls, and polycyclic aromatic hydrocarbons in air and indoor dust in AFRICA: A review. Emerging Contaminants, 6, pp.405-420.
Arp, H.P.H., Morin, N.A., Andersson, P.L., Hale, S.E., Wania, F., Breivik, K. and Breedveld, G.D., 2020. The presence, emission and partitioning behavior of polychlorinated biphenyls in waste, leachate and aerosols from Norwegian waste-handling facilities. Science of the Total Environment, 715, p.136824.
Bergman A, Rydén A, Law RJ, de Boer J, Covaci A, AlaeeM, Birnbaum L, Petreas M, Rose M, Sakai S, den Eede NV, van der Veen I (2012) A novel abbreviation standard for organobromine, organochlorine, and organophosphorus flame retardants and some characteristics of the chemicals. Environ Int 49:57–82.
Brajenović, N., Brčić Karačonji, I. and Jurič, A., 2018. Levels of polychlorinated biphenyls in human milk samples in European countries. Arhiv za higijenu rada i toksikologiju, 69(2), pp.135-153.
Breivik, K., Sweetman, A., Pacyna, J. M. and Jones, K. C. 2007. Towards a global historical emission inventory for selected PCB congeners —A mass balance approach 3. An Update, Science of the Total Environment, 377: 296–307.
Eckhardt S, Breivik K, Mano S, Stohl A (2007) Record high peaks in PCB concentrations in the Arctic atmosphere due to long-range transport of biomass burning emissions. Atmos Chem Phys 7:4527–4536
European Commission (2001). Communication from the Commission to the Council, the European Parliament and the Economic and Social Committee Community – Strategy for Dioxins, Furans and Polychlorinated Biphenyls (COM/2001/0593 final)
Gioia R, Nizzetto L, Lohmann R, Dachs J, Jones KC (2008) Polychlorinated biphenyls (PCBs) in air and seawater of the Atlantic Ocean: sources, trends and processes. Environ Sci Technol 42:1416–1422
Jaward FM, Barber JL, Booij K, Dachs J, Lohmann R, Jones KC (2004) Evidence for dynamic air-water coupling and cycling of persistent organic pollutants over open Atlantic Ocean. Environ Sci Technol 38:2617–2625
Jepson, P.D., Law R.J. (2016). Persistent pollutants, persistent threats. Science, Vol. 352, Issue 6292, pp. 1388-1389. DOI: 10.1126/science.aaf9075, http://science.sciencemag.org/content/352/6292/1388
Jepson, P.D., Deaville, R., Barber, J.L., Aguilar, À., Borrell, A., Murphy, S., Barry, J., Brownlow, A., Barnett, J., Berrow, S. and Cunningham, A.A., 2016. PCB pollution continues to impact populations of orcas and other dolphins in European waters. Scientific reports, 6(1), pp.1-17.
Lauby-Secretan B, Loomis D, Grosse Y, El Ghissassi F, Bouvard V, Benbrahim-Tallaa L, Guha N, Baan R, Mattock H, Straif K (2013) Carcinogenicity of polychlorinated biphenyls and polybrominated biphenyls. Lancet Oncol 14(4):287–288
Menad N, Björkman B, Allain EG (1998) Combustion of plastics contained in electric and electronic scrap. Resour Conserv Recycl 24:65–85
OSPAR (1997). Guidance note on the sampling and analysis of PCBs in air and precipitation. Agreement 1997-09.
OSPAR (2007). OSPAR List of Chemicals for Priority Action (updated 2007). Agreement 2004-12.
OSPAR (2008). OSPAR Publication 2008-379 CEMP Assessment Manual: Coordinated Environmental Monitoring Programme Assessment Manual for contaminants in sediment and biota
OSPAR (2009a). Background Document on CEMP Assessment Criteria for QSR 2010. Monitoring and Assessment Series. Publication no. 461/2009. ISBN 978-1-907390-08-1
OSPAR (2009b). OSPAR Agreement 2009-2. Agreement of OSPAR CEMP Assessment Criteria for the QSR 2010.
OSPAR (2016). OSPAR Coordinated Environmental Monitoring Programme (CEMP). Agreement 2016-01
OSPAR (2021). Background document on Background Assessment Concentrations (BAC) for Polybrominated Diphenyl Ethers (PBDE) in fish and shellfish, Publication Number: 796/2021, ISBN: 978-1-913840-00-6
PARCOM (1992). PARCOM Decision 92/3 on the Phasing out of PCBs and Hazardous PCB Substitutes.
Pietrzak-Fiecko R, Smoczynska K, Smoczynski SS (2005) Polychlorinated biphenyls in human milk, UHT cow's milk, and infant formulas. Pol J Environ Stud 14(2): 237–241
Stockholm Convention of Persistent Organic Pollutants (POPs) adopted to EU legislation in Regulation (EC) No 850/2004, amended 2009
Contributors
Lead authors: Lynda Webster and Rob Fryer
Supported by: Working Group for Monitoring and on Trends and Effects of Substances in the Marine Environment, Task Group for the development of the Hazardous Substances Thematic Assessment and Hazardous Substances and Eutrophication Committee.
Citation
Webster, L. and Fryer, R. 2022. Status and Trends of Polychlorinated Biphenyls (PCB) in Fish, Shellfish and Sediment. In: OSPAR, 2023: The 2023 Quality Status Report for the North-East Atlantic. OSPAR Commission, London. Available at: https://oap.ospar.org/en/ospar-assessments/quality-status-reports/qsr-2023/indicator-assessments/pcb-biota-sediment
| Assessment type | Indicator Assessment |
|---|---|
| Summary Results | https://odims.ospar.org/en/submissions/ospar_pcb_biota_sed_snapshot_2022_06/ |
| SDG Indicator | 14.1 By 2025, prevent and significantly reduce marine pollution of all kinds, in particular from land-based activities, including marine debris and nutrient pollution |
| Thematic Activity | Hazardous Substances |
| Relevant OSPAR Documentation | OSPAR Publication 2008-379 CEMP Assessment Manual: Co-ordinated Environmental Monitoring Programme Assessment Manual for contaminants in sediment and biota |
| Date of publication | 2022-06-30 |
| Conditions applying to access and use | https://oap.ospar.org/en/data-policy/ |
| Data Snapshot | https://doi.org/10.17895/ices.data.21229139 |
| Data Snapshot | https://doi.org/10.17895/ices.data.18601820 |
| Data Results | https://odims.ospar.org/en/submissions/ospar_pcb_biota_sediment_results_2022_06/ |
| Data Source | https://dome.ices.dk/ohat/?assessmentperiod=2022 |

