Status and Trends of Polybrominated Diphenyl Ethers (PBDEs) in Biota and Sediment
Background
Polybrominated diphenyl ethers (PBDEs) are a group of congeners, mainly used as flame retardants in a variety of materials including plastics, textiles, electronic products, building materials, furnishings, and vehicles (Figure 1).
PBDEs may enter the environment through emissions from manufacturing processes, evaporation from products that contain PBDEs, recycling wastes and leachate from waste disposal sites (Figure 2). They are widespread and have been detected in air, sediments, surface waters, and fish and other marine animals.
PBDEs are toxic, they take a long time to degrade and have the potential to accumulate in fish or shellfish (taken up either directly from the surrounding water or indirectly via food). As a result, some PBDEs were banned or restricted within the European Union starting in 2004. Further, production of some groups of PBDEs was banned in 2009 by 180 countries that are signatories to the Stockholm Convention.
The spatial distribution of PBDEs in the marine environment is variable. They do not dissolve in water but bind strongly to soil and sediment. As a result, PBDEs in sediment are not very mobile. Some PBDE congeners tend to accumulate in fish and shellfish more than others. PBDE are known to affect the nervous, immune and endocrine systems of birds and mammals.
The aim of the OSPAR Hazardous Substances Strategy 2010-2020 was to achieve concentrations in the marine environment close to zero for man-made synthetic substances like PBDEs. They are therefore included in the group of brominated flame retardants on the OSPAR List of Chemicals for Priority Action.

Figure 1: PBDEs are a group of compounds mainly used as flame retardants in a variety of materials, including furnishings

Figure 2: Land-based waste dumping site with potential leakage of PBDEs from products containing these flame-retardants
Polybrominated diphenyl ethers (PBDEs) are a group of 209 different congeners. Their main use is as flame retardants in different types of material including plastics, textiles, and electronic products. The three major commercial PBDE mixtures that have been produced are pentaBDE, octaBDE and decaBDE. Globally, decaBDE is the most widely used.
PBDEs are flame-retardants of the additive type, which means that they are physically combined with the material being treated rather than chemically combined (as in reactive flame retardants) and are more likely to diffuse out of the products (European Commission, 2001, 2003; Hutzinger and Thoma, 1987 cited in Alaee et al., 2003). Leakage of PBDE occurs during production, use, or disposal of products, and PBDEs are mainly transferred to the ocean via rivers and atmospheric transport (OSPAR, 2009). The presence of PBDEs in air samples from Arctic Canada, for example, provides evidence of their long-range transport (de Wit, 2002).
The advantage of these compounds for industry is their high resistance to acids, bases, heat, light, and reducing and oxidising compounds. However, this becomes a disadvantage in the environment where they persist for a very long time. Increased concentrations of these compounds have been measured in environmental samples since the 1970s (de Wit, 2002). PBDEs are toxic, are persistent in the environment and can bioaccumulate. As a result, the PBDE substances included in the commercial pentaBDE- and octaBDE-mixtures were banned in the European Union in 2004, and since 2009 have been listed under the Stockholm Convention (2009), meaning that a majority of countries worldwide have agreed to phase out these compounds.
PBDE has been reported to be neurotoxic and immunotoxic, and to affect thyroid hormone receptors in sensitive human populations (de Wit, 2002). Effects on behaviour learning (Eriksson et al., 2006a, b) and hormonal function (Legler, 2008) have been reported in mammals, while reduced reproductive success has been documented in birds (Fernie et al., 2009).
Smaller PBDE molecules are more toxic and bioaccumulate more readily than larger molecules. Debromination of highly brominated BDEs (such as decaBDE) to these smaller forms is a possibility and justifies monitoring based on a broad set of congeners. All PBDEs are hydrophobic or ultra-hydrophobic substances that do not dissolve in water and bind strongly to soil or sediment (PBDEs are more mobile in the atmosphere because they attach to airborne particulates; dust, soot, smoke, and liquid droplets). As a result, PBDEs in sediment are not very mobile and unlikely to volatilise from the water phase. The higher the degree of bromination, the lower the water solubility. PBDEs can be photodegraded in the environment (de Wit 2004; Pan et al., 2016).
The use of substance groups pentaBDE and octaBDE mixtures has been banned in the European Union since 2004 (Commission regulation (EC) No 552/2009). TetraBDE, pentaBDE, hexaBDE and heptaBDE were listed under the Stockholm Convention in 2009 and decaBDE in 2017 (Stockholm Convention, 2009; 2022; EU,2019). As a result, Parties to the Convention must act to eliminate the production and use of these compounds. Although there is no production within the European Union, existing stocks of PBDE-containing products may still act as a diffuse source.
The European Foods Safety Authority recommended eight substances (congeners) of certain interest to monitor: triBDE-28, tetraBDE-47, pentaBDE-99, pentaBDE-100, hexaBDE-153, hexaBDE-154, heptaBDE-183 and decaBDE-209 (EFSA, 2006). These were selected on the basis of analytical feasibility for their measurement, production volumes (as registered in 2006), their occurrence in food and feed, their persistence in the environment and their toxicity. For environmental monitoring within the European Union, environmental quality standards have been derived for these congeners excluding BDE-183 and BDE-209 (European Commission, 2011).
Assessment criteria
Two assessment criteria are used to assess PBDE concentrations in sediment and biota: background assessment concentrations (BACs) and Federal Environmental Quality Guidelines (FEQGs).
BACs were developed by OSPAR and for synthetic substances used for testing whether concentrations are close to zero - the ultimate aim of the OSPAR Hazardous Substances Strategy 2010-2020. BACs are statistical tools that for synthetic substances are defined in relation to low concentrations, which enable statistical testing of whether observed concentrations could be considered to be near zero. BACs are calculated according to the method set out in OSPAR (2020a; 2021).
FEQGs are used to assess the status of both sediment and biota (fish and shellfish). Concentrations below the FEQGs should not cause any chronic effects on marine organisms. They were developed under the Canadian Environmental Protection Act from 1999, are available for individual PBDE congeners in sediment and biota and were derived from ecotoxicological testing (Environment Canada, 2013). FEQGs are described in detail in the OSPAR (2020b) background document for sediment and biota.
An alternative to the use of the FEQGs for biota could be the Water Framework Directive (WFD) Environmental Quality Standards (EQS). The EQS is based on the human health QS (which was the lower of the calculated QSs). Due to the method used to assign the fish EQS value for PBDE (0,0085 μg kg-1 wet weight) it is very low compared to typically reported environmental concentrations in biota (even in remote environments, e.g., the Arctic). Most PBDE data for biota therefore exceeds the EQS value (OSPAR 2020b). The EQS for PBDE is also low compared to analytical capabilities (LOW) of several monitoring laboratories. The QS for secondary poisoning is more similar to the FEQG (for BDE47; 44 μg kg-1 wet weight). However, while the FEQGs are available for individual congeners the EQS is based on a sum of six PBDE congeners some of which are missing from some of OSPAR’s Coordinated Environmental Monitoring Programme (CEMP) data series and the QS provides a less stringent assessment of the more toxic homologues (OSPAR 2020b). The FEQGs were therefore chosen as the assessment criteria (for interested parties, an assessment of observations against the EQS is available at the link below and shows that the mean concentrations for all time series exceeds the EQS: https://dome.ices.dk/OHAT/trDocuments/2022/regional_assessment_biota_pbdes_health.html ).
For CEMP the organic contaminant concentrations in sediment are normalised to 2,5% organic carbon (the FEQGs were multiplied by a factor 2,5).
For fish, the FEQG is adjusted to a lipid weight basis (assuming the whole fish used in the toxicity trials have a 5% lipid content) by multiplying the FEQG (on a wet weight basis) by 20 (Table a, OSPAR 2020b). Fish concentrations are then usually assessed on a lipid weight basis. However, if the typical lipid content for the species / tissue is < 3% ( https://dome.ices.dk/OHAT/trDocuments/2022/help_ac_basis_conversion.html ), fish concentrations are assessed on a wet weight basis, with the FEQGs adjusted to a wet weight basis using the conversion factors found at https://dome.ices.dk/OHAT/trDocuments/2022/help_ac_basis_conversion.html . Shellfish concentrations are assessed on a dry weight basis (since too few samples have supporting lipid weight measurements) with the FEQGs adjusted to a dry weight basis using the conversion factors found at https://dome.ices.dk/OHAT/trDocuments/2022/help_ac_basis_conversion.html.
| BAC | FEQG | EU EQS | |||
|---|---|---|---|---|---|
| Fish and shellfish (μg/kg lw) | Sediment (μg/kg dw) | Fish and shellfish (μg/kg lw) | Sediment (μg/kg dw) | Fish (µg/kg ww) | |
| BDE28 | 0,065 | 0,05 | 2400 | 110 | |
| BDE47 | 0,065 | 0,05 | 880 | 97,5 | |
| BDE66 | 0,065 | 0,05 | 97,5 | ||
| BDE85 | 0,065 | 0,05 | 1 | ||
| BDE99 | 0,065 | 0,05 | 20 | 1 | |
| BDE100 | 0,065 | 0,05 | 20 | 1 | |
| BDE126 | 0,065 | 0,05 | |||
| BDE153 | 0,065 | 0,05 | 80 | 1 100 | |
| BDE154 | 0,065 | 0,05 | 80 | 1 100 | |
| BDE183 | 0,065 | 0,05 | 14 000 | ||
| BDE209 | 0,065 | 0,05 | 47,5 | ||
| Sum BDE 28, 47,99, 100, 153 and 154 | 0,0085 | ||||
Table a notes: dw, dry weight; lw, lipid weight. notes: for sediment BACs are normalised to 2,5% organic carbon. For biota BACs and FEQGs are converted to other bases (ww, dw) using species-specific conversion factors ( https://dome.ices.dk/OHAT/trDocuments/2022/help_ac_basis_conversion.html ).
Denmark has reservations regarding the FEQG threshold values.
Sediment, fish, and shellfish status
Similar analyses explored status at the assessment area scale. Two summary measures were considered: the log ratio of the fitted concentration in the last monitoring year to the FEQG; and the log ratio of the fitted concentration in the last monitoring year to the BAC. Impacted monitoring sites were also included in these analyses.
Finally, concentration profiles across congeners at the assessment area scale were explored using the fitted log concentration in the last monitoring year.
The total number of stations with trend information was 32 for sediment and 186 for biota and for status information it was 78 for sediment and 250 for biota. Of these, 4 to 50% of stations were excluded during the selection process described above for the four different assessment types. The final number of stations for each assessment type used in each assessment area are shown in Table b.
| Region | OSPAR contaminants assessment area | Sediment | Biota (shellfish and fish) | ||
|---|---|---|---|---|---|
| Trends | Status | Trends | Status | ||
| Arctic Waters | Barents Sea | - | - | 2* | 6 |
| Greenland-Scotland Ridge | - | - | 4 | 5 | |
| Norwegian Sea | - | - | 3* | 4* | |
| Greater North Sea | Norwegian Trench | - | - | 0* | 5 |
| Northern North Sea | 6 | 14 | 10 | 12 | |
| Skagerrak and Kattegat | - | - | 10 | 15 | |
| Southern North Sea | 12* | 37 | 16 | 26 | |
| English Channel | 2* | 4 | 22 | 26 | |
| Celtic Seas | Irish and Scottish West Coast | 3 | 6 | 17 | 23 |
| Irish Sea | 7 | 14 | 25 | 31 | |
| Celtic Sea | 0* | 1* | 16 | 27 | |
| Bay of Biscay and Iberian Coast | Northern Bay of Biscay | - | - | 23 | 32 |
| Iberian Sea | - | - | 24 | 24 | |
| Gulf of Cadiz | - | - | - | - | |
| Total | 30 | 76 | 172 | 236 | |
Sediment and biota (fish, shellfish, bird eggs and mammals) temporal trends
For each PBDE congener and monitoring site with observations (see specifics below), contaminant temporal trends and status were assessed using the methods described in the contaminants’ online assessment tool ( http://dome.ices.dk/ohat/?assessmentperiod=2022 ). The results from the site-specific analyses were then synthesised to create a regional assessment based on mean concentration and trends within the 14 OSPAR contaminant assessment areas.
The temporal trend assessments included data from those monitoring sites that were representative of general conditions and excluded data from those monitoring sites impacted by a point source of PBDE. Only stations with at least one year with data in the period 2015-2020 and at least five years of data along the whole time series are included in the regional assessment. The analysis was further restricted to assessment areas where there were at least three monitoring sites with trend information and where those monitoring sites had a reasonable geographic spread. For the temporal trend analysis of biota a few bird eggs and mammals time series from northerly regions were used as supplement to the fish and shellfish data. These are limited to the trend analysis and not used for the status as the thresholds for status analysis are specific to fish (Environment Canada, 2013).
For sediment, the PBDE concentrations are normalised to account for changes in the bulk physical composition of the sediment, such as particle size distribution or organic carbon content, for all areas included in the sediment assessment.
The temporal trend for each PBDE congener at each monitoring site was summarised by the estimated annual change in log concentration, with its associated standard error. The annual change in log concentration was then modelled by a linear mixed model with a fixed effect:
~ OSPAR contaminants assessment areas
and random effects:
~ congener + congener: OSPAR contaminants assessment area + monitoring site + congener: monitoring site [biota only] + residual variation.
The choice of fixed and random effects was motivated by the assumption that the PBDE congeners would have broadly similar trends, since they have similar sources. Thus, the fixed effect measures the common trend in PBDE congener in each contaminant’s assessment area and the random effects measure variation in trends:
- between congeners common across OSPAR contaminants assessment areas (congener);
- between congeners within OSPAR contaminants assessment areas (congener: contaminants assessment area);
- between congeners but common across tissues and species within monitoring sites (congener: monitoring site); and
- residual variation.
The residual variation is made up of two terms: the variation associated with the estimate of the trend from the individual time series, which is assumed known (and given by the square of the standard error); and a term which accounts for any additional residual variation not explained by the other fixed and random effects.
Evidence of trends in PBDE concentrations at the assessment area scale was then assessed by plotting the estimated fixed effects with point-wise 95% confidence intervals. Differences between congeners were explored by plotting the predicted trend for each congener and for each congener / assessment area combination with point-wise 95% confidence intervals.
Differences in methodology used for the QSR 2023 compared with the QSR 2010 and the Intermediate Assessment 2017
For the QSR 2023, a meta-analysis is used to synthesise the individual time series results and provide an assessment of temporal trend and a calculation of status at the assessment area level. Meta-analyses consider both the estimate of trend or status in each time series and the uncertainty in that estimate. This was the same method used in the Intermediate Assessment 2017 (OSPAR 2017) while they provide a more objective regional assessment than was possible in the QSR2010, where a simple tabulation of the trend and status at each monitoring site was presented.
In the QSR 2023 FEQGs are used to assess the status of both sediment and biota (Table a). No assessment criteria were used in the QSR 2010 or Intermediate Assessment 2017.
Results
Polybrominated Diphenyl Ether (PBDE) concentrations were measured in sediment and biota from monitoring sites throughout much of the Arctic waters (biota only), Greater North Sea, Celtic Seas, and Bay of Biscay and Iberian Coast (biota only) (Figure 3 and Figure 4). Biota is mostly fish and shellfish but with a few additional time series from marine mammals and bird eggs (only used for the trend analysis) in northerly regions. For biota there is thus a good coverage with status and trends for all OSPAR Regions and most OSPAR assessment areas while for sediment the coverage is limited to the Greater North Sea and the Celtic Seas. Across stations, observations for PBDE in biota spanned the period 1999-2020 and for PBDE in sediment the period 2006-2020.
Figure 3: Monitoring sites used to assess PBDE concentration in a) sediment by OSPAR contaminants assessment areas (grey lines) determined by hydrogeographical principles and expert knowledge, not OSPAR internal boundaries (black lines). The light blue circles are stations where there is only status assessment (minimum 3 years of data) while purple circles indicate stations where there is also a trend assessment (minimum 5 years of data) for at least one PBDE. Available at: ODIMS
Figure 4: Monitoring sites used to assess PBDE concentration in shellfish, fish, bird eggs and mammals by OSPAR contaminants assessment areas (grey lines) determined by hydrogeographical principles and expert knowledge, not OSPAR internal boundaries (black lines). The light blue circles are stations where there is only status assessment (minimum 3 years of data) while purple circles indicate stations where there is also a trend assessment (minimum 5 years of data) for at least one PBDE. Available at: ODIMS.
PBDE concentrations in sediments and fish and shellfish were compared to the OSPAR Background Assessment Concentrations (BAC) and the Federal Environmental Quality Guidelines (FEQG). Concentrations below the FEQG means that there should be no chronic effects on marine organisms. FEQGs are given for individual congeners and only a few congeners are missing FEQG assessment criteria.
Status Assessment
To make an overview assessment of the status of PBDEs, the mean concentration relative to the FEQG or BAC across all PBDE congeners was used. Mean PBDE concentrations in sediment and biota (fish and shellfish) are statistically significantly below the FEQGs in all contaminants’ assessment areas (Figure 5 and Figure 6). Therefore, adverse biological effects in marine species are unlikely. Concentrations in sediments are lowest in the Channel and in biota in the Northern Bay of Biscay. No assessment area had background concentrations (i.e., significantly below BAC) for either sediment (BAC: 0,05 μg/kg dw) or biota (BAC: 0,065 g/kg lw).

Figure 5: Mean PBDE concentrations (averaged over PBDEs) in sediment in each OSPAR contaminants assessment area, relative to the Federal Environmental Quality Guidelines (FEQG) (with 95% upper confidence limits).
Green indicates concentrations significantly (p<0.05) below FEQG but above BAC.

Figure 6: Mean PBDE concentrations (averaged over PBDEs) in fish and shellfish in each OSPAR contaminants assessment area, relative to the Federal Environmental Quality Guidelines (FEQG) (with 95% upper confidence limits).
Green indicates concentrations significantly (p<0.05) below FEQG but above BAC.
Trend assessment
Temporal trends of PBDE concentrations in sediments and biota were assessed in areas where there were at least five years of data. This resulted in the assessment of three areas for sediment and ten for biota (Figure 7 and Figure 8). No increasing trends were detected. Decreasing trends were observed in sediment from the Irish Sea and in 50% of biota time series (Northern North Sea, Southern North Sea, the Irish and Scottish West coast, the Irish Sea and the Northern Bay of Biscay). In the other areas assessed no statistically significant trends were observed for the averaged PBDE data. The average yearly decline is up to 12% (the Irish Sea) and the general decline for most assessment areas suggest that PBDE concentrations are on their way down across the OSPAR Maritime Area especially in biota.
When compared to the Intermediate Assessment 2017 (OSPAR 2017) biota assessment, a change in the trend for the English Channel and Iberian Sea is seen. In the Intermediate Assessment 2017 these areas showed significant decreasing trends of >10% per year, in the current analysis the decreased has slowed to < 5% per year with the confidence interval overlapping zero. For sediments, a similar change in the rate of decrease is seen between the Intermediate Assessment 2017 and the current analysis for the two areas that are included in both assessments. The Northern North Sea goes from a significant decrease of > 5% per year to no significant decrease, and the Irish Sea goes from a significant decrease of > 10% per years to a significant decrease of < 10% per year. This could indicate that, as concentrations are getting lower in these areas, it gets harder to see the trends or that the concentrations are stabilising (input closer to output).

Figure 7: Annual percent change in PBDE concentration (averaged over PBDEs) over the past 20 years in sediment in each OSPAR contaminants assessment area (with 95% confidence intervals).
A circle indicates that the trend is not significant, a triangle indicate that the trend is significant.

Figure 8: Annual percent change in PBDE concentration (averaged over PBDEs) over the past 20 years in fish, shellfish, and bird egg concentrations in each OSPAR contaminants assessment area (with 95% confidence intervals).
A circle indicates that the trend is not significant, a triangle indicate that the trend is significant.
PBDE concentrations are measured in sediment and fish and shellfish samples taken annually (or every few years) from monitoring sites throughout much of the Arctic waters (biota only), Greater North Sea, Celtic Seas, and Bay of Biscay and Iberian Coast (biota only). The number of monitoring sites varies widely between assessment areas, with the Greater North Sea having the most. Only assessment areas with at least three monitoring sites and a reasonable geographic spread were included in the assessment of status and temporal trends. Observations for PBDE in biota spanned the period 1999-2020 and for PBDE in sediment the period 2006-2020 with data from at least one station.
PBDE concentrations in sediment, fish and shellfish were compared to the OSPAR Background Assessment Concentrations (BAC) and Federal Environmental Quality Guidelines (FEQG). Concentrations below the FEQG should not cause any chronic effects on marine organisms.
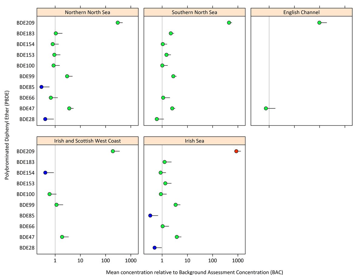
Mean sediment PBDE concentration for the various congeners (normalised to organic carbon) relative to the BAC for each assessment area are shown in Figure a. Mean congener sediment concentrations are above BAC except for BDE154 in the Irish and Scottish West coast and BDE85 and BDE28 in the Northern North Sea and Irish Sea. For fish and shellfish (Figure b), the mean concentration of only two congeners (BDE153 and BDE28) were below BAC in only one assessment area (the Northern Bay of Biscay).
All mean congener PBDE concentrations in sediment were significantly below the FEQG in all the assessment areas except BDE209 in the Irish Sea. While the other four sediment assessment areas do not have BDE209 above the FEQGs they are still a factor 10-100 above the concentrations found for the other congeners (Figure a). This could be a result of the relative lower FEQG for PBDE209 than other congeners (Table a). Alternatively, higher historic exposure and/or a longer lifetime in the sediments for BDE209 due to high particle affinity and low biodegradability (Söderstrom et al., 2004) could also impact the result.

Figure a Mean PBDE sediment concentration relative to Background Concentration (BAC) with upper 95% confidence limits.
Blue indicates concentrations significantly (p<0,05) below BAC, green indicates concentrations significantly (p<0.05) below FEQG but above BAC, red indicates concentrations above FEQG.
Overall, no adverse biological effects are expected based on the status assessment except in the Irish Sea sediment.

Figure b: Mean PBDE fish and shellfish concentration shellfish in each OSPAR contaminants assessment area, relative to the Background Assessment Concentration (BAC) (with 95% upper confidence limits).
Mean sediment concentration relative to Background Concentration (BAC) with 95% confidence limits. Blue indicates concentrations significantly (p<0,05) below BAC, green indicates concentrations significantly (p<0.05) below FEQG but above BAC, yellow indicates that no FEQG exists for the congener (see Table a).
Temporal trends in PBDE concentrations in sediment and biota were assessed in areas where there were at least five years of data. The percentage yearly change for PBDE in each assessment area is shown in Figure c and Figure d. In most regions trends were stable or downwards. For sediments all PBDE congeners show a downward trend in the Irish Sea.

Figure c: Percentage annual change in PBDE congener concentration in sediment in each OSPAR contaminants assessment area (with 95% confidence limits).
A circle indicates that the trend is not significant, a triangle indicates that the trend is significant.

Figure d: Percentage annual change in PBDE congener concentration in fish, shellfish and bird egg concentrations in each OSPAR contaminants assessment area (with 95% confidence limits).
A circle indicates that the trend is not significant, a triangle indicates that the trend is significant.
For fish and shellfish all PBDE congeners show a downward trend in Northern North Sea (except for BDE28) and the Irish Sea. There are also downward trends for some congeners and areas: Skagerrak and Kattegat (BDE47), Southern North Sea (BDE153, BDE100, BDE99, BDE47 and BDE28), Channel (BDE47 and BDE28), Irish and Scottish West Coast (BDE154, BDE100, BDE99 and BDE47), Celtic Seas (BDE100 and BDE47), Northern Bay of Biscay (BDE154, and BDE47) and Iberian Sea (BDE 100, BDE99 and BDE66)
A summary of individual time series results per monitoring site (across the OSPAR Maritime Area) for PBDE concentrations in sediment and biota is presented here ( https://dome.ices.dk/OHAT/?assessmentperiod=2022 ). In summary, at 51 out of 566 sediment monitoring series (individual congeners) across the OSPAR Maritime Area, mean concentrations of PBDE in sediment are above the FEQG. In no site out of 77 sediment monitoring series (individual congeners), have concentrations increased over the assessment period. While 17 sites showed a downward trend.
For fish and shellfish of 1 765 series (individual congeners), only 36 were above the FEQG and 17 out of 853 mean concentrations have increased over the assessment period, while 248 showed downward trends. It should be noted that not all individual time series results are included in the assessments (see number of time series used in each assessment area in Table b), due to the criteria set out in the assessment methods.
Confidence Assessment
There is high confidence in the quality of the data used for this assessment. The data have been collected over many years using established sampling methodologies. There is sufficient temporal and spatial coverage and no significant data gaps in the areas assessed over the relevant time periods. The synthesis of monitoring site data for the assessment area scale are based on established and internationally recognised protocols for monitoring and assessment per monitoring site, therefore there is also high confidence in the methodology.
Conclusion
PBDE concentrations are stable or declining across the OSPAR assessment area. While the concentrations are still above the BAC, they are, in general below the FEQG. PBDE concentrations should therefore not cause adverse effects to marine organisms.
PBDE concentrations in both sediment and biota have in general been stable (54% of assessed areas) or declining (46% of assessed areas) across the OSPAR assessment area for the past 20 years.
Within the areas assessed, there is no reason to suspect general chronic effects on marine organisms as concentrations are in general below the FEQG. As the time series analysis further indicates stable to declining trends for all areas (averaged PBDEs) there is no reason to suspect that this will change over the coming years. However, no assessment areas had concentrations below the BAC (close to zero) and the environment is therefore still impacted by these man-made substances although this impact is declining.
For individual time series there is some variability but only a few stations show significantly increasing trends. This indicates that there are local conditions affecting these sites but does not change the overall picture of declining concentrations.
While status and trends are reported from all OSPAR Regions for biota, the sediment data is still limited to the Greater North Sea and the Celtic Seas. PBDE have a high affinity for particulates as they are highly hydrophobic, and therefore a potential long lifetime in sediments. Despite sediment concentrations being below the FEQGs it would be good to include data from all the Regions in future assessments.
Knowledge Gaps
The monitoring sites meeting the criteria for being included in the assessment, are limited to Region II and III for sediments.
Due to the bioaccumulation potential, there is a need to make PBDE concentrations measured in different biota (shellfish and fish) comparable.
The EU-EQS requires further investigation before being used in OSPAR Maritime Area.
There are few monitoring sites for the assessment of temporal trends and status of PBDE in sediment apart from Regions II and III. This means the assessment cannot be considered representative for the OSPAR Maritime Area as a whole. Cooperation between OSPAR and the Arctic Monitoring and Assessment Programme (AMAP) could improve access to data for Region I.
PBDE bioaccumulate, some congeners more than others (Environment Canada, 2013). A strategy is needed to make data from different monitoring species, such as shellfish and different trophic level fish, comparable.
The method used to assign the biota Environmental Quality Standard (EQS) that is derived within European Union to protect marine and freshwater ecosystems as well as humans from adverse effects of chemicals in the aquatic environments has resulted in a value for PBDE that is very low compared to typically reported environmental concentrations in biota (even for pristine areas). It therefore requires further investigation before it can be used in the OSPAR Maritime Area. Further, it is recommended to create congener specific values as the toxicity varies greatly between congeners as shown by the work on the FEQGs done by Environment Canada (2013; Table a).
Alaee M., Arias P., Sjödin A., Bergman Å. (2003). An overview of commercially used brominated flame-retardants, their applications, their use patterns in different countries/regions and possible modes of release. Environment International, 29: 6, pp. 683–689.
de Wit CA. (2002). An overview of brominated flame-retardants in the environment. Chemosphere, 46:5, pp.583-624
Eriksson, P., Fischer, C. & Fredriksson, A. (2006a). Polybrominated diphenyl ethers, a group of brominated flame-retardants, can interact with polychlorinated biphenyls in enhancing developmental neurobehavioral defects. Toxicological Sciences, 94, 302-309.
Eriksson, P., Fischer, C., Wallin, M., Jakobsson, E. & Fredriksson, A. (2006b). Impaired behaviour, learning and memory, in adult mice neonatally exposed to hexabromocyclododecane (HBCDD). Environmental Toxicology and Pharmacology, 21, 317-322.
Environment Canada (2013). Federal Environmental Quality Guidelines Polybrominated Diphenyl Ethers (PBDEs). http://www.ec.gc.ca/ese-ees/05DF7A37-60FF-403F-BB37-0CC697DBD9A3/FEQG_PBDE_EN.pdf
European Commission (EC) (2001). European Union Risk Assessment Report for diphenyl ether, pentabromo derivative (CAS-No.:32534-81-9; EINECS-No.: 251-084-2) (Final approved version). Institute for Health and Consumer Protection- European Chemicals Bureau. August 2000.
European Commission (EC) (2003). European Union Risk Assessment Report for diphenyl ether, octabromo derivative (CAS-No.:32536-52-0, EINECS-No.: 251-087-9) (Final approved version). Institute for Health and Consumer Protection- European Chemicals Bureau. 2003.
European Commission CIS Working Group (2011). PolyBDEs EQS dossier 2011. Polybrominated diphenyl ethers (BDEs). Prepared by the Sub-Group on Review of the Priority Substances List (under Working Group E of the Common Implementation Strategy for the Water Framework Directive). Reviewed by the Scientific Committee on Health and Environmental Risks (SCHER)
EU (2019). REGULATION (EU) 2019/1021 OF THE EUROPEAN PARLIAMENT AND OF THE COUNCIL of 20 June 2019 on persistent organic pollutants (recast). https://eur-lex.europa.eu/legal-content/EN/TXT/PDF/?uri=CELEX:32019R1021&from=en
European Food Safety Authority (EFSA) Panel on Contaminants in the Food Chain, (2006). Advice of the Scientific Panel CONTAM related to relevant chemical compounds in the group of brominated flame retardants for monitoring in feed and food. EFSA Journal 2006;4(3):328, 4 pp. doi:10.2903/j.efsa.2006.328
Fernie, K.J., Shutt, J.L., Letcher, R.J., Ritchie, I.J. & Bird, D.M. (2009). Environmentally relevant concentrations of DE-71 and HBCD alter eggshell thickness and reproductive success of American kestrels. Environmental Science & Technology, 43, 2124-30.
Hutzinger O., Thoma H. (1987). Polybrominated dibezo-p-dioxins and dibenzofurans: the flame-retardant issue Chemosphere, 16, pp. 1877–1880
Legler, J. (2008) New insights into the endocrine disrupting effects of brominated flame retardants. Chemosphere, 73, 216-222.
OSPAR (2009) Background Document on Certain Brominated Flame Retardants –Polybrominated Diphenylethers, Polybrominated Biphenyls, Hexabromo Cyclododecane, Update 2009
OSPAR (2017). Intermediate Assessment 2017. Available at: https://oap.ospar.org/en/ospar-assessments/intermediate-assessment-2017/
OSPAR (2020a). Background document on background assessment concentrations for Polybrominated Diphenyl Ethers (PBDE) in sediment, OSPAR Commission publication 761/2020. https://www.ospar.org/documents?v=42738
OSPAR (2020b). Background document for Canadian Federal environmental Quality Guidelines (FEQGs) for Polybrominated Diphenyl Ethers (PBDEs) in sediment and biota, OSPAR Commission publication 760/2020. https://www.ospar.org/documents?v=42746
OSPAR (2021). Background document on Background Assessment Concentrations (BAC) for Polybromintaed Diphenyl Ethers (PBDE) in fish and shellfish, OSPAR Commission publication number 796/2021. https://www.ospar.org/documents?v=46274
Pan, Y., D.C.W. Tsang, Y. Wang, Y. Li, X. Yang (2016). The photodegradation of polybrominated diphenyl ethers (PBDEs) in various environmental matrices: Kinetics and mechanisms. Chemical Engineering Journal 297, 74-96
Söderstrom G, Sellström U, de Wit CA, Tysklind M. (2004) Photolytic debromination of decabromodiphenyl ether (BDE 209). Environ Sci Technol. 127-32. doi: 10.1021/es034682c . PMID: 14740727.
Stockholm Convention (2009). Stockholm Convention on Persistent Organic Pollutants (POPs) as amended in 2009. http://www.pops.int/documents/convtext/convtext_en.pdf
Stockholm Convention (2022). Stockholm convention webpage accessed February 2022: http://www.pops.int
Contributors
Lead authors: Lucia Viñas, Anne L. Soerensen and Rob Fryer
Supported by: Working Group for Monitoring and on Trends and Effects of Substances in the Marine Environment (MIME), Task Group for the development of the Hazardous Substances Thematic Assessment (TG-HASTA) and Hazardous Substances and Eutrophication Committee (HASEC).
Citation
Viñas, L., Soerensen, A.L., and Fryer, R. 2022. Status and Trends of Polybrominated Diphenyl Ethers (PBDEs) in Biota and Sediment. In: OSPAR, 2023: The 2023 Quality Status Report for the North-East Atlantic. OSPAR Commission, London. Available at: https://oap.ospar.org/en/ospar-assessments/quality-status-reports/qsr-2023/indicator-assessments/status-and-trends-polybrominated-diphenyl-ethers-pbdes-biota-and
| Assessment type | Indicator Assessment |
|---|---|
| Summary Results | https://odims.ospar.org/en/submissions/ospar_pbdes_biota_sed_msfd_2022_06 |
| SDG Indicator | 14.1 By 2025, prevent and significantly reduce marine pollution of all kinds, in particular from land-based activities, including marine debris and nutrient pollution |
| Thematic Activity | Hazardous Substances |
| Relevant OSPAR Documentation | OSPAR Publication 2009-394 Background Document on Certain Brominated Flame Retardants |
| Date of publication | 2022-06-30 |
| Conditions applying to access and use | https://oap.ospar.org/en/data-policy/ |
| Data Snapshot | https://doi.org/10.17895/ices.data.21229139 |
| Data Snapshot | https://doi.org/10.17895/ices.data.18601820 |
| Data Results | https://odims.ospar.org/en/submissions/ospar_pbdes_biota_sed_results_2022_06/ |
| Data Source | https://dome.ices.dk/OHAT/?assessmentperiod=2022 |

