Status and Trend Hazardous Substances using CHASE
1. Background
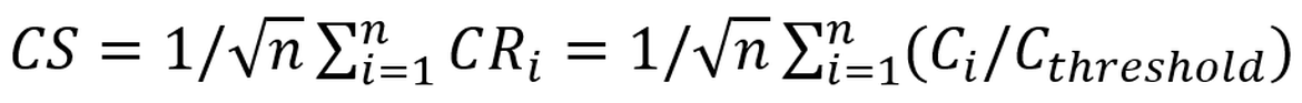
To integrate all hazardous substance indicators, the contaminant score (CS) is calculated as the sum of the contaminant ratio CRi of each indicator (i) to its target value divided by the square root of the number of indicators. This is done for biota and sediment separately, and then the results are combined using the same method. The approach was first used in HELCOM Holistic Assessment (HOLAS) (Andersen et al., 2010).

(1)
A CS<1 is considered “good” status, whereas CS>1 means that at least one of the individual CRs is above one, or several are close to one. As CS is calculated for biota and sediment individually, the overall CS is then calculated as:

(2)
In the HELCOM HOLAS assessment, which had more biological effect measurements included, separate CS values were calculated for these and measurements of radioactivity as CSBiological effect and CSradioactive effects, summarising each of these individually and then aggregating to a final CS for all chemical inputs (Andersen et al., 2010).
2. Background Extended
The HELCOM Hazardous Substances Status Assessment Tool (CHASE) was developed for the HELCOM Holistic Assessment (HOLAS) in 2010, with the aim of documenting the overall status of the marine environment in relation to hazardous substances using the indicator-based assessments on individual substances and biological effects (Andersen et al., 2010). It integrates the indicators by adding the ratios of measured concentration to target values and dividing by the square root of the number of indicators, to ensure that “dilution” of indicators with high impact (e.g., ratios larger than five) cannot be hidden by other indicators with low impact. Several other ways of assessing the overall status have been tried (Andersen et al., 2016), but the only robust way found was using the square root n method, now dubbed the CHASE tool.
In the original CHASE tool, the confidence of the CHASE tool was linked to the indicator and target values, so that Environmental Quality Standards (EQS) values from the EU Water Framework Directive were considered the gold standard and assigned high confidence, whereas national target values were assigned lower confidence, and using non-ecotoxicologically based targets like background assessment values was given low confidence. This way to define confidence is not used in OSPAR’s Quality Status Report (QSR) 2023 assessment. Instead, statistically defined uncertainty is calculated based on the uncertainties of the indicators CR included.
A CS<1 is considered “good” status, whereas CS>1 means that at least one of the individual CRs is above one, or several are close to one. The main objective of CHASE was to develop a method that would not result in CS<1 if the CR of one or more indicators is above one. The drawback of the method is that with several CR just below 1, the CS can be >1. This is in line with the precautionary principle, where cumulative effects of different substances could exceed the tolerance of the individual responses.
With CHASE, the average of n indicators has a “safety” factor of n/sqrt(n), i.e., for n=9, the average is multiplied by 3, and for n=16, the factor is 4, ensuring that addition of indicators with low CRi’s cannot hide a single indicator with high CRi’s impact in a region. This “safety” factor based on n has no ecotoxicological meaning but the risk of additive negative impact expectedly increases with the number of substances, as does the factor.
3. Assessment Method
The assessment method is the based on the individual indicators for hazardous substances ( metal indicator for Hg in biota and sediment, Cd, Pb in sediment , PAH indicator for biota and sediment, PCB indicator for biota and sediments , PBDE indicator for biota and sediment and Imposex indicator ), using the modelled concentration ratio for the individual indicators (CRi), calculated as the ratio of concentration of individual substance/effect and their respective threshold value. The background for each indicator is given in the individual indicator assessments.
Some CRi's are not available in some regions due to a lack of data. Such missing values are ‘filled in’ using an additive statistical model fitted to the available CRs. This gives a balanced CHASE estimate for all regions. Only regions where there are CRs for more than half the indicators are included in the final results (this excludes biota data from the Gulf of Cadiz with only Hg measured and the Norwegian Sea with only PCB and mercury measured). An upper 95% confidence limit on the CS was calculated based on the uncertainty in the individual Cri’s. For Barents Sea and the Norwegian Trench, PAH and VDS are filled in, for the Greenland-Scotland ridge, only VDS are filled in.
Trends in the CHASE CS were modelled using the trends in the individual CRis to see if the CS is decreasing and is likely to move below 1 in the next ten years. The starting point is the modelled CS for the region in 2020 with the 95% uncertainty from the regional assessment indicated as a vertical line (Figure 4), the 95% confidence limit of the timetrend is also shown, in all cases much lower than the uncertainty on the 2020 modelled CS.
For indicators, where no measurements had been performed, an extrapolated value was filled in. The fill-in procedure was based on an additive mixed model with region and determinand as explanatory variables. (Variance components were a residual term plus estimation variance assumed known).
4. Results
The CHASE assessment was based on environmental indicators only, with seven indicators for sediments in six subregions (Table 1), but no time trend data for the Iberian Sea. For biota, six indicators were used, including the biological effect imposex (VDS), in twelve regions (Table 2), but no time trends were available in the Norwegian Sea and Norwegian Trench.
The CHASE assessment indicates that the status for sediments is “good” for only half of the subregions (Figure 1), and the main substances above the threshold are mercury and lead in the Southern North Sea and Irish Sea region each, and CB118 in the Channel, driving the CS value above 1.

Figure 1: CHASE Contaminants score for subregions of Sediment, including the modelled 95% confidence limits for the estimated CS
For the biota assessment, the status for mercury is not good in any of the 12 subregions. CB118 is good in most regions (eight of 12). Finally, only for one subregion (Iberian Sea) the VDS status is not ”good”, likely as a result of sampling near harbours mainly (see Imposex Indicator Assessment ). The overall CHASE assessment for biota indicated three of 12 areas in good status (Figure 2), with the upper confidence limit for the Barents Sea and Irish and Scottish West Coast above “good”, but the point estimate in “good” status. Three had the lowest CR for mercury, apart from Greenland Scotland Ridge, which had the lowest and is the only region where the upper confidence limit has an CHASE score below 1. The combination of high CR for mercury and CB118 was decisive for most of the subregions, so excluding the CB118 data leads to two subregions with ”good” status (Greenland-Scotland ridge and Irish and Scottish west Coast), whereas exclusion of Hg data resulted in all but the Iberian Sea at ”good” status, based on the point estimate and not taking the 95% confidence limit into account. Excluding both mercury and CB118 leaves every subregion in “good” status.

Figure 2: CHASE Contaminants score for subregions of Biota, including the modelled 95% confidence limits for the estimated CS. Green dots indicate average “good” status for the subregion.
Combining the sediment and biota for the six subregions with sediment data using just the point estimate, only Irish and Scottish West Coast remained in “good” status for the point estimate, with the upper 95% above the CHASE score of 1. This indicates that almost the whole OSPAR region II-IV are a long way from a good environmental status.
A time trend for the CHASE assessment of the regions was calculated, based on the time trends of the individual indicators, and a forecast of 10 years was made. For the sediments, the trend was slightly downwards, significantly so in the Irish Sea, the Northern North Sea and the Southern North Sea, but the Irish Sea had an indication of possibly coming to a good environmental status in the next 10-20 years. For biota, there are significantly decreasing trends in the Irish Sea, the Iberian Sea and the Celtic Sea, where the Celtic Sea will probably be in good status in 10 years, the Irish Sea is close to “good” status, but despite the decrease in the Iberian Sea, the indication is that it will still not reach “good” status in the next 20 years. For the other regions, the increasing mercury trend (see Heavy Metals Indicator Assessment ) gives no significant trends, with a significantly increasing trend observed for the Southern North Sea, so no change in status for the other regions can be expected within the next 20 years.
Table 1: CHASE CR and CS values for sediment. Red numbers are filled in based on other indicators as described in the text
| Region | Cd | Hg | Pb | PAH | n.p.CBs | CB118 | PBDE | CSsediment |
|---|---|---|---|---|---|---|---|---|
| English Channel | 0,36 | 1,10 | 0,99 | 0,09 | 0,14 | 1,95 | 0,00 | 1,75 |
| Iberian Sea | 0,09 | 0,61 | 0,60 | 0,07 | 0,03 | 0,31 | 0,00 | 0,64 |
| Irish and Scottish West Coast | 0,12 | 0,28 | 0,47 | 0,05 | 0,02 | 0,17 | 0,00 | 0,42 |
| Irish Sea | 0,16 | 0,88 | 1,01 | 0,19 | 0,09 | 0,79 | 0,00 | 1,18 |
| Northern North Sea | 0,12 | 0,49 | 0,68 | 0,05 | 0,03 | 0,28 | 0,00 | 0,62 |
| Southern North Sea | 0,31 | 1,15 | 1,34 | 0,11 | 0,06 | 0,77 | 0,00 | 1,42 |
Table 2: CHASE CR and CS values for biota. Red numbers are filled in based on other indicators as described in the text
| Region | Hg | PAH | n.p. CBs | CB118 | PBDE | VDS | CSbiota |
|---|---|---|---|---|---|---|---|
| Barents Sea | 1,55 | 0,01 | 0,04 | 0,52 | 0,00 | 0,00 | 0,87 |
| Norwegian Trench | 3,87 | 0,02 | 0,05 | 0,66 | 0,01 | 0,18 | 1,96 |
| Celtic Sea | 2,20 | 0,02 | 0,03 | 0,46 | 0,00 | 0,12 | 1,15 |
| Channel | 3,67 | 0,02 | 0,09 | 1,80 | 0,00 | 0,13 | 2,33 |
| Greenland-Scotland ridge | 1,22 | 0,01 | 0,01 | 0,17 | 0,00 | 0,00 | 0,58 |
| Iberian Sea | 2,45 | 0,02 | 0,05 | 1,07 | 0,01 | 1,39 | 2,03 |
| Irish and Scottish West Coast | 2,11 | 0,02 | 0,01 | 0,12 | 0,01 | 0,02 | 0,94 |
| Irish Sea | 3,14 | 0,05 | 0,09 | 1,04 | 0,01 | 0,05 | 1,78 |
| Northern Bay of Biscay | 4,01 | 0,02 | 0,05 | 0,72 | 0,00 | 0,09 | 2,00 |
| Northern North Sea | 5,47 | 0,05 | 0,06 | 0,95 | 0,01 | 0,18 | 2,75 |
| Skagerrak and Kattegat | 2,90 | 0,02 | 0,07 | 0,97 | 0,00 | 0,71 | 1,91 |
| Southern North Sea | 4,49 | 0,03 | 0,11 | 1,82 | 0,01 | 0,01 | 2,64 |

Figure 3: Time trend based on the individual indicators for sediments, with significant downward trends (p<0.05) for the Irish Sea, the Northern North Sea and the Southern North Sea. The starting point is the 2020 CS value per region calculated in the Status above, with the horizontal line representing the uncertainty for this number. No time trend is available for the Iberian Sea.

Figure 4: Time trend based on the individual indicators for biota, with significant (p<0.05) downward trends for the Irish Sea and the Iberian Sea but upward trends in the Southern North Sea, Channel and Northern bay of Biscay. The starting point is the 2020 CS value per region calculated in the Status above, with the vertical line representing the uncertainty for this number, and the timetrend including 95% confidence limit on the horizontal axes.
5. Conclusion
Combining the indicators for mercury, cadmium, lead, polycyclic aromatic hydrocarbons (PAHs), non-planar CBs, CB118 and PBDE’s in sediment with mercury, PAHs, non-planar CBs, CB118, PBDE’s and imposex VDS indicator it is evident, that only for the Irish and Scottish West Coast, a good status can be achieved. The indicators responsible for poor status are mainly mercury and CB118 in both biota and sediments, but also VDS in biota and lead in sediments in two specific regions.
The time trend of CHASE scores for biota indicates that both the Celtic Sea and Irish Sea have a chance of reaching good status within a decade or two, if current indicator trends are valid over the next 20 years.

Figure 5: CHASE Contaminants score for subregions for combined sediment and biota CHASE assessment, including the modelled 95% confidence limits for the estimated CS. Notice that for the Irish and Scottish West Coast, taking the upper confidence level would also result in a red dot.
Compared to the one-out-all-out principle, the CHASE tool is a way to make more mathematical assessment, but without losing the precautionary approach of the one-out-all-out as indicators, as levels above the threshold will cause a CHASE CS-score above one and hence not good status for a subregion, except if only one is slightly above and all others are in good status with a very low CR score. In cases with one or more indicator results close to the threshold, the CHASE score can end up above good status, even if no individual contaminant ratios are above one.
6. Knowledge Gaps
The use of CHASE to aggregate all indicators on hazardous substances depends on the same protection level between the individual indicators target values. In essence, there is a balance between the number of indicators included and the outcome of CHASE. When more indicators get developed, the balance between number of e.g., metals vs organic substances or individual vs sums will need careful balancing.
Combined effects of additive toxicity are implicitly included, but a more rigorous inclusion method should be developed, and the fact that CS>1 is possible even with all CRi<1 has to be accepted and discussed.
It should also be noted that Denmark has reservations regarding the OSPAR EAC and ERL values used in the CHASE assessment, and future implementation should preferably be based on EQS values.
7. References
Andersen, J. H., Murray, C., Larsen, M. M., Green, N., Høgåsen, T., Dahlgren, E., Garnaga-Budrė, G., Gustavson, K., Haarich, M., Kallenbach, E. M., Mannio, J., Strand, J., & Korpinen, S. (2016). Development and testing of a prototype tool for integrated assessment of chemical status in marine environments. Environmental monitoring and assessment, 188(2), 115. https://doi.org/10.1007/s10661-016-5121-x
Andersen, J.H., Gustavson, K., Korpinen, S., Murray, C., Boalt, E., Brzozowska, A., Garnaga, G., Haarich, M., Köngäs, P., Mannio, J., Larsen, M.M., Ringeltaube, P., Strand, J. and Zahharov, A. (2010). Hazardous substances in the Baltic Sea: An integrated thematic assessment of hazardous substances in the Baltic Sea. red. / HELCOM. Helsinki Commission, s. 11-16 (Baltic Sea Environment Proceedings; Nr. 120B).
Contributors
Lead authors: Martin M. Larsen, Rob Fryer and Dag Hjermann
Supporting authors: Brendan McHugh and Anne Sorensen
Supported by: Monitoring and on Trends and Effects of Substances in the Marine Environment and Hazardous Substances and Eutrophication Committee.
Citation
Larsen, M.M., Fryer, R., Hjermann, D., McHugh, B. and Sorensen, A. 2022. Status and Trend hazardous substances using CHASE. In: OSPAR, 2023: The 2023 Quality Status Report for the North-East Atlantic. OSPAR Commission, London. Available at: https://oap.ospar.org/en/ospar-assessments/quality-status-reports/qsr-2023/other-assessments/chase

