État et Tendances des Teneurs en Hydrocarbures Aromatiques Polycycliques (HAP) dans les Mollusques et Crustacés et les Sédiments
Contexte
Les hydrocarbures aromatiques polycycliques (HAP) sont des composants naturels du charbon et du pétrole et se forment également lors de la combustion de combustibles fossiles et de matières organiques, par exemple au cours d’activités dans une raffinerie de pétrole. Les HAP peuvent également provenir de processus naturels tels que les incendies de forêt.
Les retombées atmosphériques, les eaux de ruissellement des routes, les rejets industriels et les déversements accidentels d’hydrocarbures sont responsables de l'introduction d'HAP dans le milieu marin. Les HAP présents dans le milieu marin se retrouvent souvent dans les sédiments marins, où ils peuvent être piégés dans les couches inférieures à moins que les sédiments ne soient perturbés. On a démontré des associations entre l’incidence de certaines maladies chez les poissons plats et les concentrations d'HAP dans les sédiments sur lesquels ils vivent et se nourrissent. Les HAP s’accumulent également dans les mollusques et crustacés, soit par absorption directe à partir du milieu marin, soit indirectement par voie alimentaire. En revanche, les poissons métabolisent les HAP et les concentrations chez les poissons sont donc faibles. On peut détecter l’exposition aux HAP chez les poissons en mesurant les métabolites biliaires des HAP dans leur vésicule biliaire. Les problèmes causés par les HAP dans le milieu marin varient considérablement, de l’altération du goût des poissons et des mollusques et crustacés à des effets cancérigènes potentiels sur les humains et les animaux.
En raison de leur persistance dans le milieu marin, de leur potentiel de bioaccumulation et de leur toxicité, les analyses des concentrations d'HAP dans les mollusques et crustacés et les sédiments, et des métabolites biliaires des HAP chez les poissons, sont notifiées dans le cadre du Programme coordonné de surveillance de l’environnement (CEMP) d'OSPAR. La surveillance des concentrations d'HAP dans l’ensemble de la zone maritime d'OSPAR a commencé entre 1985 et 1999.
Les objectifs stratégiques énoncés par OSPAR dans sa Stratégie 2030 pour le milieu marin de l'Atlantique du Nord-Est visent à prévenir la pollution par les substances dangereuses, en éliminant leurs émissions, rejets et pertes, afin de parvenir à des niveaux qui n'entraînent pas d'effets néfastes sur la santé humaine ou le milieu marin, dans le but ultime d'atteindre et de maintenir des concentrations dans le milieu marin qui sont proches des valeurs ambiantes pour les substances dangereuses naturelles et proches de zéro pour les substances dangereuses de synthèse.

Figure 1 : Mollusques et crustacés – Les hydrocarbures aromatiques polycycliques (HAP) peuvent s’accumuler dans les mollusques et crustacés, soit par absorption directe à partir du milieu marin, soit indirectement par voie alimentaire. © Marine Scotland Science

Figure 2 : Benne à sédiments - les hydrocarbures aromatiques polycycliques (HAP) peuvent s’accumuler dans les sédiments marins © Marine Scotland Science
Les hydrocarbures aromatiques polycycliques (HAP) sont des hydrocarbures qui se composent de deux cycles aromatiques fusionnés ou plus, et ils comprennent aussi bien les composés parents (non alkylés) que des homologues alkylés. Bien que les HAP puissent être produits par des processus naturels, ils proviennent également de sources anthropiques (Mojiri et al., 2019). Les procédés de combustion incomplets sont une des principales sources d'HAP, mais ils peuvent aussi être d’origine pétrogénique (pétroles bruts ou produits de raffinage). Les HAP d’origine pétrogénique comprennent principalement les HAP alkylés, à 2 cycles et à 3 cycles, dont la formation résulte de processus diagénétiques, tandis que les HAP provenant de sources pyrolytiques comprennent principalement les HAP parents (non alkylés), plus lourds. L’évaluation du profil des HAP, entre autres les rapports caractérisant les HAP tels que le rapport phénanthrène/anthracène ou le rapport fluoranthène/pyrène, peut donner une indication de la source des HAP (Tobiszewski et Namieśnik, 2012).
Les HAP sont préoccupants en raison de leur persistance, de leur potentiel de bioaccumulation et de leur toxicité. Ils sont donc inscrits sur la Liste OSPAR des produits chimiques prioritaires. Les analyses des HAP dans les sédiments ainsi que dans les mollusques et crustacés sont notifiées dans le cadre du Programme coordonné de surveillance de l’environnement (CEMP) d'OSPAR.
Les propriétés des HAP varient considérablement en fonction du nombre de cycles. Les HAP de faible masse moléculaire peuvent altérer le goût des poissons et des mollusques et crustacés, en les rendant impropres à la vente (Davis et al., 2002). De plus, les métabolites de certains HAP à masse moléculaire élevée, tels que le benzo[a]pyrène, sont de puissants cancérigènes pour les animaux et les humains (Honda et al., 2020). On en sait moins sur la toxicité des HAP alkylés, cependant une étude a démontré que les HAP alkylés pourraient avoir une toxicité plus élevée que celle du composé d’origine (Marvanova et al., 2008).
Il existe des différences marquées entre le comportement dans le milieu aquatique des composés d'HAP de faible masse moléculaire (p. ex. le naphtalène) et des composés d'HAP à masse moléculaire élevée (p. ex. le benzo[g,h,i]pérylène), car leurs propriétés physico-chimiques diffèrent (Mojiri et al., 2019). Les composés de faible masse moléculaire sont nettement plus hydrosolubles et peuvent être bioaccumulés à partir de la phase dissoute, par transfert à travers les surfaces branchiales des organismes aquatiques ; par contre, les composés à masse moléculaire élevée sont relativement insolubles et hydrophobes et peuvent se fixer aux particules organiques et inorganiques dans la colonne d’eau. Les HAP issus de sources de combustion peuvent être déposés directement dans le milieu marin déjà adsorbés sur des particules atmosphériques, telles que la suie.
Les retombées atmosphériques, les eaux de ruissellement, les rejets industriels et les déversements accidentels d’hydrocarbures peuvent être responsables de l'introduction d'HAP dans le milieu marin. Les sédiments agissent comme un puits pour les HAP dans le milieu marin. Des concentrations élevées d'HAP peuvent s'accumuler dans des organismes filtreurs tels que les mollusques bivalves (Baumard et al., 1999 ; Honda et al., 2020). On ne voit généralement pas de fortes concentrations d'HAP accumulées chez les poissons, car ceux-ci possèdent un système efficace d’oxygénase à fonction mixte (OFM), qui leur permet de métaboliser les HAP et de les excréter dans la bile (Stagg et al., 1995 ; Richardson et al., 2001 ; Vethaak et al., 2016). D’autres vertébrés marins et mammifères marins métabolisent aussi efficacement les HAP.
Les émissions d'HAP sont contrôlées par diverses réglementations. Il s’agit notamment de la Convention sur la pollution atmosphérique transfrontière à longue distance (CLRTAP) de la Commission économique des Nations unies pour l'Europe (CEENU, 2009) Les pays signataires sont tenus de réduire leurs émissions de polluants organiques persistants, tels que les HAP, dans le but ultime d’éliminer les rejets et les émissions. Le Règlement sur les polluants organiques persistants (CE 850/2004) exige que les émissions d'HAP soient consignées dans un inventaire et qu’un plan d’action soit mis en place pour limiter les rejets. Le processus d’enregistrement du REACH (CE 1906/2007) énonce les conditions à respecter pour une utilisation sécuritaire des substances, y compris les HAP.
Lors de l’évaluation des concentrations d'hydrocarbures aromatiques polycycliques (HAP), des aspects « relatifs » et « absolus » ont été analysés comme il est indiqué ci-dessous :
- l'« évaluation des tendances », ou évaluation de la distribution spatiale, concernant essentiellement les différences et changements relatifs sur des échelles spatiales et temporelles, apporte des informations sur les vitesses de changement, et indique si la contamination par les HAP est largement répandue ou si elle se limite à des emplacements spécifiques ; et
- l'« évaluation de l'état », concernant l'importance de la (du risque de) pollution (l'état dans lequel les HAP sont présents à un niveau dangereux), nécessite habituellement des critères d'évaluation qui tiennent compte de la sévérité possible des impacts, et par conséquent nécessite des critères qui tiennent compte des conditions naturelles (concentrations ambiantes) et de l'écotoxicologie des contaminants. Par exemple, les Critères d'évaluation environnementale (Environmental Assessment Criteria (EAC)) font partie de la panoplie d'outils utilisée dans ce type d'évaluation.
OSPAR a précisé que lors de l'évaluation des données du Programme coordonné de surveillance de l'environnement (CEMP), la valeur d'évaluation primaire utilisée dans l'évaluation des concentrations d'HAP dans les sédiments et le biote « correspond à la réalisation, ou à la non-réalisation, de cibles statutaires ou d'objectifs de politiques pour des contaminants dans ces matrices » (OSPAR, 2009). Cette série de critères d'évaluation a été compilée spécialement pour l'évaluation des données de surveillance du CEMP concernant les substances dangereuses qui ont été utilisées pour le Bilan de santé (QSR) 2010. L'utilisation de cette série a été considérée comme une solution intérimaire aux fins du QSR 2010, jusqu'à ce que des approches convenant mieux pour la définition de critères d'évaluation puissent être agréées et mises en œuvre. Ces critères sont aussi utilisés dans les évaluations annuelles dans le cadre du CEMP depuis 2010, y compris l’Évaluation intermédiaire de 2017 (IA 2017), et ils seront utilisés jusqu'à ce qu'OSPAR adopte des critères d'évaluation améliorés et sous réserve des conditions énoncées dans l'accord.
Les tendances temporelles des concentrations d'HAP dans le biote et les sédiments sont présentées. Deux critères d’évaluation sont utilisés pour évaluer l’état des concentrations d'HAP dans le biote : les Teneurs ambiantes d'évaluation (BAC) et les Critères d’évaluation environnementale (EAC). Deux critères d’évaluation sont utilisés pour évaluer les concentrations d'HAP dans les sédiments : les Teneurs ambiantes d'évaluation (BAC), et les lignes directrices sur la qualité des sédiments de l'Agence de protection de l'environnement (EPA) des États-Unis, les seuils ERL (Effects range low, ERL).
Les valeurs utilisées pour l'évaluation des indicateurs dans le cadre du QSR 2023 d'OSPAR ne doivent pas être considérées comme équivalentes aux valeurs seuils pour les critères que propose la Directive cadre Stratégie pour le milieu marin de l’Union européenne (DCSMM, 2008/56/CE). Toutefois, elles peuvent être utilisées par les Parties contractantes qui le souhaitent pour remplir leurs obligations aux termes de la DCSMM.
Origine et limitations des BAC
Les Teneurs ambiantes d'évaluation (Background assessment concentrations (BAC)) ont été élaborées par OSPAR pour déterminer si des concentrations mesurées sont proches des niveaux ambiants naturels pour les substances naturelles, et proches de zéro pour les substances de synthèse, ce qui est le but final de la Stratégie Substances dangereuses d'OSPAR pour la période de 2010 à 2020. Des concentrations moyennes largement inférieures aux BAC sont dites proches des concentrations ambiantes naturelles. Les BAC sont des outils statistiques définis par rapport aux concentrations ambiantes ou par rapport à de faibles concentrations, qui permettent de conduire des analyses statistiques pour déterminer si des concentrations observées peuvent ou non être considérées comme proches des concentrations (ou teneurs) ambiantes naturelles.
Les concentrations ambiantes (Background Concentrations (BC)), ou teneurs ambiantes, sont des outils d’évaluation destinés à représenter les concentrations de substances dangereuses que l'on s'attendrait à rencontrer dans l’Atlantique du Nord-Est si certaines opérations industrielles n’avaient pas eu lieu. Elles représentent les concentrations de ces substances dans des sites « distants » ou dans des conditions correspondant à des sites « vierges », établies respectivement à partir de données contemporaines ou de données historiques, en l’absence de minéralisation et/ou d’influences océanographiques significatives. Elles correspondent ainsi aux valeurs ambiantes mentionnées dans la Stratégie Substances dangereuses d'OSPAR pour la période de 2010 à 2020. Les BC pour les substances de synthèse doivent être considérées comme égales à zéro. On reconnaît que des processus naturels, tels que la variabilité géologique ou la résurgence des eaux océaniques près des côtes, peuvent entraîner des variations importantes des concentrations ambiantes des contaminants, par exemple les métaux traces. On devra tenir compte de la variabilité naturelle des concentrations ambiantes lors de l’interprétation des données du CEMP, et les conditions locales devront être prises en compte lors de l’évaluation de la signification de tout dépassement.
Les basses concentrations (Low Concentrations (LC)), ou faibles teneurs, sont des valeurs utilisées pour permettre de dériver des BAC, lorsqu’il est difficile de constituer un ensemble de données sur les concentrations dans des zones distantes ou correspondant à des sites « vierges » à partir desquelles dériver des concentrations ambiantes (BC). Les LC ont été préparées par le Conseil international pour l’exploration de la mer (CIEM) à partir d'ensembles de données provenant de zones qui pourraient généralement être considérées comme distantes, mais où l'on ne peut pas garantir l’absence d’influence du transport atmosphérique de contaminants sur de longues distances.
Les BAC sont calculées selon la méthode présentée dans la Section 4 du Manuel d’évaluation du CEMP (OSPAR, 2008) et elles ont été mises à jour en 2021 (OSPAR, 2021). Selon cette méthode, d'après ce que l'on sait sur la variabilité des observations, il existe une probabilité de 90 % pour que la concentration moyenne observée soit inférieure à la BAC lorsque la concentration moyenne réelle est égale à la BC. Lorsque c’est le cas, les concentrations réelles peuvent être considérées comme « proches des concentrations ambiantes » (pour les substances naturelles), ou « proches de zéro » (pour les substances de synthèse).
Les BAC sont calculées en fonction de la variabilité dans l'ensemble de données du CEMP disponible actuellement via les bases de données détenues par le Centre de données du CIEM, et seront affinées, au niveau opérationnel, par le groupe d’évaluation compétent, au fur et à mesure que de nouvelles données issues de la surveillance dans le cadre du CEMP seront collectées.
Origine et limitations des EAC
Des Critères d'évaluation environnementale (Environmental assessment criteria (EAC)) ont été élaborés par OSPAR et par le CIEM pour évaluer l'importance écologique des concentrations dans le biote. Certaines valeurs EAC ont été compilées spécialement pour l'évaluation des données issues de la surveillance des substances dangereuses dans le cadre du CEMP qui ont été utilisées pour le QSR 2010 et l'IA 2017 (Accord OSPAR 2009-2). Les EAC ne représentent pas des valeurs cibles ou des normes légales dans le cadre de la Convention OSPAR et ne doivent pas être utilisés en tant que tels. Les EAC ont été fixés de telle sorte que les concentrations de substances dangereuses dans le biote qui sont inférieures aux EAC ne devraient pas causer d'effets chroniques sur les espèces marines sensibles, y compris les espèces les plus sensibles, et que les concentrations ne devraient pas non plus présenter un risque inacceptable pour l’environnement et ses ressources vivantes. Cependant, le risque d'empoisonnement secondaire n'est pas toujours pris en compte. On continue d'élaborer des EAC en vue d'une utilisation dans les évaluations des données.
On considère que les concentrations inférieures aux EAC ne présentent pas de risque important pour l’environnement, et dans la plupart des cas, on estime que les EAC sont analogues aux Normes de qualité environnementale (NQE) appliquées aux concentrations de contaminants dans l’eau ou le biote, par exemple aux termes de la Directive cadre sur l’eau de l'Union européenne (DCE, 2000/60/CE).
Il convient de se montrer prudent quand on utilise ces critères génériques d'évaluation environnementale dans des situations spécifiques. Leur utilisation n'exclut pas de faire appel au bon sens et au jugement d'experts quand on évalue les effets sur l'environnement et/ou le risque de voir ces effets apparaître. En outre, les EAC ne tiennent pas compte d'effets biologiques spécifiques à long terme tels que la carcinogénicité, la génotoxicité et la perturbation de la reproduction par suite de déséquilibres hormonaux, et ne prennent pas en compte non plus la toxicité combinée.
Origine et limitations des ERL
Comme OSPAR n’a pas encore établi de Critères d’évaluation environnementale (EAC) pour les concentrations d'HAP dans les sédiments, on a besoin d'un autre moyen d’évaluation. Des valeurs de gammes de concentrations associées aux effets ont été définies par l'Agence de protection de l'environnement des États-Unis (EPA), à titre de lignes directrices sur la qualité des sédiments permettant d'évaluer l'importance écologique des concentrations de contaminants dans les sédiments, afin d'assurer une protection contre le risque d'effets biologiques défavorables sur les organismes. Les concentrations inférieures au niveau ERL (Effects range low) entraînent rarement des effets nocifs chez les organismes marins.
La valeur ERL est définie comme le dixième centile inférieur de l’ensemble de données sur les concentrations dans les sédiments qui ont été associées à des effets biologiques. On observe rarement des effets nocifs sur les organismes lorsque les concentrations descendent en dessous de la valeur ERL, et l’ERL présente donc certaines similitudes avec les principes sur lesquels reposent les EAC d’OSPAR et les Normes de qualité environnementale (NQE) de la Directive-cadre sur l’eau de l’Union européenne. La procédure utilisée pour dériver les critères ERL est très différente des méthodes utilisées pour dériver les EAC et les NQE ; il ne faut donc pas s’attendre à une équivalence précise entre ces deux séries de critères. Les valeurs ERL seront utilisées dans les évaluations des concentrations d'HAP dans les sédiments, à titre de solution intérimaire, lorsque les EAC recommandés ne seront pas disponibles.
Méthodes d'évaluation
Les concentrations d'HAP sont mesurées dans des échantillons de mollusques et de crustacés et de sédiments, et on mesure les métabolites biliaires d'HAP chez les poissons ; les prélèvements ont lieu chaque année (ou toutes les quelques années) dans des sites de surveillance largement disséminés à travers les Régions Eaux arctiques (mollusques et crustacés seulement), Mer du Nord au sens large, Mers Celtiques, et Golfe de Gascogne et côte ibérique (Figure 3, Figure 4 et Figure 5). Des données supplémentaires sont disponibles, mais n’ont pas été incluses dans l’évaluation de l’état et des tendances à l'échelle régionale, en raison du nombre insuffisant de stations ou d’années.
La surveillance des concentrations d'HAP dans la zone maritime d'OSPAR a commencé entre 1985 et 1999. Pour les mesures des concentrations d'HAP dans les mollusques et crustacés, la moule commune (Mytilus edulis) a représenté la majorité des séries chronologiques dans la zone maritime d'OSPAR, mais des données étaient aussi disponibles pour d’autres espèces. Le nombre de séries chronologiques utilisées dans chaque Région et zone d’évaluation des contaminants d'OSPAR est indiqué dans le Tableau b. Seules les zones d’évaluation comptant au moins trois sites de surveillance ayant une étendue géographique raisonnable ont été incluses dans l’évaluation de l’état et des tendances temporelles à l'échelle régionale.
Pour chaque composé d'HAP dans chaque site de surveillance, on a évalué la série chronologique de mesures de concentration pour déterminer les tendances temporelles et l’état à l’aide des méthodes décrites dans l’Outil d'OSPAR pour l'évaluation des substances dangereuses (https://dome.ices.dk/ohat/?assessmentperiod=2022). On a ensuite fait la synthèse des résultats de ces séries chronologiques individuelles à l’échelle des zones d’évaluation dans une série de méta-analyses.
En ce qui concerne les tendances temporelles, on a pris en compte les sites de surveillance représentatifs des conditions générales, et on a exclu les sites de surveillance impactés par une source ponctuelle. L’analyse a également été limitée aux zones d’évaluation comptant au moins trois sites de surveillance pour lesquels des informations sur les tendances étaient disponibles, ces sites de surveillance devant aussi avoir une étendue géographique raisonnable.
La tendance pour les concentrations de chaque composé d'HAP dans chaque site de surveillance a été résumée en calculant le changement annuel estimé de la concentration logarithmique, avec l’erreur-type correspondante.
On a ensuite modélisé le changement annuel de la concentration logarithmique en utilisant un modèle mixte linéaire à effet fixe :
~ Zone d’évaluation des contaminants d'OSPAR et les effets aléatoires :
~ composé + composé/zone d’évaluation des contaminants d'OSPAR + site de surveillance + composé/site de surveillance + variation intra-série
Le choix de l'effet fixe et des effets aléatoires a été motivé par l’hypothèse selon laquelle les concentrations des composés d'HAP auraient des tendances temporelles largement similaires, puisqu’ils ont des sources similaires. Ainsi, l’effet fixe mesure la tendance commune des concentrations des composés d'HAP dans chaque zone d’évaluation des contaminants d'OSPAR, et les effets aléatoires mesurent la variation des tendances :
- entre des composés communs aux différentes zones d’évaluation des contaminants d'OSPAR (congénère) ;
- entre des composés présents à l’intérieur de zones d’évaluation des contaminants d'OSPAR (composé/zone d’évaluation des contaminants) ;
- entre des sites de surveillance communs aux différents composés (site de surveillance) ;
- entre des composés, mais communs aux différents tissus et aux différentes espèces à l’intérieur de sites de surveillance (composé/site de surveillance) ; et
- la variation résiduelle.
La variation résiduelle est constituée de deux termes : la variation associée à l’estimation de la tendance à partir des séries chronologiques individuelles, dont on suppose qu'elle est connue (et indiquée par le carré de l’erreur-type) ; et un terme qui représente toute variation résiduelle supplémentaire non expliquée par les autres effets fixes et aléatoires.
Les données établissant les tendances temporelles des concentrations d'HAP à l’échelle des zones d’évaluation ont ensuite été évaluées en traçant les effets fixes estimés avec des intervalles de confiance ponctuels à 95 %. Les différences entre les composés ont été explorées en traçant la tendance temporelle prédite pour chaque composé et pour chaque combinaison composé/zone d’évaluation avec des intervalles de confiance ponctuels à 95 %.
Des analyses similaires ont exploré l’état à l’échelle des zones d’évaluation. Deux mesures récapitulatives ont été envisagées, à savoir : le rapport logarithmique entre la concentration ajustée au cours de la dernière année de surveillance et l'EAC ou l'ERL ; et le rapport logarithmique entre la concentration ajustée au cours de la dernière année de surveillance et la BAC. Les sites de surveillance impactés ont également été inclus dans ces analyses.
Enfin, les profils de concentration des différents composés à l’échelle des zones d’évaluation ont été étudiés en utilisant la concentration logarithmique ajustée au cours de la dernière année de surveillance.
Des BAC et des EAC sont disponibles pour les concentrations des HAP suivants dans les moules, les huîtres et les sédiments (Tableau a).
| HAP | Abréviation | moules et huîtres | sédiments | ||||
|---|---|---|---|---|---|---|---|
| BAC (μg/kg ps) | EAC (μg/kg ps) | NQ (sh) (μg/kg ph) | BAC¹ (μg/kg ps) | BAC² (μg/kg ps) | ERL (μg/kg ps) | ||
| Naphtalène | 340 | 8 | 160 | ||||
| Phénanthrène | PA | 11,0 | 1700 | 32 | 7,3 | 240 | |
| Anthracène | ANT | 290 | 5 | 1,8 | 85 | ||
| Dibenzothiophène | 190 | ||||||
| Fluoranthène | FLU | 12,2 | 110 | 30 | 39 | 14,4 | 600 |
| Pyrène | PYR | 9,0 | 100 | 24 | 11,3 | 665 | |
| Benz[a]anthracène | BAA | 2,5 | 80 | 16 | 7,1 | 261 | |
| Chrysène (comprenant le triphénylène) | CHR | 8,1 | 20 | 8,0 | 384 | ||
| Benzo[a]pyrène | BAP | 1,4 | 600 | 5 | 30 | 8,2 | 430 |
| Benzo[g,h,i]pérylène | BGHIP | 2,5 | 110 | 80 | 6,9 | ||
| Indéno[123-c,d]pyrène | ICDP | 2,4 | 103 | 8,3 | |||
Notes pour le Tableau a : ps = poids sec, ph = poids humide, sh = santé humaine
- Pour les sédiments, les BAC sont normalisées pour un taux de 2,5 % de carbone organique.
- Les BAC pour les moules et les huîtres sont appliquées à tous les bivalves.
- Les HAP ne font pas l’objet d’une surveillance systématique chez les poissons, mais c'est le cas pour les métabolites biliaires des HAP dans les Régions 2 et 3. Pour les métabolites biliaires des HAP (1-hydroxypyrène ou équivalent) chez les poissons, les BAC et les EAC dépendent de l’espèce et de la méthode d’analyse utilisée, des informations supplémentaires sont disponibles ici AC biological effects (ices.dk) (Davies and Vethaak 2012).
- 1, Toutes les zones d’évaluation sauf les zones Mer ibérique et Golfe de Cadix ; 2, Mer ibérique et Golfe de Cadix.
- Le Danemark a émis des réserves concernant les valeurs EAC et ERL.
Le nombre de séries chronologiques utilisées dans chaque Région et zone d’évaluation d'OSPAR évaluée est indiqué dans le Tableau b.
| Région | Zone d’évaluation des contaminants d'OSPAR | sédiments | mollusques et crustacés | poissons | |||
|---|---|---|---|---|---|---|---|
| Tendances | État | Tendances | État | Tendances | État | ||
| Eaux arctiques | Mer de Barents | - | - | 1* | 2* | - | - |
| Dorsale Groenland-Écosse | - | - | 3* | 8 | - | - | |
| Mer de Norvège | - | - | 1* | 1* | - | - | |
| Mer du Nord au sens large | Fosse norvégienne | - | - | - | - | 2* | 3 |
| Mer du Nord septentrionale | 18 | 18 | 18 | 20 | 7 | 12 | |
| Skagerrak et Kattegat | - | - | 8 | 20 | 0* | 1* | |
| Mer du Nord méridionale | 56 | 60 | 18 | 22 | 13 | 15 | |
| Manche | 3 | 52 | 23 | 25 | 4 | 4 | |
| Mers celtiques | Côtes ouest de l’Écosse et de l’Irlande | 7 | 7 | 17 | 21 | 2* | 2* |
| Mer d’Irlande | 13 | 15 | 23 | 33 | 10 | 12 | |
| Mer celtique | 1* | 3* | 19 | 27 | 2* | 2* | |
| Golfe de Gascogne et côte ibérique | Golfe de Gascogne septentrional | - | - | 25 | 32 | - | - |
| Mer ibérique | 0* | 34 | 24 | 26 | - | - | |
| Golfe de Cadix | - | - | - | - | - | - | |
Différences entre les méthodologies utilisées pour le QSR 2023 et pour le QSR 2010
Pour le QSR 2023, une méta-analyse est utilisée pour faire la synthèse des résultats des séries chronologiques individuelles et fournir une évaluation de l’état et des tendances temporelles au niveau des zones d’évaluation. Les méta-analyses tiennent compte à la fois de l’estimation de l'état ou de la tendance temporelle dans chaque série chronologique et de l’incertitude de cette estimation. Cette méthode a également été utilisée pour l’IA 2017. Cette évaluation comprend également l’évaluation des métabolites biliaires, qui n’a pas été incluse dans le QSR 2010 ou l'IA 2017. Bien qu’elle ne figure pas dans la présente évaluation, l’évaluation de l'état par rapport aux normes relatives à la santé humaine (NQ (sh)) peut être consultée sur l’Outil OSPAR d’évaluation des substances dangereuses ( https://dome.ices.dk/ohat/?assessmentperiod=2022 ).
Résultats
Les concentrations d’hydrocarbures aromatiques polycycliques (HAP) ont été mesurées dans les sédiments et les mollusques et crustacés, et les métabolites biliaires ont été mesurés chez les poissons ; les prélèvement ont eu lieu entre 1985 et 2020, dans des sites de surveillance largement disséminés à travers les Régions Eaux arctiques (mollusques et crustacés seulement), Mer du Nord au sens large, Mers Celtiques, et Golfe de Gascogne et côte ibérique (Figure 3, Figure 4 et Figure 5), à des fréquences allant de tous les ans à tous les cinq ans.
Figure 3 : Sites de surveillance utilisés pour évaluer les concentrations d'HAP dans les sédiments, par zones d’évaluation des contaminants d'OSPAR (lignes grises), définies en appliquant des principes hydrogéographiques et des connaissances spécialisées, et non par les limites internes d'OSPAR (lignes noires). Il existe des données supplémentaires, qui ne sont pas représentées car le nombre d’années est insuffisant. Disponible via : ODIMS
Figure 4 : Sites de surveillance utilisés pour évaluer les concentrations d'HAP dans les mollusques et crustacés, par zones d’évaluation des contaminants d'OSPAR (lignes grises), définies en appliquant des principes hydrogéographiques et des connaissances spécialisées, et non par les limites internes d'OSPAR (lignes noires). Il existe des données supplémentaires, qui ne sont pas représentées car le nombre d’années est insuffisant. Disponible via : ODIMS
Figure 5 : Sites de surveillance utilisés pour évaluer les niveaux de métabolites biliaires des HAP chez les poissons, par zones d’évaluation des contaminants d'OSPAR (lignes grises), définies en appliquant des principes hydrogéographiques et des connaissances spécialisées, et non par les limites internes d'OSPAR (lignes noires). Il existe des données supplémentaires, qui ne sont pas représentées car le nombre d’années est insuffisant. Disponible via : ODIMS
Le nombre de sites de surveillance varie considérablement entre les zones d’évaluation des contaminants d'OSPAR, la Région Mer du Nord au sens large étant celle qui en compte le plus. Seules les zones d’évaluation comptant au moins trois sites de surveillance et ayant une étendue géographique raisonnable ont été incluses dans l’évaluation de l’état et des tendances temporelles.
Les concentrations d'HAP dans les sédiments et les mollusques et crustacés et les niveaux du métabolite d'HAP 1-hydroxypyrène chez les poissons ont été comparés à la Teneur ambiante d'évaluation (BAC) d'OSPAR. De plus, les concentrations d'HAP dans les mollusques et crustacés (et les niveaux de 1-hydroxypyrène chez les poissons) ont été comparés aux Critères d’évaluation environnementale (EAC), et les concentrations dans les sédiments ont été comparées aux seuils ERL (Effects range low) de l'Agence de protection de l'environnement des États-Unis. On voit rarement des effets nocifs sur les organismes marins lorsque les concentrations sont inférieures à la valeur EAC ou ERL.
Les concentrations moyennes d'HAP dans les sédiments et les mollusques et crustacés et les niveaux de 1-hydroxypyrène chez les poissons sont statistiquement significativement inférieurs à l'ERL ou à l'EAC dans toutes les zones d’évaluation des contaminants (Figure 6, Figure 7 et Figure 8). Il est donc peu probable qu'il y ait des effets biologiques nocifs sur les espèces marines. Les concentrations dans les mollusques et crustacés sont les plus faibles dans la zone Dorsale Groenland-Écosse, c’est la seule zone où les concentrations sont au niveau ambiant (c.-à-d. statistiquement significativement inférieures à la BAC). Les concentrations n'ont été au niveau ambiant dans aucune zone pour les sédiments, et les concentrations d'HAP dans les sédiments n’ont pas été évaluées dans la zone Dorsale Groenland-Écosse.

Figure 6 : Concentration moyenne d'HAP dans les sédiments dans chaque zone d’évaluation des contaminants d'OSPAR, par rapport au seuil ERL (Effects range low) (avec des limites de confiance supérieures de 95 %)

Figure 7 : Concentration moyenne d'HAP dans les mollusques et crustacés dans chaque zone d’évaluation des contaminants d'OSPAR, par rapport au seuil ERL (Effects range low) ou critères d’évaluation environnementale (avec des limites de confiance supérieures de 95 %)

Figure 8 : Concentration des métabolites biliaires des HAP chez les poissons dans chaque zone d’évaluation des contaminants d'OSPAR par rapport aux Critères d’évaluation environnementale (EAC) (avec des limites de confiances supérieures de 95 %)
Les tendances temporelles des concentrations d'HAP dans les sédiments et les mollusques et crustacés ont été évaluées dans des zones comptant au moins trois stations et cinq années de données, cinq zones étant évaluées pour les sédiments, neuf zones pour les mollusques et crustacés et quatre zones pour les métabolites biliaires des HAP chez les poissons (Figure 9, Figure 10 et Figure 11). Les concentrations d'HAP sont en augmentation dans les sédiments dans la zone Côtes ouest de l’Écosse et de l’Irlande. Des tendances à la baisse ont été observées dans les mollusques et crustacés dans les zones Mer du Nord septentrionale et Mer ibérique. Les niveaux de métabolites biliaires ne présentent aucune tendance statistiquement significative dans les quatre régions.

Figure 9 : Changement annuel en pourcentage de la concentration d'HAP dans les sédiments dans chaque zone d’évaluation des contaminants d'OSPAR.
Remarque : Pas de changement statistiquement significatif (p < 0,05) de la concentration moyenne (cercle), diminution significative de la concentration moyenne (triangle pointant vers le bas), augmentation significative de la concentration moyenne (triangle pointant vers le haut)

Figure 10 : Changement annuel en pourcentage de la concentration d'HAP dans les mollusques et crustacés dans chaque zone d’évaluation des contaminants d'OSPAR
Remarque : Pas de changement statistiquement significatif (p < 0,05) de la concentration moyenne (cercle), diminution significative de la concentration moyenne (triangle pointant vers le bas), augmentation significative de la concentration moyenne (triangle pointant vers le haut)

Figure 11 : Changement annuel en pourcentage des niveaux de métabolites biliaires des HAP chez les poissons dans chaque zone d’évaluation des contaminants d'OSPAR.
Remarque : Pas de changement statistiquement significatif (p < 0,05) de la concentration moyenne (cercle), diminution significative de la concentration moyenne (triangle pointant vers le bas), augmentation significative de la concentration moyenne (triangle pointant vers le haut)
Les concentrations d’hydrocarbures aromatiques polycycliques (HAP) sont mesurées dans des échantillons de sédiments et de mollusques et crustacés et on mesure les niveaux de métabolites biliaires (1-hydroxypyrène ou équivalents 1-hydroxypyrène) chez les poissons ; les prélèvements on lieu chaque année (ou toutes les quelques années) dans des sites de surveillance largement disséminés à travers les Régions Eaux arctiques, Mer du Nord au sens large, Mers Celtiques, et Golfe de Gascogne et côte ibérique (Figure 3, Figure 4 et Figure 5). Le nombre de sites de surveillance varie considérablement d’une zone d’évaluation à l’autre, la Région Mer du Nord au sens large étant celle qui en compte le plus. Seules les zones d’évaluation comptant au moins trois sites de surveillance et ayant une étendue géographique raisonnable ont été incluses dans l’évaluation de l’état et des tendances temporelles (Tableau b).
Les concentrations d'HAP dans les sédiments et les mollusques et crustacés et les niveaux du métabolite d'HAP 1-hydroxypyrène (ou équivalents 1-hydroxypyrène) chez les poissons ont été comparés à la Teneur ambiante d'évaluation (BAC) d'OSPAR. De plus, les concentrations d'HAP dans les mollusques et crustacés (et les niveaux de 1-hydroxypyrène (ou équivalents 1-hydroxypyrène) chez les poissons) ont été comparés aux Critères d’évaluation environnementale (EAC), et les concentrations dans les sédiments ont été comparées aux seuils ERL (Effects range low) de l'Agence de protection de l'environnement des États-Unis. On voit rarement des effets nocifs sur les organismes marins lorsque les concentrations sont inférieures à la valeur EAC ou ERL.
Les concentrations moyennes d'HAP dans les sédiments (normalisées relativement au carbone organique dans les zones Mer du Nord au sens large, Manche, Golfe de Gascogne et Mers celtiques) et le biote (mollusques et crustacés) par rapport aux BAC pour chaque zone d’évaluation sont indiquées dans la Figure a et la Figure b. Les concentrations moyennes des HAP individuels dans les sédiments ont été généralement supérieures aux BAC. Les concentrations ont été statistiquement significativement inférieures aux BAC pour deux HAP individuels (indéno[1,2,3-cd]pyrène et benzo[g,h,i]pérylène) dans les zones Mer du Nord septentrionale, Mer du Nord méridionale et Manche. Pour les mollusques et crustacés, les concentrations ont été les plus faibles dans la zone Dorsale Groenland-Écosse, tous les composés d'HAP y ayant des concentrations inférieures à la BAC. On a aussi observé des concentrations inférieures à la BAC pour trois composés d'HAP (chrysène, benzo[a]pyrène et indéno[1,2,3-c,d]pyrène) dans les mollusques et crustacés de la zone Côtes ouest de l’Écosse et de l’Irlande, et pour deux HAP (chrysène et indéno[123-c,d]pyrène) dans la zone Mer celtique.

Figure a : Concentration moyenne d'HAP dans les sédiments dans chaque zone d’évaluation des contaminants d'OSPAR, par rapport à la Teneur ambiante d'évaluation (BAC) (avec des limites de confiance supérieures de 95 %)
Remarque : Une valeur de 1 signifie que la concentration moyenne est égale à la BAC. En bleu, la concentration moyenne est statistiquement significativement (p < 0,05) inférieure à la BAC. En vert, la concentration moyenne est statistiquement significativement inférieure aux Critères d’évaluation environnementale (EAC), mais n'est pas inférieure à la BAC. En rouge, la concentration moyenne n’est pas statistiquement significativement inférieure aux EAC. En orange, la concentration moyenne est statistiquement significativement (p < 0,05) supérieure à la BAC, et aucune valeur EAC ou ERL n’est disponible. ICDP, indéno[1,2,3-cd]pyrène ; BGHIP, benzo[ghi]pérylène ; BAP, benzo[a]pyrène ; CHR, chrysène (y compris le triphénylène) ; BAA, benz[a]anthracène ; PYR, pyrène ; FLU, fluoranthène ; PA, phénanthrène

Figure b : Concentration moyenne d'HAP dans les mollusques et crustacés dans chaque zone d’évaluation des contaminants d'OSPAR, par rapport à la Teneur ambiante d'évaluation (BAC) (avec des limites de confiance supérieures de 95 %)
Remarque : Une valeur de 1 signifie que la concentration moyenne est égale à la BAC. En bleu, la concentration moyenne est statistiquement significativement (p < 0,05) inférieure à la BAC. En vert, la concentration moyenne est statistiquement significativement inférieure aux Critères d’évaluation environnementale (EAC), mais n'est pas inférieure à la BAC. En rouge, la concentration moyenne n’est pas statistiquement significativement inférieure aux EAC. En orange, la concentration moyenne est statistiquement significativement (p < 0,05) supérieure à la BAC, et aucune valeur EAC ou ERL n’est disponible. ICDP, indéno[1,2,3-cd]pyrène ; BGHIP, benzo[ghi]pérylène ; BAP, benzo[a]pyrène ; CHR, chrysène (y compris le triphénylène) ; BAA, benz[a]anthracène ; PYR, pyrène ; FLU, fluoranthène ; PA, phénanthrène
Les concentrations de tous les composés d'HAP présents dans les sédiments et le biote ont été nettement inférieures aux valeurs ERL ou EAC dans toutes les zones d’évaluation. Il est donc peu probable qu'il y ait des effets biologiques nocifs sur les espèces marines dans les zones évaluées. Le profil des HAP dans toutes les zones d’évaluation était typique de sources pyrolytiques, car il contenait essentiellement des composés d'HAP plus lourds comportant de 4 à 6 cycles.
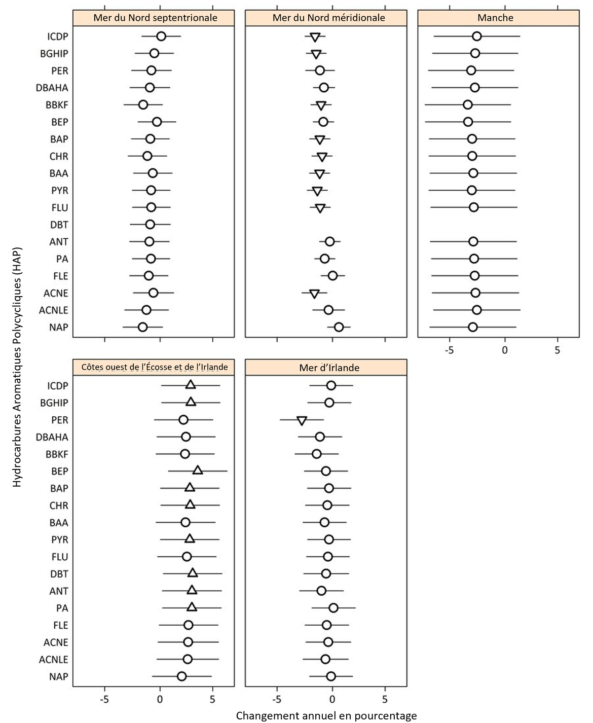
Les tendances temporelles des concentrations d'HAP dans les sédiments et le biote ont été évaluées dans des zones comptant au moins trois stations et pour lesquelles il existait au moins cinq années de données. Le changement annuel en pourcentage des concentrations de chaque HAP dans chaque zone d’évaluation est illustré dans la Figure c et la Figure d. Dans la plupart des régions, les tendances ont été stables ou à la baisse. Cependant, des tendances à la hausse ont été observées pour des HAP individuels dans certaines régions, les sédiments provenant de la zone Côtes ouest de l’Écosse et de l’Irlande présentant des tendances à la hausse pour 9 des 18 HAP. Les mollusques et crustacés de cette zone ont présenté des tendances à la baisse pour les concentrations de 5 HAP sur 14, et aucune tendance à la hausse pour les concentrations des autres HAP. Des tendances à la hausse ont été observées chez les mollusques et crustacés des zones Manche et Mer d’Irlande pour 4 HAP individuels. Il convient de noter que le prélèvement des échantillons de mollusques et crustacés et des échantillons de sédiments couvre différentes zones, les sites de prélèvement des échantillons de mollusques et crustacés étant des sites côtiers et estuariens, et les sites de prélèvement des échantillons de sédiments se trouvant dans des zones côtières et des zones situées au large.

Figure c : Changement annuel en pourcentage de la concentration d'HAP dans les sédiments, par zone d’évaluation des contaminants d'OSPAR et par composé
Remarque : Pas de changement statistiquement significatif (p < 0,05) de la concentration moyenne (cercle), diminution significative de la concentration moyenne (triangle pointant vers le bas), augmentation significative de la concentration moyenne (triangle pointant vers le haut)

Figure d : Changement annuel en pourcentage de la concentration d'HAP dans les mollusques et crustacés, par zone d’évaluation des contaminants d'OSPAR et par composé.
Remarque : Pas de changement statistiquement significatif (p < 0,05) de la concentration moyenne (cercle), diminution significative de la concentration moyenne (triangle pointant vers le bas), augmentation significative de la concentration moyenne (triangle pointant vers le haut)
Résultats des séries chronologiques individuelles, par site de surveillance
Un résumé des résultats des séries chronologiques individuelles par site de surveillance (dans l’ensemble de la zone maritime d'OSPAR) pour les concentrations d'HAP dans les sédiments et le biote est présenté ici https://dome.ices.dk/ohat/?assessmentperiod=2022. En résumé, dans 202 des 1 841 séries chronologiques dans l'ensemble de la zone maritime d'OSPAR, les concentrations moyennes d'HAP dans les sédiments ont été supérieures à la valeur ERL. Dans 50 séries chronologiques sur 1 459, les concentrations moyennes ont augmenté au cours de la période d’évaluation. Pour les mollusques et crustacés, dans 79 des 2 209 séries chronologiques, les concentrations ont été supérieures à la valeur EAC et 126 des 1 896 concentrations moyennes ont augmenté au cours de la période d’évaluation. Pour le 1-hydroxypyrène, ou les équivalents 1-hydroxypyrène, aucune des 49 séries chronologiques n’a dépassé la valeur EAC chez les poissons et les concentrations moyennes ont augmenté pour 11 des 48 sites. Il convient de noter que les résultats des séries chronologiques individuelles ne sont pas tous inclus dans les évaluations (le nombre de séries chronologiques utilisées dans chaque zone d’évaluation est indiqué dans le Tableau b), en raison des critères énoncés dans les méthodes d’évaluation.
Évaluation du niveau de confiance
Un niveau de confiance élevé est associé à la qualité des données utilisées pour cette évaluation. Les données ont été collectées sur de nombreuses années en utilisant des méthodes d’échantillonnage reconnues. La couverture temporelle et spatiale est suffisante et il n'y a pas de lacunes significatives dans les données des zones évaluées au cours des périodes pertinentes. La synthèse des données des sites de surveillance à l’échelle des zones d’évaluation est fondée sur des protocoles établis et reconnus au niveau international pour la surveillance et l’évaluation par site de surveillance, et un niveau de confiance élevé est donc également associé à la méthodologie.
Conclusion
Les concentrations moyennes d’hydrocarbures aromatiques polycycliques (HAP) dans les mollusques et crustacés ont été aux niveaux ambiants dans une des 6 zones d’évaluation des contaminants évaluées (Dorsale Groenland-Écosse). Les concentrations moyennes d'HAP dans les sédiments et les mollusques et crustacés ont été inférieures aux ERL ou aux EAC dans toutes les zones d’évaluation, et il est donc peu probable qu’elles entraînent des effets nocifs chez les organismes marins.
Cependant, les concentrations d'HAP doivent être maintenues sous surveillance, car elles sont supérieures aux concentrations ambiantes dans les sédiments et les mollusques et crustacés dans la plupart des régions, les concentrations des composés d'HAP individuels dépassant également les valeurs EAC/ERL dans certaines stations. Les concentrations sont généralement stables ou en baisse, mais il existe également des tendances à la hausse, en particulier pour les sédiments dans la zone Côtes ouest de l’Écosse et de l’Irlande.
Les HAP proviennent de sources naturelles et seront donc toujours présents dans le milieu marin. Toutefois, en faisant un meilleur usage de la technologie de contrôle des émissions dans les processus de combustion, on pourrait encore améliorer la situation et ramener les concentrations à des niveaux naturels.
Les concentrations d'HAP dans les sédiments et le biote ont généralement été stables ou en baisse, seulement 3,4 % des séries chronologiques des sédiments et 6,6 % des séries chronologiques des mollusques et crustacés présentant des tendances à la hausse. Cependant, pour le 1-hydroxypyrène, ou les équivalents 1-hydroxypyrène, chez les poissons, 23 % des séries chronologiques ont présenté des tendances à la hausse, mais le volume des données disponibles était limité, avec seulement 48 séries chronologiques. A l’échelle régionale, seuls les sédiments de la zone Côtes ouest de l’Écosse et de l’Irlande ont présenté une tendance à la hausse.
Dans la majorité des séries chronologiques, on a observé des concentrations inférieures aux concentrations qui pourraient entraîner des effets nocifs chez les organismes marins, seulement 11 % des séries chronologiques pour les sédiments dépassant la valeur ERL, et pour les mollusques et crustacés, 3,6 % des séries chronologiques dépassant la valeur EAC. Pour le 1-hydroxypyrène, ou les équivalents 1-hydroxypyrène, aucune série chronologique n’a dépassé la valeur EAC chez les poissons. Cependant, peu de zones d’évaluation ont présenté des concentrations inférieures à la BAC (proches de zéro), et c'est seulement dans la zone Dorsale Groenland-Écosse que les concentrations ont été inférieures à la BAC pour tous les composés d'HAP.
Lacunes dans les connaissances
On ne dispose pas de suffisamment de données de surveillance, en particulier pour les sédiments dans la zone Eaux arctiques, et certaines zones d’évaluation ne comptent pas assez de sites de surveillance ayant une bonne étendue géographique pour évaluer l’état et les tendances.
La surveillance des métabolites des HAP dans la bile des poissons peut étendre le programme de surveillance du biote aux eaux libres, mais il s’agit de la première évaluation par OSPAR des métabolites biliaires, et on disposait d'assez de données pour une évaluation de l’état et des tendances dans seulement 4 zones d’évaluation (Mer du Nord septentrionale, Mer du Nord méridionale, Manche, Mer d’Irlande).
Les valeurs ERL (Effects range low) ont été utilisées dans l’évaluation des sédiments car on ne dispose d'aucun critère d’évaluation environnementale (EAC). On a besoin d'élaborer des EAC pour les concentrations d'HAP dans les sédiments.
Les critères d’évaluation environnementale (EAC) ont été utilisés dans l’évaluation des HAP parents seulement pour les mollusques et crustacés ; il n’y a pas de critères d’évaluation pour les HAP alkylés. On a besoin d'élaborer des EAC pour les HAP alkylés dans les mollusques et crustacés. Les limites de l’utilisation des EAC et des Teneurs ambiantes d'évaluation (BAC) devraient être étudiées dans le cadre d’autres recherches.
Baumard, P., Budzinski, H., Garrigues, P., Narbonne, J. F., Burgeot, T. Michel, X. and Belloccq, J. (1999). ‘Polycyclic aromatic hydrocarbon burden of mussels (Mytilius sp.) in different marine environments in relation with sediment and PAH contamination and bioavailability’, Marine Environment Research, 47, 415 – 439.
Davies, I. M. and Vethaak, A. D. 2012. Integrated marine environmental monitoring of chemicals and their effects. ICES Cooperative Research Report No. 315. 277 pp. https://doi.org/10.17895/ices.pub.5403
Davis, H. K., Moffat, C. F. and Shepherd N. J. (2002). ‘Experimental tainting of marine fish by three chemical dispersed petroleum products, with comparisons to the Braer oil spill’, Spill Science and Technology Bulletin, 7, 257 – 278.
Honda, M. and Suzuki, N., 2020. Toxicities of polycyclic aromatic hydrocarbons for aquatic animals. International Journal of Environmental Research and Public Health, 17(4), p.1363.
Marvanova, S., Vondracek, J., Pencikova, K., Trilecova, L., Krcmar, P., Topinka, J., Novakova, Z., Milcova, A., Machala, M. (2008). ‘Toxic effects of methylated benz[a]anthracenes in liver cells’, Chemical Research in Toxicology, 21, 503 – 512.
Mojiri, A., Zhou, J. L., Ohashi, A., Ozaki, N., and Kindaichi, T. (2019). Comprehensive review of polycyclic aromatic hydrocarbons in water sources, their effects and treatments. Sci. Total Environ. 2019:133971. doi: 10.1016/j.scitotenv.2019.133971
OSPAR Publication 2008-379 CEMP Assessment Manual: Co-ordinated Environmental Monitoring Programme Assessment Manual for contaminants in sediment and biota
OSPAR Publication 2009-461 Background Document on CEMP Assessment Criteria for the QSR 2010
OSPAR (2017). Intermediate Assessment 2017. Available at: https://oap.ospar.org/en/ospar-assessments/intermediate-assessment-2017/
OSPAR (2009). Background Document on Polycyclic Aromatic Hydrocarbons (PAHs), Publication Number: 399/20009, ISBN: 978-1-906840-39-6
Background document on Background Assessment Concentrations (BAC) for Polybrominated Diphenyl Ethers (PBDE) in fish and shellfish, Publication Number: 796/2021, ISBN: 978-1-913840-00-6
Richardson, D. M., Davies, I. M., Moffat, C. F., Pollard, P. and Stagg, R. M. (2001) ‘Biliary PAH metabolites and EROD activity in flounder (Platichthys flesus) from a contaminated estuarine environment’, Journal of Environmental Monitoring, 3, 610 - 615.
Stagg, R. M., McIntosh A. M. and Mackie, P. (1995). ‘The induction of hepatic mono-oxygenase activity in dab (Limanda limanda) in relation to environmental contamination with petroleum hydrocarbons in the North Sea’, Aquatic Toxicology, 33: 254-264.
Tobiszewski, M. and Namieśnik, J. 2012. PAH diagnostic ratios for the identification of pollution emission sources. Environ. Pollut., 162, 110-119.
UNECE (2009). Stockholm Convention on Persistent Organic Pollutants Decision 2009/1, Amendment of the text of and annexes I, II, III, IV, VI and VIII to the 1998 Protocol on Persistent Organic Pollutants
Vethaak, A.D., Baggelaar, P.K., van Lieverloo, J.H.M. and Ariese, F., 2016. Decadal trends in polycyclic aromatic hydrocarbon (PAH) contamination assessed by 1-hydroxypyrene in fish bile fluid in the Netherlands: Declining in marine waters but still a concern in estuaries. Frontiers in Marine Science, 3, p.215.
Contributeurs
Auteurs principaux : Lynda Webster and Rob Fryer
Auteurs collaborateurs : Working Group for Monitoring and on Trends and Effects of Substances in the Marine Environment, Task Group for the development of the Hazardous Substances Thematic Assessment and Hazardous Substances and Eutrophication Committee.
Citation
Webster, L. et Fryer, R. 2022. État et Tendances des Teneurs en Hydrocarbures Aromatiques Polycycliques (HAP) dans les Mollusques et Crustacés et les Sédiments. OSPAR, 2023: Bilan de santé. Commission OSPAR, Londres. Disponible via le lien suivant : https://oap.ospar.org/fr/evaluations-ospar/bilan-de-sante/2023/evaluations-des-indicateurs/hap-mollusques-crustaces-sediments/
| Type d’évaluation | Évaluation d’Indicateur |
|---|---|
| Résumé des résultats | https://odims.ospar.org/en/submissions/ospar_pahs_biota_sediment_msfd_2022_06/ |
| Indicateur ODD | 14.1 D’ici à 2025, prévenir et réduire nettement la pollution marine de tous types, en particulier celle résultant des activités terrestres, y compris les déchets en mer et la pollution par les nutriments |
| Activité thématique | Substances Dangereuses et Eutrophisation |
| Documentation pertinente d’OSPAR | OSPAR Publication 2008-379 CEMP Assessment Manual: Co-ordinated Environmental Monitoring Programme Assessment Manual for contaminants in sediment and biota |
| Date de publication | 2022-06-30 |
| Conditions d’accès et d’utilisation | https://oap.ospar.org/fr/politique-de-donnees/ |
| Résultats des données | https://odims.ospar.org/en/submissions/ospar_pah_biota_sediment_results_2022_06/ |
| Instantané de données | https://doi.org/10.17895/ices.data.21229139 |
| Instantané de données | https://doi.org/10.17895/ices.data.18601820 |
| Source des données | https://dome.ices.dk/ohat/?assessmentperiod=2022 |


