État et Tendances des Teneurs en Métaux Lourds (Mercure, Cadmium et Plomb) dans les Poissons, les Mollusques et Crustacés et les Sédiments
Contexte
L’objectif stratégique d’OSPAR dans la Stratégie 2030 pour le milieu marin de l'Atlantique du Nord-Est (NEAES 2030) est de prévenir la pollution par les substances dangereuses, en éliminant leurs émissions, rejets et pertes afin d’atteindre des niveaux qui n’entraînent pas d’effets néfastes sur la santé humaine ou le milieu marin, dans le but ultime d’atteindre et de maintenir des concentrations dans le milieu marin qui sont proches des valeurs ambiantes pour les substances dangereuses présentes à l’état naturel et proches de zéro pour les substances dangereuses d’origine humaine. Les métaux traces sont des substances dangereuses omniprésentes dans l’environnement et se trouvent dans les sédiments, les mollusques et crustacés et les poissons dans toutes les Régions d'OSPAR. Les métaux les plus toxiques pour les humains et les animaux sont le mercure, le cadmium et le plomb, qui sont tous naturellement présents dans l’environnement et sont connus sous le nom de métaux traces ou « lourds ».
Le mercure, le cadmium et le plomb sont introduits dans le milieu marin par un certain nombre de processus naturels, agricoles et industriels, par transport atmosphérique à longue distance, par des apports fluviaux ou par ruissellement à partir des terres (voir l'évaluation de l'indicateur concernant les apports de métaux lourds ). Les apports directs de métaux utilisés comme produits chimiques antifouling (principalement le cuivre) et pour les anodes de corrosion (principalement le zinc) créent des points chauds pour les concentrations de métaux dans les ports et les installations maritimes et autour de ceux-ci, et le long des axes maritimes. Les anodes de zinc contiennent généralement aussi des traces de plomb et de cadmium.
Tous les métaux lourds ont une concentration ambiante naturelle dans l’eau, les sédiments et le biote. Les concentrations ambiantes dans les sédiments sont liées à la taille des grains des sédiments, les minéraux argileux ayant les concentrations de métaux les plus élevées. Un tamisage ou une normalisation des concentrations de métaux à 5 % d’aluminium élimine largement la différence due à la taille des grains pour les métaux (Kersten et Smedes, 2002 ; OSPAR, 2018), en permettant une comparaison dans le temps et entre les régions. Le mercure s’accumule dans la chaîne alimentaire, ce qui produit des concentrations de mercure plus élevées dans les poissons que dans les niveaux trophiques inférieurs, tels que les mollusques et crustacés. Cet effet est modélisé, et on ajuste le niveau de concentration dans les mollusques et crustacés aux niveaux dans les poissons avant d'utiliser les normes de qualité environnementale pour l’empoisonnement secondaire (Quality Standard secondary poisoning (QSsp)) de l’UE comme seuil d’évaluation.
L’objectif stratégique d’OSPAR est de prévenir la pollution de la zone maritime d'OSPAR par des substances dangereuses, en éliminant leurs émissions, rejets et pertes. Les métaux sont des substances dangereuses omniprésentes qui existent naturellement dans l’environnement, et que l'on trouve dans les sédiments, les mollusques et crustacés et les poissons dans toutes les Régions d'OSPAR. Les métaux les plus toxiques pour les humains et les animaux sont le mercure, le cadmium et le plomb, que l'on appelle des métaux lourds ou des métaux traces. Le terme « lourd », dans ce contexte, se rapporte à une limite de densité de 5 g/cm3 souvent utilisée en métallurgie, alors qu’en chimie environnementale, le terme est souvent utilisé pour désigner des éléments toxiques, sans rapport avec la densité, et comprend même l’arsenic, un métalloïde. Le terme « métal lourd » a été exploré par Duffus (2002), qui s'est aussi penché sur la question de savoir si/pourquoi ce terme n’a pas de sens.
Le mercure, le cadmium et le plomb sont émis par un certain nombre de procédés naturels, agricoles et industriels. Ils pénètrent dans le milieu marin par transport atmosphérique à longue distance, par des apports fluviaux ou par ruissellement à partir des terres (ces aspects sont traités dans l'évaluation de l'indicateur concernant les apports de métaux traces). Dans certains cas, il y a des apports directs. Par exemple, certains métaux utilisés comme produits chimiques antifouling (principalement le cuivre) et pour les anodes de corrosion (principalement le zinc) sont délibérément placés dans le milieu marin, lorsqu'ils sont utilisés sur des coques de navires ou dans des installations marines. Cela crée des points chauds pour les concentrations de métaux dans les ports et autour de ceux-ci.

Figure a : Chantier naval (Reykjavik). © Jakob Strand
Le mercure est capable de s’évaporer et d’être transporté sous forme de gaz dans l’air ; d’autres métaux traces sont transportés principalement sous forme de particules fines ou liés à d’autres particules. Les métaux traces peuvent être piégés à des niveaux plus profonds dans les sédiments, jusqu’à ce que des activités minières ou des processus géologiques ou biologiques les libèrent ; ils peuvent alors avoir un impact sur le biote. Les concentrations ambiantes dans les sédiments varient d’une région à l’autre en fonction des lithologies locales.
Le mercure s’accumule dans la chaîne alimentaire et il est considéré comme le plus toxique des trois métaux traces. On le trouve à des concentrations extrêmement élevées chez les mammifères marins dans les eaux arctiques ; ces niveaux s'expliquent par une chaîne alimentaire longue et un transport à longue distance du mercure. On estime que les apports anthropiques de mercure dans l’atmosphère sont 7 à 10 fois plus élevés que les niveaux atmosphériques naturels (Krabbenhoft et Sunderland, 2013). Le cadmium s’accumule dans les niveaux trophiques inférieurs et peut-être dans les chaînes alimentaires benthiques, mais il est soumis à une biodilution dans les chaînes alimentaires pélagiques (Signa et al., 2017). En général, le plomb ne s'accumule pas dans la chaîne alimentaire marine (fiche de données NQE sur le plomb, 2005). Cependant, durant la période d’utilisation maximale des carburants au plomb, dans les années 1970, le niveau atmosphérique était 100 fois plus élevé que le niveau ambiant. Même après l’interdiction des carburants au plomb, les niveaux dans l’atmosphère restent 5 fois supérieurs aux niveaux ambiants que l'on pourrait s'attendre à trouver.
En général, les concentrations dans les sédiments indiquent les changements à long terme (sur plusieurs années), tandis que les concentrations dans les tissus mous des poissons et des mollusques et crustacés indiquent une exposition récente (de quelques jours à plusieurs mois) à des métaux provenant de l'eau environnante et des proies.
Des concentrations élevées de métaux traces peuvent avoir les effets suivants sur les humains : diminution de la capacité d’apprentissage (plomb et mercure) ; diminution de la solidité des os (cadmium) ; et dommages au système nerveux central (mercure). Ces effets ont conduit à des restrictions visant la plupart des utilisations du cadmium et du plomb, et à des interdictions rigoureuses de l’utilisation du mercure.
Dans le passé, le mercure a été utilisé en médecine comme agent antibactérien et comme anode liquide pour l'électrolyse dans l’industrie papetière. Il a également été utilisé dans les amalgames dentaires, les thermomètres, et dans d'autres instruments scientifiques. Les principales sources de mercure aujourd’hui sont la combustion du charbon et l’exploitation minière artisanale du mercure (Streets et al., 2017).
La Convention de Minamata est un traité mondial qui a pour but de protéger la santé humaine et l’environnement contre les effets néfastes du mercure (https://minamataconvention.org/en). Elle a été adoptée en 2013 et est entrée en vigueur le 16 août 2017 ; 128 parties avaient ratifié la Convention en 2021. L’un des principaux objectifs de la Convention est de mettre fin à l’extraction primaire du mercure d’ici à 2032.
La volatilité et les propriétés de transport à longue distance du mercure le rendent particulièrement sensible au changement climatique et aux effets du climat. Des températures plus élevées accélèrent l’oxydation du mercure dans l’atmosphère, en modifiant les caractéristiques des retombées ; des incendies de forêt plus nombreux font augmenter la libération du mercure à partir des sols terrestres, et d'une manière générale, l’augmentation des précipitations peut entraîner une élévation des retombées. Un plus fort appauvrissement en oxygène peut entraîner une production plus élevée de méthylmercure dans les sédiments anoxiques, et sa libération dans la colonne d’eau. Des températures plus élevées peuvent aussi faire augmenter la vitesse d’absorption dans les réseaux trophiques, et des régions arctiques dépourvues de glace peuvent modifier les réseaux trophiques, en produisant des concentrations plus élevées de mercure dans les régions arctiques (Krabbenhoft et Sunderland, 2013 ; AMAP, 2021).
Le cadmium est aujourd’hui utilisé dans les batteries et dans les composants électroniques, et il a été utilisé auparavant dans certaines peintures rouges et dans des matières plastiques. Il est présent dans des minéraux extraits pour le zinc, le cuivre et le plomb, et c'est un constituant mineur de tous les produits de ces métaux traces. Le cadmium peut être absorbé par les plantes à partir du sol. Ce processus lui permet de se concentrer dans les plantes, en particulier dans les feuilles de tabac, le tournesol et les graines de lin.
Le mercure et le cadmium sont soupçonnés d’être cancérigènes (Baines et al,, 2021 ; Liu et al, 2009).
Dans l’empire romain, le plomb était utilisé pour les canalisations d'eau, comme édulcorant dans le vin (acétate de plomb) et comme colorant dans des crèmes pour la peau. En 1921, des ingénieurs automobiles ont introduit du plomb comme lubrifiant moteur pour éviter les effets de cognement ; cette utilisation est devenue la principale source de pollution par le plomb dans l’air, l’eau et les sédiments au cours des années 1970, jusqu’à ce qu’il soit interdit dans différents pays au cours des années 1990 (Larsen et al., 2012). Les pays africains ont mis plus de temps à cesser de l’utiliser et, en 2021, l’Algérie a été le dernier pays à interdire la vente de carburants au plomb, 100 ans après son introduction initiale (ONU, 2021). Le plomb a également été utilisé comme assouplissant dans les tuyauteries en PVC, dans les fils métalliques, dans les alliages métalliques, dans le cristal et dans de nombreuses autres applications industrielles, et il est toujours utilisé dans les batteries automobiles.

Figure b : Les cheminées de la centrale électrique danoise « Amagerværket » à l’arrière-plan des bains de mer de Kastrup. Cette ancienne centrale électrique au charbon de 1971 a été modifiée en 2020 pour fonctionner avec des granulés de bois, la principale source d’énergie renouvelable, le gaz et le charbon étant utilisés comme solution de secours. La centrale fournit 650 MJ/s de chaleur et 218 MW d’électricité aux ménages de la région de Copenhague, et sa production est complétée par l'énergie provenant d'éoliennes.
Les métaux traces ne disparaissent pas avec le temps et peuvent être piégés à des niveaux plus profonds dans les sédiments, jusqu’à ce que des activités minières ou des processus géologiques ou biologiques les libèrent ; ils peuvent alors avoir un impact sur le biote. Des teneurs naturelles en métaux traces sont présentes partout dans les eaux, les sédiments, les mollusques et crustacés et les poissons. Ce sont les teneurs ambiantes, ou concentrations ambiantes. Pour déterminer si les niveaux sont proches de ces concentrations ambiantes, des Teneurs ambiantes d'évaluation (Background Assessment Concentrations (BAC)) ont été élaborées en prenant en compte les concentrations provenant de régions éloignées, considérées comme dépourvues d’apports anthropiques (sauf ceux qui proviennent d'un transport à longue distance). OSPAR utilise comme cible environnementale les normes de qualité environnementale pour l’empoisonnement secondaire (QSsp) qui ont été fixées pour le mercure par la Commission européenne (Directive 2013/39/UE). Pour le moment, il n'existe pas de QSsp pour les autres métaux. Pour la santé humaine, la concentration maximale admissible (CMA) de métaux traces dans les aliments, et donc dans les poissons et les mollusques et crustacés, est fixée par la Commission européenne (CE, 2006).
En raison du potentiel de bioaccumulation du mercure, les concentrations de mercure varient considérablement entre les différents niveaux trophiques. Un modèle statistique permettant d'ajuster les niveaux des concentrations dans les mollusques et crustacés aux niveaux dans les poissons a donc été élaboré à partir des données de surveillance (c.-à-d. qu'on tient compte implicitement du niveau trophique en utilisant un modèle statistique). Avant cette transformation, les concentrations dans les mollusques et crustacés et dans les poissons étaient clairement distinctes dans les régions, par contre les différences entre les espèces de poissons étaient moins marquées.
En ce qui concerne les sédiments, les métaux sont un élément naturel de différents minéraux. On trouve des concentrations plus élevées dans les sédiments argileux fins que dans le sable, et le niveau ambiant naturel dépend donc de la taille des grains des sédiments. Pour tenir compte de cet aspect, les valeurs sont normalisées (Loring, 1991 ; Kersten et Smedes, 2002 ; OSPAR, 2018) à la concentration d'aluminium ou de lithium des échantillons de sédiments. Pour l’évaluation réalisée par OSPAR dans le cadre du QSR 2023, on obtient des sédiments « normaux » en recalculant des valeurs normalisées, rapportées à un sédiment virtuel contenant 5 % d’aluminium, pour toutes les zones, à l’exception des sous-régions situées le plus au sud, les sous-régions Mer ibérique et Golfe de Cadix, où les sédiments sont généralement plus grossiers et ne sont pas liés aux processus glaciaires à l'origine des minéraux argileux.
1 OSPAR utilise les lignes directrices de l'Agence d'observation océanique et atmosphérique (National Oceanic and Atmospheric Administration) des États-Unis pour évaluer l’importance sur le plan écologique des concentrations de contaminants dans les sédiments (valeurs Effects range low (ERL)) utilisées comme approximation des Critères d'évaluation environnementale (Environmental Assessment Criteria (EAC)).
Lors de l’évaluation des métaux traces, des aspects « relatifs » ainsi que des aspects « absolus » ont été pris en compte :
- l'« évaluation des tendances », ou évaluation de la distribution spatiale, concernant essentiellement les différences et changements relatifs sur des échelles spatiales et temporelles, apporte des informations sur les vitesses de changement, et indique si la contamination est largement répandue ou si elle se limite à des emplacements spécifiques ; et
- l'« évaluation de l'état », concernant l'importance de la (du risque de) pollution (l'état dans lequel les métaux traces sont présents à un niveau dangereux), nécessite habituellement des critères d'évaluation qui tiennent compte de la sévérité possible des impacts, et par conséquent nécessite des critères qui tiennent compte des conditions naturelles (concentrations ambiantes) et de l'écotoxicologie des métaux traces. Il existe une seule norme de qualité environnementale (NQE) pour le mercure dans les poissons ; aucune NQE n'est disponible pour d’autres métaux dans le biote. Auparavant, OSPAR a utilisé les concentrations maximales admissibles de métaux traces dans les produits de la mer (poissons et mollusques et crustacés) fixées par la Commission européenne (CE) comme critères d’évaluation environnementale (EAC) indirects ; cependant, dans la présente évaluation, ces concentrations sont utilisées comme seuils uniquement pour la santé humaine.
OSPAR a précisé que lors de l'évaluation des données du Programme coordonné de surveillance de l'environnement (CEMP), la valeur d'évaluation primaire utilisée dans l'évaluation des concentrations de métaux traces dans les sédiments et le biote « correspond à la réalisation, ou à la non-réalisation, de cibles statutaires ou d'objectifs de politiques pour des contaminants dans ces matrices » (OSPAR, 2009). Cette série de critères d'évaluation a été compilée spécialement pour l'évaluation des données de surveillance du CEMP concernant les substances dangereuses qui ont été utilisées pour le Bilan de santé (QSR) 2010. L'utilisation de cette série a été considérée comme une solution intérimaire aux fins du QSR 2010, jusqu'à ce que des approches convenant mieux pour la définition de critères d'évaluation puissent être agréées et mises en œuvre. Ces critères sont aussi utilisés dans les évaluations annuelles dans le cadre du CEMP depuis 2010.
Pour le QSR 2023, les tendances des concentrations de métaux traces dans le biote sont présentées. Deux critères d’évaluation sont utilisés pour évaluer l’état des concentrations de métaux traces dans le biote : Pour les concentrations ambiantes, les Teneurs ambiantes d'évaluation (BAC) ont été utilisées pour tous les métaux ; pour les seuils environnementaux, seul le mercure a été évalué, et on a pour cela utilisé la norme de qualité environnementale de la Directive-cadre sur l’eau pour l’empoisonnement secondaire (QSsp) au mercure chez les poissons.
Malheureusement, aucune valeur de ce type n’est actuellement disponible pour d’autres métaux traces. Deux seuils qui peuvent aussi être utilisés pour les mammifères marins et les oiseaux ont été élaborés par le Programme de surveillance et d’évaluation de l’Arctique (AMAP) (Dietz et al., 2021) pour le mercure. Ces critères ont été utilisés pour des séries chronologiques individuelles, mais ils n’ont pas été inclus dans les évaluation de l'état à l'échelle régionale qui sont présentées ici, car des travaux supplémentaires sont nécessaires pour étudier leur comparabilité avec la BAC et avec la norme QSsp. L’évaluation des risques pour la santé humaine est fondée sur des seuils fixés par la Commission européenne, les Concentrations maximales admissibles (CMA) pour les poissons et les produits de la mer (CE, 2006) ; ces seuils sont disponibles pour les trois métaux et pour des espèces individuelles de poissons et de mollusques et crustacés. Les données sur les mammifères et les oiseaux marins sont présentées lorsqu’elles sont disponibles (principalement pour la Région Eaux arctiques), mais elles ne sont pas incluses dans l’évaluation de l'état dans le cadre du QSR 2023. Les valeurs utilisées pour l'évaluation des indicateurs dans le cadre du QSR 2023 d'OSPAR ne doivent pas être considérées comme équivalentes aux valeurs seuils pour les critères que propose la Directive cadre Stratégie pour le milieu marin (DCSMM) de l’Union européenne. Toutefois, elles peuvent être utilisées par les Parties contractantes qui le souhaitent pour remplir leurs obligations aux termes de la DCSMM.
Origine et limitations des BAC
Les Teneurs ambiantes d'évaluation (Background assessment concentrations (BAC)) ont été élaborées par OSPAR pour déterminer si des concentrations mesurées sont proches du niveau ambiant pour les substances naturelles, et proches de zéro pour les substances de synthèse, ce qui est le but final de la Stratégie Substances dangereuses d'OSPAR pour la période de 2010 à 2020. Des concentrations moyennes significativement inférieures aux BAC sont dites « proches du niveau ambiant » (concentrations naturelles).
Les concentrations ambiantes (Background Concentrations (BC)), ou teneurs ambiantes, représentent les concentrations de substances dangereuses que l'on s'attendrait à rencontrer dans l’Atlantique du Nord-Est si certaines opérations industrielles n’avaient pas eu lieu. Elles représentent les concentrations de ces substances dans des sites « distants » ou dans des conditions correspondant à des sites « vierges », établies respectivement à partir de données contemporaines ou de données historiques, en l’absence de minéralisation et/ou d’influences océanographiques significatives. Pour les sédiments, des carottes de sédiments datées ont également été utilisées pour établir les niveaux préindustriels. Elles correspondent ainsi aux valeurs ambiantes mentionnées dans la Stratégie Substances dangereuses d'OSPAR pour la période de 2010 à 2020. On reconnaît que des processus naturels, tels que la variabilité géologique ou la résurgence des eaux océaniques près des côtes, peuvent entraîner des variations importantes des concentrations ambiantes des contaminants, par exemple les métaux traces. On devra tenir compte de la variabilité naturelle des concentrations ambiantes lors de l’interprétation des données du CEMP, et les conditions locales devront être prises en compte lors de l’évaluation de la signification de tout dépassement.
Les basses concentrations (Low Concentrations (LC)), ou faibles teneurs, sont des valeurs utilisées pour permettre de dériver des BAC, lorsqu’il est difficile de constituer un ensemble de données sur les concentrations dans des zones distantes ou correspondant à des sites « vierges » à partir desquelles dériver des concentrations ambiantes (BC). Les LC ont été préparées à partir d'ensembles de données provenant de zones qui pourraient généralement être considérées comme distantes, mais où l'on ne peut pas garantir l’absence d’influence du transport atmosphérique à longue distance des contaminants.
Les BAC sont calculées selon la méthode présentée dans la Section 4 du Manuel d’évaluation du CEMP (OSPAR, 2008) et elles ont été mises à jour au sein d'OSPAR (MIME 2020, 2021). Il en résulte que, d'après ce que l'on sait sur la variabilité des observations, il existe une probabilité de 90 % pour que la concentration moyenne observée soit inférieure à la BAC lorsque la concentration moyenne réelle est égale à la BC. Lorsque c’est le cas, les concentrations réelles peuvent être considérées comme « proches des concentrations ambiantes » pour des substances naturelles telles que les métaux traces.
Les BAC sont calculées en fonction de la variabilité dans l'ensemble de données du CEMP disponible actuellement via les bases de données détenues par le Centre de données du Conseil international pour l’exploration de la mer (CIEM), et seront affinées par le groupe de travail compétent sur les évaluations, au fur et à mesure que de nouvelles données issues de la surveillance dans le cadre du CEMP seront collectées.
Origine et limitations des teneurs maximales fixées par la CE pour les poissons et les produits de la mer
Pour évaluer l’effet des métaux sur la santé humaine, on a utilisé les Concentrations maximales admissibles (CMA) dans le poisson et les produits de la mer fixées par la Commission européenne (CE, 2006). Les CMA de la CE sont appliquées dans le cadre du contrôle des denrées alimentaires par les États membres de l’Union européenne, dans le but de protéger la santé publique en excluant du marché les aliments les plus contaminés. Les limites sont fixées sur la base du régime alimentaire du consommateur européen « moyen », et devraient, selon le règlement 1881/2006, être fixées « de façon stricte à un niveau pouvant raisonnablement être atteint grâce au respect des bonnes pratiques dans le domaine de la fabrication, de l’agriculture et de la pêche, compte tenu du risque lié à la consommation des aliments ». Les CMA de la CE pourront donc être réexaminées en cas d’amélioration des pratiques (c.-à-d. de diminution des niveaux de contaminants environnementaux). Si les teneurs maximales fixées par la CE pour les aliments, dans ce cas les poissons et les mollusques et crustacés, sont dépassées, la prise ne doit pas être mise sur le marché.
Les teneurs maximales fixées par la CE pour le plomb, le mercure et le cadmium dans les muscles des poissons et les mollusques et crustacés ont déjà été utilisées comme alternatives aux Critères d'évaluation environnementale (EAC) pour les métaux traces, aussi bien chez les espèces de poissons que chez les espèces de mollusques et crustacés, pour le QSR 2010 et pour l’Évaluation intermédiaire de 2017. Ces valeurs sont fermement établies par la législation de la CE, cependant elles ont pour inconvénient que les normes visant le cadmium et le plomb n'ont pas été directement conçues pour toutes les combinaisons matrice/contaminant requises pour l'évaluation. On reconnaît, d'une manière générale, que l'utilisation de normes alimentaires pour évaluer le risque environnemental n'est pas entièrement satisfaisante, et que ces valeurs ainsi que leur utilisation pour tirer des conclusions sur l'évaluation de l'indicateur commun concernant les métaux traces dans le biote devraient être traitées avec circonspection. Malheureusement, il n'existe qu'un seul seuil environnemental (QSsp) pour le mercure dans les poissons entiers.
Origine et limitations des seuils QSsp
La Directive-cadre sur l’eau de l’UE a proposé une méthode pour établir des normes de qualité dans l’UE (2011), et son interprétation pour évaluer la surveillance dans l’UE (2014). Pour le mercure, la dérivation de la QSsp a fait l'objet de discussions approfondies au sein d'OSPAR (2016), et la mise en œuvre de l’approche de l’UE (2011) comporte de grandes incertitudes lorsqu'on cherche à définir la bioconcentration trophique, car elle est différente pour le méthylmercure et pour le mercure inorganique, or la QSsp est dérivée principalement du méthylmercure, mais appliquée au mercure total. La QSsp a également été appliquée aux moules, en utilisant un modèle statistique pour transformer les niveaux des concentrations rencontrées dans les moules en niveaux dans les poissons, en tenant implicitement compte des différences entre les niveaux trophiques.
Origine et limitations des seuils NRC et LRC de l’AMAP pour les mammifères et les oiseaux marins
Les NQE de la CE et les EAC d'OSPAR ont été établis pour assurer la protection des prédateurs supérieurs ; cependant, comme les mammifères marins et les oiseaux sont les prédateurs supérieurs, il n’est pas logique d’utiliser pour eux les seuils concernant les poissons ou les mollusques et crustacés. Au lieu de cela, une série de teneurs fondées sur les risques a été établie en vue de son utilisation dans le Programme de surveillance et d’évaluation de l’Arctique. La Concentration sans risque (No Risk Concentration (NRC)) ne se traduit pas directement en « BAC » pour les mammifères marins et les oiseaux, et une Concentration à faible risque (Low-Risk Concentration (LRC)), en dessous de laquelle il est peu probable que les espèces subissent des effets néfastes, pourrait être considérée comme le seuil supérieur de bon état écologique, cependant le lien avec les NQE pour le mercure (QSsp) doit être établi avant l'utilisation.
Les données sur les mammifères et les oiseaux ne sont donc pas incluses dans l’évaluation de l'état, elles figurent seulement dans l’évaluation des tendances temporelles. La dérivation du sang d’oiseau est présentée dans Ackerman et al.. (2016), pour d’autres organes d’oiseaux et mammifères marins. Dietz et al. (2021) ont récapitulé la dérivation des limites NRC et LRC dans les poils de mammifères marins, le foie de mammifères marins et d’oiseaux, les plumes d’oiseaux et les œufs d’oiseaux. Les résultats concernant les mammifères marins ne sont disponibles que pour la Région I (Eaux arctiques), tandis que les données concernant les oiseaux sont disponibles pour la Région I ainsi que pour la Région II, mais uniquement pour deux stations dans la Région II.
Origine et limitations des ERL
OSPAR n’a pas encore établi d'EAC pour les métaux traces dans les sédiments, et il n’existe pas de valeurs NQE de la CE offrant une équivalence robuste pour les sédiments. Pour certaines substances, une norme de qualité intérimaire pour les sédiments, QSsediment, a été suggérée, mais dans la plupart des cas, le recalcul de l’eau aux sédiments est jugé trop incertain pour en faire une norme officielle. On a donc utilisé une méthode d’évaluation indirecte. Des valeurs de gammes de concentrations associées aux effets (Effects range) ont été définies par l'Agence d'observation océanique et atmosphérique (National Oceanic and Atmospheric Administration) des États-Unis (NOAA, 1999) pour évaluer l’importance sur le plan écologique des concentrations de contaminants dans les sédiments, afin d'assurer une protection contre le risque d'effets biologiques néfastes sur les organismes. Les concentrations inférieures au niveau ERL (Effects range low) entraînent rarement des effets nocifs chez les organismes marins.
La valeur ERL est définie comme le dixième centile inférieur de l’ensemble de données sur les concentrations dans les sédiments qui ont été associées à des effets biologiques. On observe rarement des effets nocifs sur les organismes lorsque les concentrations descendent en dessous de la valeur ERL, et l’ERL présente donc certaines similitudes avec les principes sur lesquels reposent les EAC d’OSPAR et les normes de qualité environnementale (NQE) de la Directive-cadre sur l’eau de l’Union européenne. La procédure utilisée pour dériver les critères ERL est très différente des méthodes utilisées pour dériver les EAC et les NQE ; il ne faut donc pas s’attendre à une équivalence précise entre ces deux séries de critères. Les valeurs ERL sont utilisées dans les évaluations des concentrations de métaux traces dans les sédiments, à titre de solution intérimaire, lorsque les EAC recommandés ne sont pas disponibles.
Méthode d’évaluation
Pour chaque métal trace dans chaque site de surveillance, on a évalué la série chronologique de mesures de concentration pour déterminer les tendances et l’état à l’aide des méthodes décrites dans l’outil d’évaluation en ligne des contaminants (https://dome.ices.dk/ohat/?assessmentperiod=2022). On a ensuite fait la synthèse des résultats de ces séries chronologiques individuelles à l’échelle des zones d’évaluation dans une série de méta-analyses.
Pour les évaluations des tendances, on a pris en compte les sites de surveillance représentatifs des conditions générales ou de référence, et on a exclu les sites de surveillance impactés par une source ponctuelle. L’analyse a également été limitée aux zones d’évaluation comptant au moins trois sites de surveillance pour lesquels des informations sur les tendances étaient disponibles, ces sites de surveillance devant aussi avoir une étendue géographique raisonnable.
La tendance pour les concentrations de chaque métal dans chaque site de surveillance a été résumée en calculant le changement annuel estimé de la concentration logarithmique, avec l’erreur-type correspondante. On a ensuite modélisé le changement annuel de la concentration logarithmique en utilisant un modèle mixte linéaire à effets fixes :
~ métal trace/zone d’évaluation des contaminants d'OSPAR
et les effets aléatoires :
~ site de surveillance + métal/site de surveillance [biote uniquement] + variation résiduelle
Le choix des effets fixes et des effets aléatoires a été motivé par l’hypothèse selon laquelle les métaux traces pourraient avoir des tendances très différentes, car ils proviennent de différentes sources et sont métabolisés différemment. Ainsi, les effets fixes mesurent la tendance des concentrations de chaque métal trace dans chaque zone d’évaluation des contaminants d'OSPAR, et les effets aléatoires mesurent la variation des tendances :
- entre des sites de surveillance, concernant tous les métaux traces (site de surveillance) ;
- entre des métaux, mais concernant tous les tissus et toutes les espèces dans les sites de surveillance (métal/site de surveillance) ; et
- la variation résiduelle.
La variation résiduelle est constituée de deux termes : la variation associée à l’estimation de la tendance à partir des séries chronologiques individuelles, dont on suppose qu'elle est connue (et indiquée par le carré de l’erreur-type) ; et un terme qui représente toute variation résiduelle supplémentaire non expliquée par les autres effets fixes et aléatoires.
Les données établissant les tendances des concentrations de métaux traces à l’échelle des zones d’évaluation ont ensuite été évaluées en traçant les effets fixes estimés avec des intervalles de confiance ponctuels à 95 %.
On a utilisé des analyses similaires pour étudier l’état à l’échelle des zones d’évaluation. Deux mesures récapitulatives ont été examinées, à savoir : le rapport logarithmique entre la concentration ajustée au cours de la dernière année de surveillance et la QSsp ; et le rapport logarithmique entre la concentration ajustée au cours de la dernière année de surveillance et la BAC. Les sites de surveillance impactés ont également été inclus dans ces analyses. Dans les analyses pour lesquelles la norme QSsp a été utilisée, on a également inclus un terme permettant d'estimer la différence entre les concentrations dans les poissons et les concentrations dans les mollusques et crustacés et de faire des ajustements en fonction de cette différence.
Des BAC ont été élaborées pour les concentrations de métaux traces dans les moules, les huîtres et les poissons. Une norme de qualité environnementale de la CE a été élaborée pour les poissons entiers ; elle est de 20 μg/kg ph pour le mercure, une valeur inférieure à la BAC établie pour le mercure, soit 35 μg/kg ph dans les poissons, mais pas pour les mollusques et crustacés (~18 μg/kg ph) ; par conséquent, pour les poissons, les BAC ne sont pas utilisées et la QSsp est utilisée directement.
Les teneurs correspondant aux BAC et aux valeurs fixées par la CE ne sont disponibles que pour trois métaux traces : le cadmium, le mercure et le plomb (Tableau a).
Tableau a : Critères d’évaluation utilisés pour les métaux traces dans les sédiments, les poissons et les mollusques et crustacés : Les BAC sont les Teneurs ambiantes d'évaluation (Background assessment concentrations) élaborées par OSPAR. Les QSsp sont des normes de qualité environnementale pour l’empoisonnement secondaire qui ont été élaborées en vertu de la Directive cadre sur l'eau. Les CMA (Concentrations maximales admissibles) sont les teneurs maximales dans les poissons et les produits de la mer qui ont été fixées par la Commission européenne ; ERL, Effects Range Low (O’Conner, 2004) ; ps = poids sec, ph = poids humide.
| Sédiments (Al = Aluminium) | Biote | |||||||||||
|---|---|---|---|---|---|---|---|---|---|---|---|---|
| Symbole | BAC (5% Al) | BAC | ERL | BAC | QSsp | CMA | ||||||
| Toutes les sous-régions, sauf Mer ibérique et Golfe de Cadix | Mer ibérique et Golfe de Cadix | Toutes les sous-régions | Moules | Huîtres | Poissons | Poissons entiers | Muscles des poissons | Bivalves | Crustacés | |||
| mg/kg ps | μg/kg ps | μg/kg ph | ||||||||||
| Cadmium | Cd | 0,31 | 0,129 | 1,2 | 960 | 3 000 | 26 | 50 | 1 000 | 500 | ||
| Mercure | Hg | 0,07 | 0,091 | 0,15 | 90 | 180 | 35 | 20 | 500 | 500 | 500 | |
| Plomb | Pb | 38 | 22,4 | 47 | 1 300 | 1 300 | 26 | 300 | 1 500 | 500 | ||
Notes pour le Tableau a :
- La BAC pour les sédiments est normalisée à 5 % d’aluminium, sauf pour les sous-régions Mer ibérique et Golfe de Cadix.
- Les valeurs ERL ne sont pas normalisées, elles sont jugées valables pour une concentration de 5 % d’aluminium.
- Les BAC pour les moules et les huîtres sont exprimées en μg/kg ps (poids sec) et les BAC pour les poissons, les QSsp et les CMA sont exprimées en μg/kg ph (poids humide) ; la BAC du cadmium pour les poissons n’est appliquée que lorsque la teneur en lipides est > 3 %, et comme la BAC du mercure pour les poissons était supérieure à la QSsp, elle n'a pas été utilisée.
- Les BAC et les teneurs fixées par la CE sont converties en d’autres bases (poids humide, poids sec ou poids de lipides) à l’aide de facteurs de conversion spécifiques aux espèces.
Tableau b : Nombre de sites de surveillance utilisés dans chaque zone d’évaluation pour l’évaluation de l'état et des tendances à l'échelle régionale
| Région d'OSPAR | Sous-région d'OSPAR | Sédiments | Poissons et mollusques et crustacés | ||
| Tendances | État | Tendances | État | ||
| Eaux arctiques | Mer de Barents | - | - | 7 | 11 |
| Est de l’Islande | - | - | 2* | 0* | |
| Dorsale Groenland-Écosse | - | - | 14 | 11 | |
| Mer de Norvège | - | - | 5 | 6 | |
| Mer du Nord au sens large | Manche | 3 | 41 | 28 | 32 |
| Mer du Nord septentrionale | 13 | 15 | 29 | 33 | |
| Fosse norvégienne | - | - | 11 | 16 | |
| Skagerrak et Kattegat | - | - | 19 | 39 | |
| Mer du Nord méridionale | 64 | 71 | 43 | 48 | |
| Mers celtiques | Mer celtique | 2* | 3 | 28 | 34 |
| Côtes ouest de l’Irlande et de l’Écosse | 6 | 6 | 28 | 28 | |
| Mer d’Irlande | 13 | 16 | 41 | 49 | |
| Golfe de Gascogne et côte ibérique | Golfe de Cadix | - | - | 2* | 3 |
| Mer ibérique | 2* | 36 | 32 | 33 | |
| Golfe de Gascogne septentrional | - | - | 37 | 44 | |
Différences entre les méthodologies utilisées pour le QSR 2023 et pour l’Évaluation intermédiaire de 2017 (IA 2017)
Pour le QSR 2023, une méta-analyse est utilisée pour faire la synthèse des résultats des séries chronologiques individuelles et fournir une évaluation de l’état et des tendances temporelles au niveau des zones d’évaluation. Les méta-analyses tiennent compte à la fois de l’estimation de l'état ou de la tendance temporelle dans chaque série chronologique et de l’incertitude de cette estimation. Cette méthode a également été utilisée pour l’IA 2017.
Les seuils d’évaluation utilisés pour les poissons et pour les mollusques et crustacés dans l’IA 2017 figurent en tant que seuils de « santé humaine » dans le QSR 2023, et les seuils environnementaux pour le mercure n’ont pas été utilisés auparavant, que ce soit pour les poissons et pour les mollusques et crustacés ou pour les mammifères et les oiseaux. Il n’y avait pas de seuils environnementaux pour d'autres métaux que le mercure, tandis que les Teneurs ambiantes d'évaluation étaient disponibles pour d’autres métaux, mais pas pour le mercure dans les poissons, car ces valeurs étant supérieures à la QSsp pour les poissons, elles ont été exclues des critères d’évaluation.
Résultats
Les concentrations des métaux ont été mesurées dans les poissons, les mollusques et crustacés et les sédiments ; les prélèvement ont eu lieu entre 1979 et 2020, dans des sites de surveillance mis en place pour les poissons et les mollusques et crustacés dans les Régions Eaux arctiques, Mer du Nord au sens large, Mers celtiques et Golfe de Gascogne et côte ibérique ; des données supplémentaires concernant les mammifères et les oiseaux marins étaient disponibles dans la Région Eaux arctiques, et des données concernant certains oiseaux étaient disponibles dans la Région Mer du Nord au sens large (Figure 1). Les sédiments ont été moins largement échantillonnés, l’effort de surveillance ayant porté essentiellement sur la Région Mer du Nord au sens large, suivie des Régions Mers celtiques et Golfe de Gascogne et côte ibérique (Figure 2). Tous les échantillons de mollusques et de crustacés provenaient de stations côtières, tandis que certains sites mis en place pour les poissons et les sédiments dans le centre de la mer du Nord ont été inclus. La fréquence d’échantillonnage allait de tous les ans à tous les cinq ans.
Figure 1 : Sites de surveillance utilisés pour évaluer les concentrations de métaux dans les poissons et les mollusques et crustacés ; les Régions d'OSPAR sont représentées par des lignes épaisses, et les sous-régions sont représentées par des lignes fines. Les points violets représentent les stations pour lesquelles il existe des informations sur les tendances temporelles, et les points bleus indiquent que seulement des évaluations d'état sont disponibles. Disponible ici : ODIMS.
Figure 2 : Sites de surveillance utilisés pour évaluer les concentrations de métaux dans les sédiments ; les Régions d'OSPAR sont représentées par des lignes épaisses, et les sous-régions sont représentées par des lignes fines. Les points violets représentent les stations pour lesquelles il existe des informations sur les tendances temporelles, et les points bleus indiquent que seulement des évaluations d'état sont disponibles. Disponible ici : ODIMS.
Seules les zones comptant au moins trois sites de surveillance et ayant une étendue géographique raisonnable ont été incluses dans l’évaluation de l’état et des tendances temporelles, ce qui a réduit le nombre de sous-régions disponibles à 14 sur 15 pour les poissons et les mollusques et crustacés, et à 7 pour les sédiments. Les données sur les poissons et les mollusques et crustacés ont été combinées afin de produire une teneur normalisée rapportée aux poissons pour la comparaison du mercure avec la QSsp.
Les concentrations de cadmium et de plomb dans les poissons et les mollusques et crustacés se sont avérées statistiquement significativement inférieures à la concentration ambiante dans la sous-région Côtes ouest de l’Irlande et de l’Écosse et dans les Régions Mers celtiques et Golfe de Gascogne et côte ibérique ; la concentration de plomb a été inférieure à la concentration ambiante dans les sous-régions Côtes ouest de l’Irlande et de l’Écosse, Dorsale Groenland-Écosse et Mer de Norvège (Figure 4).
Un seuil environnemental a été défini seulement pour le mercure dans les poissons, les mammifères marins et les oiseaux. Seule la QSsp pour les poissons a été utilisée pour l’évaluation de l'état à l'échelle régionale. Aucune région n’a produit des résultats significativement inférieurs à ces seuils. Pour les concentrations dans les sédiments, toutes les sous-régions ont produit des résultats statistiquement significativement inférieurs à l'ERL pour le cadmium, tandis que pour le mercure et le plomb, seules les sous-régions Mer du Nord septentrionale, Côtes ouest de l’Irlande et de l’Écosse et Mer ibérique ont produit des résultats inférieurs à l'ERL ; les valeurs ont été supérieures à l'ERL dans toutes les autres sous-régions.
En conséquence, dans les sous-régions Manche et Mer du Nord méridionale, on ne peut écarter la possibilité d'effets biologiques néfastes des métaux traces sur les organismes marins, mais les effets diminuent au fur et à mesure que l'on se rapproche des zones les plus distantes dans la zone maritime d'OSPAR.

Figure 3 : Concentration moyenne de mercure dans les poissons et les mollusques et crustacés comparativement à la valeur pour l’empoisonnement secondaire, QSsp. Les points bleus représentent des niveaux inférieurs à la concentration ambiante, les points verts représentent des niveaux inférieurs aux critères environnementaux, et les points rouges représentent des niveaux supérieurs aux critères environnementaux.

Figure 5 : Concentration moyenne de cadmium, de plomb et de mercure dans les sédiments comparativement à l'ERL. Les points bleus représentent des niveaux inférieurs à la concentration ambiante, les points verts représentent des niveaux inférieurs aux critères environnementaux, et les points rouges représentent des niveaux supérieurs aux critères environnementaux.

Figure 4 : Concentration moyenne de cadmium, de plomb et de mercure dans les poissons et les mollusques et crustacés comparativement à la BAC. Les points bleus représentent des niveaux inférieurs à la concentration ambiante, les points verts représentent des niveaux inférieurs aux critères environnementaux, et les points rouges représentent des niveaux supérieurs aux critères environnementaux.
Les tendances temporelles des concentrations de métaux dans les poissons, les mollusques et crustacés et les sédiments ont été modélisées entre les premières dates de surveillance (1979 ou plus tard) et 2020, et le changement dans la concentration a été calculé comme le changement annuel entre la concentration modélisée en 2000 (ou plus tard si la surveillance dans la région a commencé après 2000) et la concentration en 2020, si plus de 5 années de données étaient disponibles. Les mammifères et les oiseaux présents seulement dans l’Arctique n’ont pas été inclus dans cette évaluation.
Pour les concentrations de mercure dans les poissons et les mollusques et crustacés, on n'a observé de tendance à la baisse dans aucune sous-région, et pour les sous-régions Mer du Nord méridionale, Manche et Golfe de Gascogne septentrional, on a observé des tendances à la hausse, avec un changement annuel de 2 à 4 % par an (Figure 6) ; par contre, pour les sédiments, on a vu des tendances à la baisse dans les sous-régions Mer du Nord septentrionale, Mer du Nord méridionale, Mer d’Irlande et Côtes ouest de l’Irlande et de l’Écosse, avec un changement annuel d’environ -3 % (Figure 7). La tendance à la hausse des concentrations dans les poissons et les mollusques et crustacés dans la sous-région Mer du Nord méridionale provient essentiellement d'une augmentation des niveaux dans la zone de la mer des Wadden, et pour les sous-régions Manche et Golfe de Gascogne septentrional, d'une augmentation des niveaux principalement le long de la côte française.

Figure 6 : Évaluation des tendances temporelles pour le cadmium, le plomb et le mercure dans les poissons et les mollusques et crustacés. La direction de la tendance est représentée par un triangle pointant vers le haut ou vers le bas ; un cercle signifie qu’il n’y a pas de tendance. La tendance est représentée sous forme de changement annuel en pourcentage depuis 2010.

Figure 7 : Évaluation des tendances temporelles pour le cadmium, le plomb et le mercure dans les sédiments. La direction de la tendance est représentée par un triangle pointant vers le haut ou vers le bas ; un cercle signifie qu’il n’y a pas de tendance. La tendance est représentée sous forme de changement annuel en pourcentage depuis 2010.
Les échantillons de sédiments sont généralement prélevés plus au large autour de la mer des Wadden, mais même les stations côtières présentent des tendances à la baisse, contrairement à la tendance observée pour les poissons et les mollusques et crustacés, qui signifie peut-être que du mercure est libéré dans l'eau à partir des sédiments, avec une absorption croissante par les mollusques et crustacés et les poissons, mais cet aspect nécessite une étude plus approfondie. En ce qui concerne le Golfe de Gascogne septentrional, aucune donnée sur les sédiments n’est disponible pour l'établissement des tendances temporelles.
Pour le plomb et le cadmium, on voit des tendances similaires pour les poissons et les mollusques et crustacés, et des concentrations en augmentation, avec un changement annuel d’environ 2,5 à 3,5 % pour le cadmium et un changement annuel de 4 % pour le plomb dans la Manche, et un changement annuel de ~1,5 % dans les sous-régions Mer du Nord méridionale et Golfe de Gascogne septentrional. Dans les sédiments, la concentration de plomb présente une tendance à la baisse, avec un changement annuel de -2 % dans les sous-régions Mer du Nord méridionale et Mer d’Irlande ; cependant, les concentrations de cadmium sont en augmentation dans les sous-régions Manche et Côtes ouest de l’Irlande et de l’Écosse, avec un changement annuel de 4 à 5 %, et en diminution avec un changement annuel de -2,5 % dans la sous-région Mer du Nord méridionale.
Les concentrations des métaux traces sont surveillées dans le cadre du programme de surveillance CEMP dans 603 à 647 sites de surveillance du biote pour chaque métal trace. Les résultats sont accessibles sur la page de l’OHAT, l'outil en ligne pour l'évaluation des contaminants. L’évaluation réalisée dans le cadre du QSR 2023 a porté essentiellement sur des échantillons pour lesquels des données étaient disponibles à partir de 2015, ce qui a entraîné une réduction du nombre de stations utilisées pour évaluer l’état, jusqu'à 389. Pour l'évaluation des tendances temporelles, on a pris en compte des stations pour lesquelles il existait au moins 5 années de données (66 à 70 stations pour le mercure, le cadmium et le plomb), 20 à 22 % d'entre elles présentant une tendance temporelle (Figure 1). En ce qui concerne les sédiments, on a prélevé des échantillons dans 393 à 401 sites de surveillance, 7 à 10 % d'entre eux présentant une tendance. Les prélèvements des échantillons de sédiments sont souvent plus espacés dans le temps, et les échantillons sont prélevés dans un moindre nombre de stations. On ne possède pas de données sur les sédiments pour les sous-régions arctiques de la Région I.
D’autres métaux font l’objet d’une surveillance dans le cadre du Programme coordonné de surveillance de l'environnement (CEMP) d’OSPAR, et les résultats sont généralement similaires à ceux des trois métaux traces prioritaires, pour les sous-régions Mer du Nord méridionale, Manche et Golfe de Gascogne septentrional. Pour le biote, les concentrations de zinc et de cuivre ont également été évaluées en utilisant les BAC, et elles ont aussi été évaluées pour les sédiments.
Pour le biote, l'évaluation de l’état des échantillons de zinc et de cuivre a indiqué des concentrations supérieures aux niveaux ambiants dans les deux cas, pour toutes les Régions (Figure c). Pour les sédiments, on a également pu réaliser des évaluations basées sur les valeurs BAC et ERL pour le zinc, le cuivre et le chrome ; ces évaluations ont montré que, pour la majeure partie du centre de la mer du Nord, les niveaux étaient supérieurs à l’ERL pour le zinc et le chrome, tandis que les niveaux pour les sous-régions Mer du Nord septentrionale et Mer ibérique étaient inférieurs. Pour le cuivre, seule la Région Mers celtiques a présenté des niveaux supérieurs à l’ERL.

Figure c : Concentrations modélisées des métaux avec leur limite de confiance à 95 % dans les poissons et les mollusques et crustacés, pour le mercure, le zinc, le cadmium, le cuivre et le plomb, relativement à la BAC

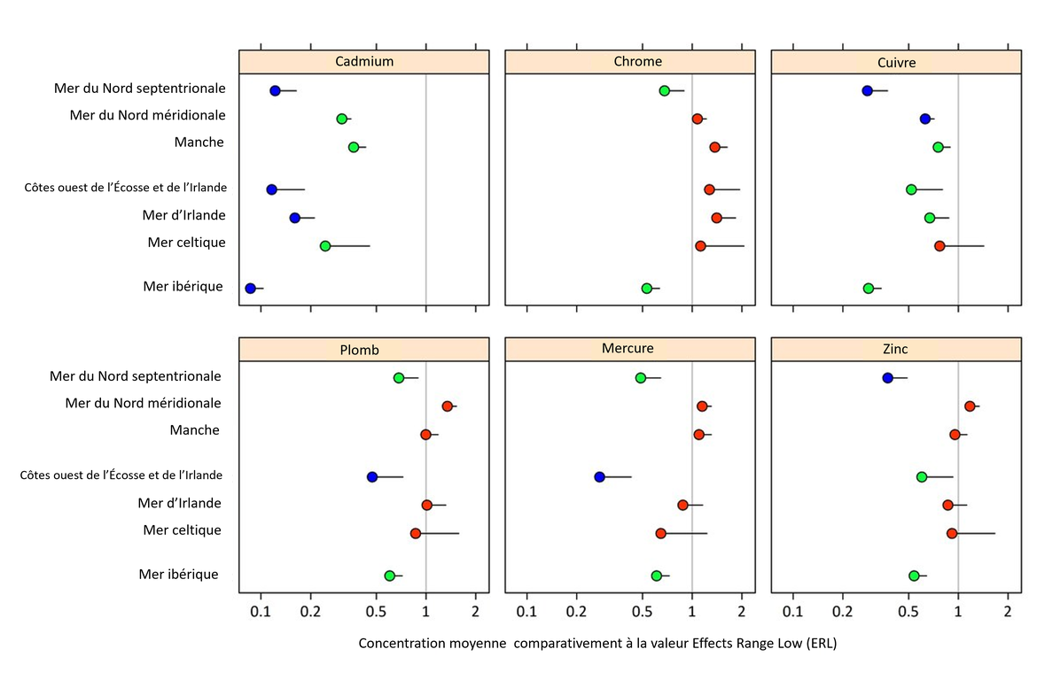
Figure d : Concentrations modélisées des métaux dans les sédiments, pour le zinc, le cuivre, le plomb, le mercure, le cadmium et le chrome, relativement à l'ERL
En particulier dans les sédiments, les tendances sont généralement les mêmes que pour le mercure et le plomb, avec des tendances à la baisse des concentrations de nickel, de zinc, de cuivre, d’arsenic et de chrome pour la sous-région mer du Nord méridionale. Pour le zinc et le cuivre, on voit aussi des tendances à la baisse pour la sous-région Mer du Nord septentrionale, par contre les concentrations d’arsenic sont en augmentation dans la sous-région mer du Nord septentrionale. Les concentrations de cuivre sont également en diminution dans les sédiments de la sous-région Mer d’Irlande (Figure e).
En ce qui concerne les poissons et les mollusques et crustacés, on voit des tendances à la hausse dans les sous-régions Manche et Mer du Nord méridionale pour le zinc, le sélénium, le cuivre et l’arsenic, mais uniquement dans la Manche pour le nickel et le chrome. En outre, dans la sous-région Golfe de Gascogne septentrional, les concentrations de zinc, de nickel, de cuivre et de chrome sont en augmentation (Figure f). Ces résultats diffèrent nettement de ceux de l’IA 2017, où seul le cadmium dans la sous-région Mer du Nord méridionale affichait une tendance à la hausse, alors qu’il était en diminution dans les sous-régions Fosse norvégienne, Mer d’Irlande, Mer celtique et Golfe de Gascogne septentrional. Pour le mercure, dans l’IA 2017, on a vu une tendance à la baisse significative seulement dans la sous-région Mer ibérique, et pour le plomb, 7 des 10 régions examinées dans l’IA 2017 ont présenté une tendance à la baisse, sans tendance à la hausse.

Figure e : Évaluation des tendances temporelles pour tous les métaux disponibles dans les poissons et les mollusques et crustacés. La direction de la tendance est représentée par un triangle pointant vers le haut ou vers le bas ; un cercle signifie qu’il n’y a pas de tendance. La tendance est représentée sous forme de changement annuel en pourcentage depuis 2010.

Figure f : Évaluation des tendances temporelles pour tous les métaux disponibles dans les sédiments. La direction de la tendance est représentée par un triangle pointant vers le haut ou vers le bas ; un cercle signifie qu’il n’y a pas de tendance. La tendance est représentée sous forme de changement annuel en pourcentage depuis 2010.
Si l’on classe les métaux dans les poissons et les mollusques et crustacés en fonction du nombre de sous-régions dans lesquelles les concentrations sont en augmentation, le cuivre est clairement le pire – en augmentation dans 5 des 13 sous-régions, aucune sous-région ne présentant de tendance à la baisse. Les concentrations de chrome et de nickel sont en augmentation dans 4 sous-régions, et en diminution dans une sous-région. Les concentrations de mercure, de zinc, de cadmium et de plomb sont en augmentation dans 3 sous-régions, et les concentrations de zinc et de cadmium sont en diminution dans une sous-région, tandis que les concentrations de plomb sont en diminution dans 3 sous-régions.
Comme l'on s’attend à voir une diminution des apports atmosphériques et des apports fluviaux, il semble logique que les tendances temporelles pour les sédiments soient généralement à la baisse ; par contre, les tendances temporelles généralement à la hausse pour les poissons et les mollusques et crustacés semblent indiquer qu'il y a une libération dans l’eau à partir des sédiments et une absorption par les organismes marins, ou un changement dans l’absorption des métaux par les poissons et les mollusques et crustacés sous l'effet de températures plus élevées (Kibria et al., 2021).
Conclusion
Le mercure s’est avéré problématique dans toutes les zones pour les mollusques et crustacés et pour les poissons, avec des concentrations supérieures aussi bien à la BAC pour les moules qu’au critère d’évaluation QSsp. Les concentrations de plomb et de cadmium ont été supérieures aux niveaux ambiants pour les mollusques et crustacés et pour les poissons dans la plupart des zones, à l’exception de la sous-région Côtes ouest de l’Irlande et de l’Écosse. La Région Mers celtiques et les sous-régions Mer ibérique et Golfe de Gascogne septentrional ont présenté des concentrations supérieures aux niveaux ambiants pour le cadmium, et les sous-régions Mer de Norvège et Dorsale Groenland-Écosse ont présenté des concentrations supérieures aux niveaux ambiants pour le plomb. Dans les sédiments, les concentrations de mercure et de plomb ont été supérieures au critère d’évaluation ERL dans les sous-régions Mer du Nord méridionale, Manche, Mer d’Irlande et Mer celtique. Dans la sous-région Côtes ouest de l’Irlande et de l’Écosse, les niveaux ambiants ont été atteints dans les sédiments.
Malgré la mise en place de la convention mondiale sur le mercure et de nombreuses lois sur la réduction ou l’interdiction du mercure et d’autres métaux, les tendances temporelles indiquent des niveaux en augmentation dans de nombreuses sous-régions pour le biote, et dans une moindre mesure pour les sédiments. Comme les apports dans le milieu marin semblent être en diminution, en présence de tendances temporelles à la hausse, il va être difficile de réaliser l’objectif qui consiste à parvenir à des océans non pollués. En général, l'état est bon pour les métaux, à l’exception du mercure.
Le mercure s’est avéré problématique dans toutes les zones pour les mollusques et crustacés et pour les poissons, avec des concentrations supérieures aussi bien à la BAC pour les moules qu'au critère d’évaluation QSsp. Le mercure est le seul métal pour lequel une valeur NQE concernant le biote est définie dans la Directive-cadre sur l’eau de l’UE. Dans les sédiments, les concentrations de mercure ont été supérieures au critère d’évaluation ERL dans quatre des sept régions pour lesquelles des données étaient disponibles, la sous-région Côtes ouest de l’Irlande et de l’Écosse a produit des résultats inférieurs aux Teneurs ambiantes d'évaluation (BAC), et dans les sous-régions Mer du Nord septentrionale et Mer ibérique, les niveaux ont été supérieurs aux BAC mais inférieurs à la valeur ERL.
Les teneurs en plomb et en cadmium dans les mollusques et crustacés et les poissons ont été supérieures au niveau ambiant dans 9 ou 10 des 13 zones ; elles ont été dans les deux cas inférieures aux BAC dans la sous-région Côtes ouest de l’Irlande et de l’Écosse. La Région Mers celtiques et les sous-régions Mer ibérique et Golfe de Gascogne septentrional ont présenté des concentrations supérieures aux niveaux ambiants pour le cadmium, et les sous-régions Mer de Norvège et Dorsale Groenland-Écosse ont présenté des concentrations supérieures aux niveaux ambiants pour le plomb. Dans les sédiments, la comparaison des concentrations de plomb aux valeurs ERL a produit des résultats semblables à ceux du mercure. Pour le cadmium, aucune zone n’a dépassé la valeur ERL, et toutes les zones dans lesquelles les concentrations ont été inférieures à la valeur ERL pour le mercure et le plomb ont produit des résultats inférieurs à la BAC pour le mercure, tout comme la sous-région Mer d’Irlande.
Les tendances pour le mercure ont été soit à la hausse (Mer du Nord méridionale, Manche et Golfe de Gascogne septentrional), soit non significatives pour les poissons et les mollusques et crustacés. Pour le cadmium et le plomb, ces mêmes zones ont affiché des tendances à la hausse, mais des tendances à la baisse ont été observées dans la sous-région Fosse norvégienne pour le cadmium ainsi que pour le plomb, dans la sous-région Mer d’Irlande pour le cadmium, et dans les sous-régions Mer de Norvège et Mer Ibérique pour le plomb. Dans les cinq zones présentant des tendances temporelles pour les sédiments, toutes les tendances pour le mercure ont été à la baisse, sauf dans la sous-région Manche, où l'on n'a pas observé de tendance. Les concentrations de cadmium ont été en augmentation dans les sous-régions Manche et Côtes ouest de l’Irlande et de l’Écosse, mais en diminution dans la sous-région Mer du Nord méridionale, et les concentrations de plomb ont été en diminution dans les sous-régions Mer du Nord méridionale et Mer d’Irlande. L’écart entre la direction des tendances temporelles des concentrations de mercure dans le biote et des concentrations de mercure dans les sédiments pourrait indiquer que du mercure est libéré à partir des sédiments, par exemple en raison de tendances au réchauffement qui font augmenter le déficit en oxygène et la méthylation des sédiments, ou en raison d’une augmentation de l'afflux atmosphérique n'ayant pas encore atteint les sédiments. On a cependant besoin d'études plus détaillées sur la circulation du mercure en mer du Nord pour tirer des conclusions à ce sujet. Dans la sous-région Mer du Nord méridionale, les concentrations de plomb et de cadmium sont également en diminution dans les sédiments mais en augmentation dans le biote, par contre la sous-région Manche affiche une tendance à la hausse des concentrations de cadmium dans les sédiments ainsi que dans le biote. Dans la sous-région Mer d’Irlande, on voit des tendances à la baisse des concentrations de cadmium dans le biote et des concentrations de plomb et de mercure dans les sédiments ; cependant, aucune tendance n’est visible pour le cadmium dans les sédiments ou pour le plomb et le mercure dans le biote. La plupart des données sur les sédiments proviennent de zones plus ouvertes, tandis que les échantillons de mollusques et crustacés sont généralement prélevés près des côtes ; pour les poissons, les échantillons peuvent provenir de ces deux types de zones. Les tendances temporelles pourraient donc aussi signifier qu'il existe une différence entre les eaux côtières, plus exposées à une pollution directe, et les eaux ouvertes, où la pollution provenant des sources terrestres est fortement diluée.
Les concentrations de zinc et de cuivre dans les mollusques et crustacés et les poissons sont également supérieures à la concentration ambiante dans toutes les zones ; les concentrations de cuivre dans les sédiments dépassent la valeur ERL seulement dans la sous-région Mer celtique, mais les concentrations de zinc et de chrome sont supérieures à l'ERL dans les sous-régions Mer du Nord méridionale, Manche, Mer d’Irlande et Mer celtique, et dans la sous-région Côtes ouest de l’Irlande et de l’Écosse, elles sont supérieures à l'ERL pour le chrome. Pour de nombreux autres métaux (arsenic, cobalt, nickel, sélénium, argent et étain), aucun critère d’évaluation n’est disponible, cependant on voit des tendances temporelles à la hausse ainsi qu'à la baisse dans le biote, ces tendances variant d’un métal à l’autre et d’une zone à l’autre. Dans certaines zones, les tendances sont principalement à la hausse (Mer celtique, Mer du Nord méridionale, Manche), alors qu'elles sont à la baisse dans d'autres régions (Côtes ouest de l’Irlande et de l’Écosse). Le trafic maritime et l’industrie lourde pourraient être les sources de pollution ; cependant, dans le cas des sédiments, les concentrations de cuivre et de zinc, pour lesquelles il devrait logiquement y avoir une corrélation avec l’intensité du transport maritime, présentent seulement des tendances à la baisse. On a donc probablement besoin de réaliser des études et des évaluations supplémentaires au niveau local pour expliquer les résultats. Seuls l’arsenic (sous-région Mer du Nord septentrionale) et le cadmium ont présenté des tendances à la hausse de leurs concentrations dans les sédiments, et on note que dans cinq zones seulement, on disposait de suffisamment de données pour faire une analyse des tendances temporelles.
Malgré la mise en place de la convention mondiale sur le mercure et de nombreuses lois sur la réduction ou l’interdiction du mercure et d’autres métaux, les tendances temporelles indiquent des niveaux en augmentation dans de nombreuses sous-régions pour le biote, et dans une moindre mesure pour les sédiments. Comme les apports dans le milieu marin semblent être en diminution, en présence de tendances temporelles à la hausse, il va être difficile de réaliser l’objectif qui consiste à parvenir à des océans non pollués. En général, l'état est bon pour les métaux, à l’exception du mercure.
Lacunes dans les connaissances
On manque de données écotoxicologiques pour élaborer de nouveaux critères d’évaluation fondés sur les principes de la Directive-cadre sur l’eau de l’Union européenne ou les Critères d’évaluation environnementale (EAC) d'OSPAR, afin de remplacer les critères ERL actuels. Il faudrait élaborer des seuils pour les concentrations de métaux traces dans les sédiments, les poissons et les mollusques et crustacés ou mettre à jour ceux qui existent déjà.
Il faut enquêter sur les raisons de l’augmentation des concentrations de métaux traces dans le biote, en particulier dans les sous-régions Mer du Nord méridionale et Manche, afin d’identifier les sources ou les processus environnementaux qui entrent en jeu. Les liens entre les concentrations de métaux et des facteurs de confusion tels que la taille des mollusques et crustacés et des poissons, l’état des espèces analysées, le niveau trophique et les concentrations sur la base du poids sec/poids de lipides, devraient être étudiés plus avant.
Pour améliorer l’évaluation et l'état de la zone maritime d'OSPAR, on manque essentiellement de critères d’évaluation et de facteurs de conversion agréés entre les organes ; il faut :
- Élaborer et agréer des critères d’évaluation (p. ex. des valeurs NQE (QSsp)) dans le biote pour le cadmium, le plomb et d’autres métaux qui seront utilisés comme seuils environnementaux dans les évaluations futures. Établir des facteurs de distribution normalisés entre le foie, les muscles et les poissons entiers pour les métaux chez différentes espèces, afin de recalculer les concentrations mesurées dans le cadre de la surveillance actuelle en vue d'une comparaison avec les seuils environnementaux. Il faudrait envisager un élargissement du CEMP à des espèces de prédateurs supérieurs telles que les mammifères marins et les oiseaux/œufs d’oiseaux, lorsque de nouvelles informations ou une couverture spatiale pourraient en résulter.
- Élaborer des critères QSsediment pour les sédiments, fondés sur les principes de la DCE/DCSMM, pour une évaluation fiable de l’impact des concentrations dans les sédiments sur le milieu marin, afin de remplacer les seuils ERL actuels.
Parvenir à une meilleure compréhension des raisons pour lesquelles les concentrations des métaux dans les poissons et les mollusques et crustacés sont en augmentation, malgré une diminution apparente des apports dans le milieu marin, et des tendances à la baisse des concentrations dans les sédiments. L'augmentation des concentrations de cadmium dans la sous-région Mer du Nord méridionale dont faisait état l’IA 2017 semble maintenant s’être propagée aux sous-régions Mer du Nord septentrionale et Manche, et pour le plomb et le mercure, on voit aussi des tendances davantage à la hausse qu’à la baisse par rapport à l'évaluation précédente, et pour un plus grand nombre de régions.
Ackerman JT, Eagles-Smith CA, Herzog MP, Hartman CA. (2006) Maternal transfer of contaminants in birds: mercury and selenium concentrations in parents and their eggs. Environ Poll. 2016;210:145–154
AMAP, 2021. AMAP Assessment 2021: Mercury in the Arctic. Arctic Monitoring and Assessment Programme (AMAP), Tromsø, Norway. 324 pp https://www.amap.no/documents/doc/amap-assessment-2021-mercury-in-the-arctic-uncorrected-proofing-draft/3581
Baines, C.,Lerebours, A, Thomas, F, Fort, J, Kreitsberg, R, Gentes, S, Meitern, R, Saks, L, Ujvari, B, Giraudeau, M, Sepp, T. (2021). "Linking pollution and cancer in aquatic environments: A review." Environment International 149: 106391.
Dietz, R; Fort, J; Sonne, C; Albert, C; Bustnes, J.O; Christensen, T. K.; Ciesielski, T.M; Danielsen, J; Dastnai, S; Eens, M; Erikstad, K.E; Galatius, A; Garbus, S.E.; Gilg, O.; Hanssen, S.A.; Helander, B; Helberg, M; Jaspers, V; Jenssen, B.M.; Jónsson, J.E; Kauhala, K; Kolbeinsson, Y; Kyhn, L A.; Labansen, A.L.; Larsen, M.M.; Lindstrøm, U; Reiertsen, T.K.; Rigét, F.F.; Roos, A; Strand, J; Strøm, H; Søndergaard, J; Sun, J; Teilmann, J; Therkildsen, O. R.; Thórarinsson, T.L.; Tjørnløv, R.S.; Wilson, S; Eulaers, I (2021) A risk assessment of the effects of mercury on Baltic Sea, Greater North Sea and North Atlantic wildlife, fish and bivalves, Environment International,Volume 146, ISSN 0160-4120, https://doi.org/10.1016/j.envint.2020.106178
Duffus J. H. 2002, " 'Heavy metals'—A meaningless term?", Pure and Applied Chemistry, vol. 74, no. 5, pp. 793–807, https://doi.org/10.1351/pac200274050793.
European Commission (EC) (2006). European Union: Commission Regulation (EC) No. 1881/2006 of 19 December 2006 setting maximum levels for certain contaminants in foodstuffs
European Commission (EC) (2011) Guidance Document No. 27 Technical Guidance for Deriving Environmental Quality Standards. Technical Report - 2011 - 055 ISBN: 978-92-79-16228-2 DOI: 10.2779/43816 https://circabc.europa.eu/w/browse/a3c92123-1013-47ff-b832-16e1caaafc9a
European Commission (EC) (2014) Common Implementation Strategy for the Water Framework Directive (2000/60/EC): Guidance Document No. 32 on biota monitoring (the implementation of EQS Biota) under the WFD. Technical Report 2014-083.
Kersten, M., and Smedes, F. (2002) J. Environ. Monit., 4, p 109–115 Normalization procedures for sediment contaminants in spatial and temporal trend monitoring
Kibria, Golam & Nugegoda, Dayanthi & Rose, Gavin & Haroon, A K. (2021). Climate change impacts on pollutants mobilization and interactive effects of climate change and pollutants on toxicity and bioaccumulation of pollutants in estuarine and marine biota and linkage to seafood security. Marine Pollution Bulletin. 167.
Krabbenhoft, D. & Sunderland, E. (2013). Global Change and Mercury. Science (New York, N.Y.). 341. 1457-8. 10.1126/science.1242838.
Larsen M.M., Blusztajn J.S., Andersen O., Dahllöf I. (2012). Lead isotopes in marine surface sediments reveal historical use of leaded fuel. Journal of Environmental Monitoring, 2012:14, 2893-2901. https://doi.org/10.1039/c2em30579h
Liu, J., Qu, W., & Kadiiska, M. B. (2009). "Role of oxidative stress in cadmium toxicity and carcinogenesis." Toxicology and Applied Pharmacology 238(3): 209-214.
Loring, D.H, 1991 ICES Journal of Marine Science 48-1, p 101.-115 Normalization of heavy-metal data from estuarine and coastal sediments
MIME (2020) summary record. https://www.ospar.org/meetings/archive/working-group-on-monitoring-and-on-trends-and-effects-of-substances-in-the-marine-environment-mime-1
MIME (2021) Summary record. https://www.ospar.org/meetings/archive/working-group-on-monitoring-and-on-trends-and-effects-of-substances-in-the-marine-environment-2
NOAA (1999). Sediment Quality Guidelines developed for the National Status and Trends Program. National Oceanic and Atmospheric Administration, US Department of Commerce, United States of America. 12pp
O’Conner, T.P. (2004): Marine Pollution Bulletin 49, 383–385
OSPAR (2009) Agreement on CEMP Assessment Criteria for the QSR 2010. https://qsr2010.ospar.org/media/assessments/p00390_supplements/09-02e_Agreement_CEMP_Assessment_Criteria.pdf
OSPAR (2016) Mercury assessment in the marine environment. Assessment criteria comparison (EAC/EQS) for mercury. Hazardous Substances & Eutrophication series 679. https://www.ospar.org/documents?v=35403
OSPAR (2018). CEMP guidelines for monitoring contaminants in sediments. Revised in 2018. Agreement 2002-16. https://www.ospar.org/documents?d=32743
Signa, G, Mazzola, A, Tramati, C, Vizzini, S. (2017). Diet and habitat use influence Hg and Cd transfer to fish and consequent biomagnification in a highly contaminated area: Augusta Bay (Mediterranean Sea). Environmental Pollution. 230. 394-404. 10.1016/j.envpol.2017.06.027.
Streets, D.G.,Horowitz, H.M, Jacob, D.J., Lu, Z, Levin, L, ter Schure, A, Sunderland, E. (2017) Total Mercury Released to the Environment by Human Activities Environ. Sci. Technol. 51, 11, 5969–5977 DOI: 10.1021/acs.est.7b00451
UN, 2021. Press release: “Era of leaded petrol over, eliminating a major threat to human and planetary health“. https://www.unep.org/news-and-stories/press-release/era-leaded-petrol-over-eliminating-major-threat-human-and-planetary
Contributeurs
Auteurs principaux : Martin Mørk Larsen and Dag Øystein Hjermann
Avec le soutien des groupes suivants : OSPAR Working Group on Monitoring and on Trends and Effects of Substances in the Marine Environment (MIME) and Hazardous Substances and Eutrophication Committee (HASEC).
Traduction : Isabelle Wojtyniak (MCIL, MITI). Quicksilver Language Services Ltd
Citation
Larsen, M. et Hjermann, D. 2022. État et Tendances des Teneurs en Métaux Lourds (Mercure, Cadmium et Plomb) dans les Poissons, les Mollusques et Crustacés et les Sédiments. OSPAR, 2023: Bilan de santé. Commission OSPAR, Londres. Disponible via le lien suivant : https://oap.ospar.org/fr/evaluations-ospar/bilan-de-sante/2023/evaluations-des-indicateurs/metaux-lourds-biote-sediments/
| Type d’évaluation | Évaluation d’Indicateur |
|---|---|
| Résumé des résultats | https://odims.ospar.org/en/submissions/ospar_heavy_metals_msfd_2022_06 |
| Indicateur ODD | 14.1 D’ici à 2025, prévenir et réduire nettement la pollution marine de tous types, en particulier celle résultant des activités terrestres, y compris les déchets en mer et la pollution par les nutriments |
| Activité thématique | Substances Dangereuses |
| Documentation pertinente d’OSPAR | Agreement 2002-16 CEMP Guidelines for Monitoring Contaminants in Sediments. Revised 2018 |
| Lien | https://www.ospar.org/documents?v=43227 |
| Date de publication | 2022-06-30 |
| Conditions d’accès et d’utilisation | https://oap.ospar.org/fr/politique-de-donnees/ |
| Résultats des données | https://odims.ospar.org/en/submissions/ospar_metals_biota_sed_results_2022_06/ |
| Instantané de données | https://doi.org/10.17895/ices.data.21229139 |
| Instantané de données | https://doi.org/10.17895/ices.data.18601820 |
| Source des données | https://dome.ices.dk/ohat/?assessmentperiod=2022 |

