État et Tendances des Polychlorobiphényles (PCB) dans les Poissons, les Mollusques et Crustacés et les Sédiments
Contexte
La Stratégie Substances dangereuses d'OSPAR pour la période de 2010 à 2020 avait pour but ultime de parvenir à des concentrations dans le milieu marin qui sont proches des valeurs ambiantes pour les substances dangereuses présentes à l’état naturel et proches de zéro pour les substances dangereuses de synthèse.
Les polychlorobiphényles (PCB) sont des composés chimiques de synthèse qui ont été interdits au milieu des années 1980, en raison de préoccupations concernant leur toxicité, leur persistance et leur potentiel de bioaccumulation dans l’environnement. Depuis les années 1980, les actions mises en place à l'échelle mondiale ont entraîné de fortes réductions des rejets et les stocks qui restaient ont été progressivement éliminés. Cependant, malgré les actions européennes et mondiales, les rejets se poursuivent, par le biais d’émissions diffuses dans l’air et de l’eau provenant de chantiers de construction et de matériaux industriels. Il reste des sources telles que le matériel électrique et hydraulique contenant des PCB, l’élimination des déchets, la redistribution de sédiments marins contaminés dans le passé, et les sous-produits de procédés industriels thermiques et chimiques.
Les PCB ne se dégradent pas facilement dans l’environnement et ne sont pas métabolisés aisément par les humains ou les animaux. Les PCB s’accumulent dans les animaux marins , et on trouve des concentrations plus élevées dans les niveaux trophiques supérieurs. Les PCB sont des composés toxiques pour les animaux et les humains, ils entraînent des problèmes de reproduction et de développement, endommagent le système immunitaire, perturbent les hormones et peuvent causer des cancers. Il existe parmi les PCB un sous-groupe « de type dioxine », et ces PCB sont plus toxiques que d’autres congénères de PCB.
Sept congénères de PCB (dont un PCB de type dioxine, le PCB CB118) ont été sélectionnés comme indicateurs d’une contamination plus vaste par les PCB en raison de leurs concentrations relativement élevées et de leurs effets toxiques.

Figure 1 : La limande (Limanda Limanda) est couramment utilisée pour la surveillance des PCB dans le biote © Marine Scotland Science

Figure a. Structure chimique des polychlorobiphényles
Les polychlorobiphényles (PCB) (Figure a) sont des composés industriels qui se prêtent à de multiples utilisations industrielles et commerciales. On estime que 1,3 million de tonnes de composés de PCB ont été produites à l’échelle mondiale (Breivik et al., 2007). Les PCB ont été utilisés comme fluides de refroidissement et comme lubrifiants dans des transformateurs, des condensateurs et d'autres appareils électriques. Ils ont aussi été utilisés dans des adhésifs, des peintures, des encres et comme plastifiants et agents d’étanchéité dans des produits tels que le caoutchouc, et en particulier dans les polychlorures de vinyle, des matières plastiques utilisées pour recouvrir les fils électriques.
Bien que l’utilisation de la plupart des formes de PCB ait été interdite il y a plus de 30 ans (PARCOM, 1992), ils sont toujours présents dans les vieux matériels électriques et dans les milieux environnementaux auxquels les humains peuvent être exposés. Des PCB sont probablement présents dans les flux de déchets électroniques, à partir desquels ils peuvent s’infiltrer dans l’environnement (Menad et al., 1998 ; Arp et al., 2020). Les humains sont exposés principalement par voie alimentaire, la plupart du temps à partir de graisses animales contaminées. L’air intérieur peut également contribuer à l’exposition humaine. Des programmes de surveillance à l’échelle mondiale ont indiqué la présence de PCB dans la plupart des échantillons de lait maternel humain (Pietrzak-Fiecko et al., 2005 ; Brajenović et al., 2018), bien que des tendances à la baisse aient été observées.
Les PCB ne brûlent pas facilement et sont de bons isolants (Bergman et al., 2012). Ces propriétés ont largement contribué à faire des PCB des contaminants environnementaux, réglementés par la Convention de Stockholm sur les polluants organiques persistants. Les propriétés d’inertie chimique et de stabilité à la chaleur des PCB, extrêmement utiles pour le secteur industriel, permettent aussi aux résidus de PCB de persister longtemps dans l’environnement et d’être transportés partout dans le monde lorsque, associés à des particules, ils sont dispersés par les eaux, les précipitations, le vent et d’autres forces physiques (Jaward et al., 2004 ; Eckhardt et al., 2007 ; Gioia et al., 2008).
Parmi les 209 congénères de PCB, les plus toxiques sont les PCB dits de type dioxine. Il s’agit des quatre PCB non-ortho (CB77, CB81, CB126 et CB169) et des huit PCB mono-ortho (CB105, CB114, CB118, CB123, CB156, CB157, CB167 et CB189).
En raison de leur persistance, de leur potentiel de bioaccumulation et de leur toxicité, ils ont été inscrits sur la Liste OSPAR des produits chimiques devant faire l’objet de mesures prioritaires (OSPAR, 2007). La Commission européenne a recommandé la surveillance de six congénères de PCB (2001). Comme il s'agit du PCB le plus toxique, le CB118 est également surveillé. Dans le cadre du Programme coordonné de surveillance de l’environnement (CEMP) d’OSPAR (OSPAR, 2016), les Parties contractantes sont tenues de surveiller les sept congénères de PCB CB28, CB52, CB101, CB118, CB138, CB153 et CB180 (OSPAR, 1997)) dans le biote (poissons et moules) et les sédiments, pour déterminer les tendances temporelles et la distribution spatiale ; cette surveillance est obligatoire. Des composés hydrophobes tels que les PCB peuvent s'accumuler dans les sédiments marins, en particulier ceux qui ont une teneur élevée en carbone organique, à des concentrations bien plus élevées que dans les eaux environnantes. La stratégie d’échantillonnage est définie par l’objectif du programme de surveillance et les conditions naturelles de la région à surveiller (OSPAR, 1997). Pour l’échantillonnage, en général, on prélève des échantillons dans des sites de surveillance fixes, ou bien on pratique un échantillonnage aléatoire stratifié ou un échantillonnage fixe stratifié. Les sédiments boueux, c’est-à-dire ceux qui contiennent une proportion élevée de matières fines, sont préférables pour la surveillance des contaminants organiques, mais on pourrait aussi utiliser le tamisage des sédiments (OSPAR, 2002).
Des concentrations élevées de PCB peuvent s'accumuler dans les mammifères marins, qui se situent aux niveaux trophiques supérieurs et possèdent des réserves lipidiques importantes ; les concentrations dépassent souvent le seuil de toxicité pour les mammifères marins. Il existe peu de données indiquant une diminution des concentrations chez les prédateurs supérieurs au cours des dernières années, et des publications ont indiqué que le déclin des populations pourrait être attribuable à ces concentrations élevées (Jepson et al., 2016).
Lors de l’évaluation des contaminants, des aspects « relatifs » ainsi que des aspects « absolus » ont été analysés :
- l'« évaluation des tendances », ou évaluation de la distribution spatiale, concernant essentiellement les différences et changements relatifs sur des échelles spatiales et temporelles, apporte des informations sur les vitesses de changement, et indique si la contamination est largement répandue ou si elle se limite à des emplacements spécifiques ; et
- l'« évaluation de l'état », concernant l'importance de la (du risque de) pollution (l'état dans lequel les substances chimiques sont présentes à un niveau dangereux), nécessite habituellement des critères d'évaluation qui tiennent compte de la sévérité possible des impacts, et par conséquent nécessite des critères qui tiennent compte des conditions naturelles (concentrations ambiantes) et de l'écotoxicologie du contaminant. Par exemple, les Critères d'évaluation environnementale (Environmental Assessment Criteria (EAC)) font partie de la panoplie d'outils utilisée dans ce type d'évaluation.
OSPAR a précisé que lors de l'évaluation des données du Programme coordonné de surveillance de l'environnement (CEMP), la valeur d'évaluation primaire utilisée dans l'évaluation des concentrations de contaminants dans les sédiments et le biote « correspond à la réalisation, ou à la non-réalisation, de cibles statutaires ou d'objectifs de politiques pour des contaminants dans ces matrices » (OSPAR, 2009a). Cette série de critères d'évaluation a été compilée spécialement pour l'évaluation des données de surveillance du CEMP concernant les substances dangereuses qui ont été utilisées pour le Bilan de santé (QSR) 2010. L'utilisation de cette série a été considérée comme une solution intérimaire aux fins du QSR 2010, jusqu'à ce que des approches convenant mieux pour la définition de critères d'évaluation puissent être agréées et mises en œuvre. Ces critères sont aussi utilisés dans les évaluations annuelles dans le cadre du CEMP depuis 2010, y compris l’Évaluation intermédiaire (IA) de 2017, et ils seront utilisés jusqu'à ce qu'OSPAR parvienne à un accord sur l'adoption de critères d'évaluation améliorés et sous réserve des conditions énoncées dans l'accord.
Deux critères d’évaluation sont utilisés pour évaluer les concentrations de PCB dans le biote et les sédiments : les Teneurs ambiantes d'évaluation (Background assessment concentrations (BAC)), et les Critères d’évaluation environnementale (Environmental assessment criteria (EAC)).
Les valeurs utilisées pour l'évaluation des indicateurs dans le cadre du QSR 2023 d'OSPAR ne doivent pas être considérées comme équivalentes aux valeurs seuils pour les critères que propose la Directive cadre Stratégie pour le milieu marin de l’Union européenne (DCSMM), mais elles peuvent être utilisées par les Parties contractantes qui le souhaitent pour remplir leurs obligations aux termes de la DCSMM.
Origine et limitations des BAC
Les BAC ont été élaborées par OSPAR pour déterminer si des concentrations sont proches des niveaux ambiants (pour les substances présentes à l'état naturel), et proches de zéro (pour les substances de synthèse), ce qui est le but final de la Stratégie Substances dangereuses d'OSPAR. Des concentrations moyennes significativement inférieures aux BAC sont dites « proches du niveau ambiant » (concentrations des substances naturelles). Les BAC sont des outils statistiques définis par rapport aux concentrations ambiantes ou par rapport à de faibles concentrations, qui permettent de conduire des analyses statistiques pour déterminer si des concentrations observées peuvent ou non être considérées comme proches des concentrations (ou teneurs) ambiantes.
Les concentrations ambiantes (Background Concentrations (BC)), ou teneurs ambiantes, sont des outils d’évaluation destinés à représenter les concentrations de substances dangereuses que l'on s'attendrait à rencontrer dans l’Atlantique du Nord-Est si certaines opérations industrielles n’avaient pas eu lieu. Elles représentent les concentrations de ces substances dans des sites « distants » ou dans des conditions correspondant à des sites « vierges », établies respectivement à partir de données contemporaines ou de données historiques, en l’absence de minéralisation et/ou d’influences océanographiques significatives. Elles correspondent ainsi aux valeurs ambiantes mentionnées dans la Stratégie Substances dangereuses d'OSPAR pour la période de 2010 à 2020. Les BC pour les substances de synthèse doivent être considérées comme égales à zéro. On reconnaît que des processus naturels, tels que la variabilité géologique ou la résurgence des eaux océaniques près des côtes, peuvent entraîner des variations importantes des concentrations ambiantes des contaminants, par exemple les métaux traces. On devra tenir compte de la variabilité naturelle des concentrations ambiantes lors de l’interprétation des données du CEMP, et les conditions locales devront être prises en compte lors de l’évaluation de la signification de tout dépassement.
Les basses concentrations (Low Concentrations (LC)), ou faibles teneurs, sont des valeurs utilisées pour permettre de dériver des BAC, lorsqu’il est difficile de constituer un ensemble de données sur les concentrations dans des zones distantes ou correspondant à des sites « vierges » à partir desquelles dériver des concentrations ambiantes (BC). Les LC ont été préparées à partir d'ensembles de données provenant de zones qui pourraient généralement être considérées comme distantes, mais où l'on ne peut pas garantir l’absence d’influence du transport atmosphérique de contaminants sur de longues distances. Les LC ont également été utilisées pour l’évaluation des concentrations dans des sédiments espagnols, dû à la composition globale spécifique des sédiments provenant des côtes de la péninsule ibérique. On reconnaît que les concentrations ambiantes naturelles peuvent être inférieures aux LC, et qu’elles peuvent ne pas être directement applicables à toute la zone de la Convention.
Les BAC sont calculées selon la méthode présentée dans la Section 4 du Manuel d’évaluation du CEMP (OSPAR, 2008) et elles ont été mises à jour en 2021 (OSPAR, 2021). Il en résulte que, d'après ce que l'on sait sur la variabilité des observations, il existe une probabilité de 90 % pour que la concentration moyenne de PCB observée soit inférieure à la BAC lorsque la concentration moyenne réelle est égale à la BC. Lorsque c’est le cas, les concentrations réelles peuvent être considérées comme « proches des concentrations ambiantes » (pour les substances naturelles), ou « proches de zéro » (pour les substances de synthèse).
Les BAC sont calculées en fonction de la variabilité dans l'ensemble de données du CEMP disponible actuellement via les bases de données détenues par le Centre de données du CIEM, et seront affinées par le groupe d’évaluation compétent, au fur et à mesure que de nouvelles données issues de la surveillance dans le cadre du CEMP seront collectées.
Origine et limitations des EAC
Des Critères d'évaluation environnementale ont été élaborés par OSPAR et par le CIEM pour évaluer l'importance écologique des concentrations dans les sédiments et le biote. Certaines valeurs EAC ont été compilées spécialement pour l'évaluation des données issues de la surveillance des substances dangereuses dans le cadre du CEMP qui ont été utilisées pour le QSR 2010 (Accord OSPAR 2009-2). Les EAC ne représentent pas des valeurs cibles ou des normes légales dans le cadre de la Convention OSPAR et ne doivent pas être utilisés en tant que tels. Les valeurs EAC ont été établies de telle sorte que les concentrations de substances dangereuses dans les sédiments et le biote qui sont inférieures aux EAC ne devraient pas causer d'effets chroniques chez les espèces marines sensibles, y compris les espèces les plus sensibles, et que les concentrations ne devraient pas non plus présenter un risque inacceptable pour l’environnement et ses ressources vivantes. Cependant, le risque d'empoisonnement secondaire n'est pas toujours pris en compte. On continue d'élaborer des EAC en vue de leur utilisation dans les évaluations des données.
Comme on considère que les concentrations inférieures aux EAC ne présentent pas de risque important pour l’environnement, dans la plupart des cas, on estime que les EAC sont analogues aux Normes de qualité environnementale (EQS) appliquées aux concentrations de contaminants dans l’eau ou le biote, par exemple en vertu de la Directive-cadre sur l’eau de l’Union européenne (DCE, 2000/60/CE).
Pour les PCB dans le biote, les concentrations d'équilibre ont été calculées à partir des concentrations dans les sédiments et des coefficients de partage, en prenant pour hypothèse un équilibre entre les PCB dans les lipides du biote et dans les sédiments (OSPAR, 2009a, b). Les EAC pour les PCB dans les sédiments ont ainsi été utilisés pour calculer les concentrations de PCB dans le biote (sur la base du poids de lipides), en équilibre avec des sédiments contenant des concentrations de PCB égales aux EAC dans les sédiments. Ces valeurs calculées (dénommées EACpassifs) ont été utilisées pour l'évaluation des PCB dans les poissons et les moules.
Il convient de se montrer prudent quand on utilise ces critères génériques d'évaluation environnementale dans des situations spécifiques. Leur utilisation n'exclut pas de faire appel au bon sens et au jugement d'experts quand on évalue les effets sur l'environnement et/ou le risque de voir ces effets apparaître. En outre, les EAC ne prennent pas en compte des effets biologiques spécifiques à long terme tels que la carcinogénicité, la génotoxicité et la perturbation de la reproduction par suite de déséquilibres hormonaux, et ne comprennent pas la toxicité combinée (Lauby-Secretan et al., 2013).
Méthode d’évaluation
Pour chaque composé de PCB dans chaque site de surveillance, on a évalué la série chronologique de mesures de concentration pour déterminer les tendances et l’état à l’aide des méthodes décrites dans l’Outil d'OSPAR pour l'évaluation des substances dangereuses (https://dome.ices.dk/ohat/?assessmentperiod=2022). On a ensuite fait la synthèse des résultats de ces séries chronologiques individuelles à l’échelle des zones d’évaluation dans une série de méta-analyses. Le PCB le plus toxique (et de type dioxine) des PCB de la liste ICES7 du CIEM (CB118) a été évalué séparément.
Pour les évaluations des tendances, on a pris en compte les sites de surveillance représentatifs des conditions générales, et on a exclu les sites de surveillance impactés par une source ponctuelle, ainsi que les sites de surveillance de référence où l'on ne s'attendait pas à trouver des tendances. L’analyse a également été limitée aux zones d’évaluation comptant au moins trois sites de surveillance pour lesquels des informations sur les tendances étaient disponibles, ces sites de surveillance devant aussi avoir une étendue géographique raisonnable.
La tendance pour les concentrations de chaque congénère dans chaque site de surveillance a été résumée en calculant le changement annuel estimé de la concentration logarithmique, avec l’erreur-type correspondante. On a ensuite modélisé le changement annuel de la concentration logarithmique en utilisant un modèle mixte linéaire à effet fixe :
~ Zones d’évaluation des contaminants d'OSPAR et les effets aléatoires :
~ congénère + congénère/ zone d’évaluation des contaminants d'OSPAR + site de surveillance + congénère/site de surveillance [biote uniquement] + variation résiduelle.
Le choix de l'effet fixe et des effets aléatoires a été motivé par l’hypothèse selon laquelle les congénères de PCB auraient des tendances largement similaires, puisqu’ils ont des sources similaires. Ainsi, l’effet fixe mesure la tendance commune des concentrations des congénères de PCB dans chaque zone d’évaluation des contaminants d'OSPAR, et les effets aléatoires mesurent la variation des tendances :
- entre des congénères communs à toutes les zones d’évaluation des contaminants d'OSPAR (congénère) ;
- entre des congénères présents dans des zones d’évaluation des contaminants d'OSPAR (congénère/zone d’évaluation des contaminants) ;
- entre des sites de surveillance communs aux différents congénères (site de surveillance) ;
- entre des congénères, mais communs à tous les tissus et à toutes les espèces dans les sites de surveillance (congénère/site de surveillance) ; et
- la variation résiduelle.
La variation résiduelle est constituée de deux termes : la variation associée à l’estimation de la tendance à partir des séries chronologiques individuelles, dont on suppose qu'elle est connue (et indiquée par le carré de l’erreur-type) ; et un terme qui représente toute variation résiduelle supplémentaire non expliquée par les autres effets fixes et aléatoires.
Les données établissant les tendances de la concentration de PCB à l’échelle des zones d’évaluation ont ensuite été évaluées en traçant les effets fixes estimés avec des intervalles de confiance ponctuels à 95 %. Les différences entre les congénères ont été étudiées en traçant la tendance prédite pour chaque congénère et pour chaque combinaison congénère/zone d’évaluation avec des intervalles de confiance ponctuels à 95 %.
On a utilisé des analyses similaires pour étudier l’état à l’échelle des zones d’évaluation. Deux mesures récapitulatives ont été examinées, à savoir : le rapport logarithmique entre la concentration ajustée au cours de la dernière année de surveillance et l'EAC ; et le rapport logarithmique entre la concentration ajustée au cours de la dernière année de surveillance et la BAC. Les sites de surveillance impactés ont également été inclus dans ces analyses.
Enfin, les profils de concentration des différents congénères à l’échelle des zones d’évaluation ont été étudiés en utilisant la concentration logarithmique ajustée au cours de la dernière année de surveillance.
Des BAC et des EAC sont disponibles pour les concentrations des PCB suivants dans le biote (Tableau a).
| BAC | EAC | ||||
|---|---|---|---|---|---|
| Moules et huîtres (μg/kg ps) | Poissons (μg/kg ph) | Sédiments (μg/kg ps) | Tous les biotes (μg/kg pl) | Sédiments (μg/kg ps) | |
| CB28 | 0,75 | 0,10 | 0,22 | 67 | 1,7 |
| CB52 | 0,75 | 0,08 | 0,12 | 108 | 2,7 |
| CB101 | 0,70 | 0,08 | 0,14 | 121 | 3,0 |
| CB105 | 0,75 | 0,08 | |||
| CB118 | 0,60 | 0,10 | 0,17 | 25 | 0.6 |
| CB138 | 0,60 | 0,09 | 0,15 | 317 | 7,9 |
| CB153 | 0,60 | 0,10 | 0,19 | 1585 | 40 |
| CB156 | 0,60 | 0,08 | |||
| CB180 | 0,60 | 0,11 | 0,10 | 469 | 12 |
Notes pour le Tableau a : (ps = poids sec, ph = poids humide, pl = poids de lipides. Pour les sédiments, les BAC sont normalisées pour un taux de 2,5 % de carbone organique. Des BAC sont en cours d’élaboration pour la mer ibérique et le golfe de Cadix, où les concentrations sont évaluées seulement par rapport à l'EAC. Pour le biote, les BAC et l'EAC sont convertis en d’autres bases (ph, ps ou pl) à l’aide de facteurs de conversion spécifiques aux espèces (Tableau b) ; les BAC chez les poissons sont appliquées uniquement aux tissus ou espèces ayant une teneur en lipides > 3 % ; les BAC chez les moules et les huîtres sont appliquées à tous les bivalves ; et les EAC sont établis selon la théorie du partage et parfois connus sous le nom d’EACpassifs. Le Danemark a émis des réserves concernant les valeurs EAC d'OSPAR.
Les concentrations maximales admissibles (CMA, utilisées pour évaluer l’état de santé des humains), pour les concentrations de SCB6 (somme des PCB 28, 52, 101, 138, 153 et 180) sont de 75 et 200 μg/kg ph respectivement pour les muscles et le foie des poissons.
| Espèce | Nom commun | % pl dans le muscle | % ps dans le muscle | % pl dans le foie | % ps dans le foie | % pl dans les parties molles | % ps dans les parties molles | % pl dans le muscle de la queue | % ps dans le muscle de la queue |
|---|---|---|---|---|---|---|---|---|---|
| Clupea harengus | hareng | 4,6 | 26,6 | 4,4 | 32,0 | ||||
| Gadus morhua | cabillaud | 0,3 | 19,3 | 43,0 | 55,0 | ||||
| Lepidorhombus whiffiagonis | cardine | 0,3 | 20,2 | 25,0 | 40,6 | ||||
| Limanda limanda | limande commune | 0,7 | 20,1 | 19,5 | 32,6 | ||||
| Merlangius merlangus | merlan | 20,2 | 36,9 | 44,3 | |||||
| Merluccius merluccius | merlu | 20,0 | 43,7 | ||||||
| Molva molva | lingue commune | 0,3 | 21,1 | 53,0 | 64,2 | ||||
| Platichthys flesus | flet | 0,9 | 21,3 | 14,6 | 32,0 | ||||
| Pleuronectes platessa | plie (ou carrelet) | 0,5 | 20,0 | 11,4 | 26,7 | ||||
| Scomber scombrus | Maquereau commun (Atlantique) | 25,6 | 7,0 | 26,6 | |||||
| Zoarces viviparus | loquette d'Europe | 0,6 | 18,7 | 0,6 | 22,1 | ||||
| Cerastoderma edule | coque commune | 19,0 | |||||||
| Mya arenaria | mye | 0,7 | 14,8 | ||||||
| Ruditapes philippinarum | palourde japonaise | 16,0 | |||||||
| Mytilus edulis | moule commune | 1,4 | 16,3 | ||||||
| Mytilus galloprovincialis | moule méditerranéenne | 2,2 | 19,0 | ||||||
| Crassostrea gigas | huître creuse du Pacifique | 2,1 | 18,0 | ||||||
| Ostrea edulis | huître plate | 1,8 | 20,4 | ||||||
| Crangon crangon | crevette grise | 1,4 | 27,3 | ||||||
| Littorina littorea | bigorneau | 21,9 | |||||||
| Nucella lapillus | pourpre petite pierre | 32,8 | |||||||
| Tritia nitida / reticulata | nasse réticulée (nitida / reticulata) | 27,1 | |||||||
| Cepphus grylle | guillemot à miroir | 32,0 | |||||||
| Fulmarus glacialis | fulmar boréal | 29,4 | |||||||
| Globicephala melas | globicéphale noir | 70,0 | 29,0 | 27,6 |
Le nombre de sites de surveillance utilisés pour évaluer les tendances et l’état, par Région d'OSPAR et par zone d’évaluation, est indiqué dans le Tableau c.
| Région | Zone d’évaluation des contaminants d'OSPAR | Sédiments | Biote (poissons et mollusques et crustacés) | ||
|---|---|---|---|---|---|
| Tendances | État | Tendances | État | ||
| Eaux arctiques | Mer de Barents | - | - | 5* | 11 |
| Dorsale Groenland-Écosse | - | - | 11 | 11 | |
| Mer de Norvège | - | - | 4 | 6 | |
| Mer du Nord au sens large | Fosse norvégienne | - | - | 11 | 16 |
| Mer du Nord septentrionale | 14 | 16 | 25 | 31 | |
| Skagerrak et Kattegat | - | - | 15 | 27 | |
| Mer du Nord méridionale | 46 | 52 | 30 | 37 | |
| Manche | 0* | 51 | 27 | 29 | |
| Mers celtiques | Côtes ouest de l’Écosse et de l’Irlande | 7 | 7 | 25 | 26 |
| Mer d’Irlande | 6 | 13 | 35 | 38 | |
| Mer celtique | 0* | 2* | 24 | 29 | |
| Golfe de Gascogne et côte ibérique | Golfe de Gascogne septentrional | - | - | 28 | 32 |
| Mer ibérique | 0* | 30 | 26 | 26 | |
| Golfe de Cadix | - | - | 1* | 1* | |
Différences entre les méthodologies utilisées pour le QSR 2023 et pour le QSR 2010
Pour le QSR 2023, une méta-analyse est utilisée pour faire la synthèse des résultats des séries chronologiques individuelles et fournir une évaluation de l’état et des tendances au niveau des zones d’évaluation. Les méta-analyses tiennent compte à la fois de l’estimation de l'état ou de la tendance dans chaque série chronologique et de l’incertitude de cette estimation. Elles produisent une évaluation à l'échelle régionale plus objective que celle qui a été possible dans le QSR 2010, pour lequel la tendance et l’état pour chaque site de surveillance ont simplement été présentés dans des tableaux. Le même processus a été utilisé dans l’IA 2017. Bien qu’elle ne figure pas dans la présente évaluation, l’évaluation de l'état par rapport aux normes relatives à la santé humaine (CMA) peut être consultée sur l’Outil OSPAR d’évaluation des substances dangereuses (https://dome.ices.dk/ohat/?assessmentperiod=2022).
Résultats
Les concentrations de polychlorobiphényles (PCB) sont mesurées dans les sédiments, les poissons et les mollusques et crustacés ; les prélèvement ont eu lieu entre 1985 et 2020, dans des sites de surveillance largement disséminés à travers les Régions Eaux arctiques (mollusques et crustacés seulement), Mer du Nord au sens large, Mers celtiques, et Golfe de Gascogne et côte ibérique (Figure 2 et Figure 3), à des fréquences allant de tous les ans à tous les cinq ans.
Le nombre de sites de surveillance varie considérablement entre les zones d’évaluation des contaminants d'OSPAR, la Région Mer du Nord au sens large étant celle qui en compte le plus. Seules les zones d’évaluation comptant au moins trois sites de surveillance et ayant une étendue géographique raisonnable ont été incluses dans l’évaluation de l’état et des tendances temporelles.
Figure 2 : Sites de surveillance utilisés pour évaluer les concentrations de PCB dans les sédiments, par zones d’évaluation des contaminants d'OSPAR (lignes grises), définies en appliquant des principes hydrogéographiques et des connaissances spécialisées, et non par les limites internes d'OSPAR (lignes noires). Disponible via : ODIMS
Figure 3 : Sites de surveillance utilisés pour évaluer les concentrations de PCB dans le biote (poissons, mollusques et crustacés, mammifères et oiseaux), par zones d’évaluation des contaminants d'OSPAR (lignes grises), définies en appliquant des principes hydrogéographiques et des connaissances spécialisées, et non par les limites internes d'OSPAR (lignes noires). Disponible via : ODIMS
Les données sont utilisées pour étudier les tendances de la concentration de PCB au cours de la période de 2001 à 2020 et pour comparer les concentrations à deux ensembles de valeurs d’évaluation : les Teneurs ambiantes d'évaluation (BAC) et les Critères d'évaluation environnementale (EAC). Lorsque les concentrations sont inférieures à l'EAC, elles ne devraient pas causer d'effets chroniques chez les espèces marines sensibles, et ne devraient donc présenter aucun risque important pour l’environnement. Les BAC sont utilisées pour déterminer si les concentrations sont proches de zéro pour les substances de synthèse, le but ultime de la Stratégie Substances dangereuses d'OSPAR. Les données concernant le PCB de type dioxine le plus toxique (CB118) ont été évaluées séparément de celles des six autres congénères de PCB (CB28, 52, 101, 138, 153, 180, les 6 PCB figurant sur la liste du CIEM).
Évaluation de l’état
Les concentrations des 6 PCB figurant sur la liste du CIEM (PCB non coplanaires) dans les sédiments et le biote sont supérieures à la BAC mais inférieures à l'EAC dans toutes les zones d’évaluation des contaminants d'OSPAR (Figure 4 et Figure 5).
Pour le PCB le plus toxique, de type dioxine (CB118), les concentrations ont été supérieures à l'EAC pour les sédiments dans deux des six zones d’évaluation (Manche et Mer d’Irlande). Les concentrations de CB118 dans le biote ont aussi été supérieures à l'EAC dans ces deux régions et dans cinq autres régions (Mer de Norvège, Partie nord de la fosse norvégienne, Skagerrak et Kattegat, Mer du Nord méridionale et Mer ibérique), ce qui indique la possibilité d'effets néfastes sur la vie marine dans ces zones. Les concentrations moyennes de CB118 ont été inférieures à la BAC uniquement dans le biote de la région Côtes ouest de l’Écosse et de l’Irlande.

Figure 4 : Concentrations moyennes de PCB (6 PCB figurant sur la liste du CIEM et CB118) dans les sédiments dans chaque zone d’évaluation des contaminants d'OSPAR, par rapport à l'EAC (avec des limites de confiance supérieures de 95 %), la valeur EAC étant de 1.
Remarque : Les concentrations sont significativement inférieures à l'EAC si la limite de confiance supérieure est inférieure à 1. Bleu = statistiquement significativement inférieures à la BAC. Vert = égales ou supérieures à la BAC, mais statistiquement significativement inférieures à l'EAC. Rouge = statistiquement significativement supérieures à l'EAC.

Figure 5 : Concentrations moyennes de PCB (6 PCB figurant sur la liste du CIEM et CB118) dans les poissons et les mollusques et crustacés dans chaque zone d’évaluation des contaminants d'OSPAR, par rapport à l'EAC (avec des limites de confiance supérieures de 95 %), la valeur EAC étant de 1.
Remarque : Les concentrations sont significativement inférieures à l'EAC si la limite de confiance supérieure est inférieure à 1. Bleu = statistiquement significativement inférieures à la BAC. Vert = égales ou supérieures à la BAC, mais statistiquement significativement inférieures à l'EAC. Rouge = statistiquement significativement supérieures à l'EAC.
Évaluation des tendances
Toutes les zones évaluées présentent encore une contamination historique par les PCB, mais les concentrations dans le biote et les sédiments diminuent lentement (de 2001 à 2020). Pour les sédiments, quatre régions seulement ont été évaluées pour déterminer les tendances. Une tendance à la baisse statistiquement significative a été observée pour les 6 PCB figurant sur la liste du CIEM (PCB non coplanaires) et le CB118 dans la région Mer du Nord méridionale et pour les 6 PCB figurant sur la liste du CIEM dans la région Mer du Nord septentrionale (Figure 5 et Figure 6). Aucune tendance n’a été observée pour les sédiments dans les régions Côtes ouest de l’Écosse et de l’Irlande ou Mer d’Irlande.
Sur les neuf régions affichant des tendances à la baisse significatives pour les 6 PCB figurant sur la liste du CIEM dans le biote, sept régions ont également connu une tendance à la baisse pour le CB118. Le CB118 n’a présenté aucune tendance significative à la baisse dans 4 régions (Fosse norvégienne, Mer du Nord septentrionale, Mer du Nord méridionale et Mer ibérique). L’Évaluation intermédiaire (IA) réalisée par OSPAR en 2017 a indiqué des tendances à la baisse des concentrations de PCB dans le biote dans neuf des dix régions ; seule la région Mer celtique n’a pas présenté de tendance à la baisse. Cependant, dans la présente évaluation, les 6 PCB figurant sur la liste du CIEM ainsi que le CB118 présentent une tendance à la baisse dans la région Mer celtique. À l’inverse, bien que la région Mer du Nord méridionale ait affiché une tendance à la baisse dans l’IA 2017, on n'a vu aucune tendance pour cette région dans la présente évaluation.

Figure 6 : Changement annuel en pourcentage de la concentration des PCB (les 6 PCB figurant sur la liste du CIEM et le CB118) dans les sédiments dans chaque zone d’évaluation des contaminants d'OSPAR (avec des limites de confiance de 95 %).
Remarque : Pas de changement statistiquement significatif (p < 0,05) de la concentration moyenne (cercle), diminution significative de la concentration moyenne (triangle pointant vers le bas), augmentation significative de la concentration moyenne (triangle pointant vers le haut)

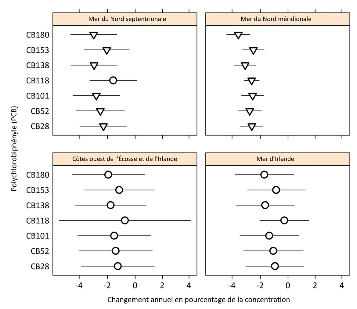
Figure 7 : Changement annuel en pourcentage de la concentration des PCB (les 6 PCB figurant sur la liste du CIEM et le CB118) dans le biote (poissons, mollusques et crustacés, mammifères et oiseaux), dans chaque zone d’évaluation des contaminants d'OSPAR (avec des limites de confiance de 95 %).
Remarque : Pas de changement statistiquement significatif (p < 0,05) de la concentration moyenne (cercle), diminution significative de la concentration moyenne (triangle pointant vers le bas), augmentation significative de la concentration moyenne (triangle pointant vers le haut)
Résultats de l’évaluation à l'échelle régionale
La contamination par les polychlorobiphényles (PCB) est largement répandue et persiste dans le milieu marin. Dans les sédiments, les concentrations de PCB sont les plus faibles dans les régions Mer du Nord septentrionale et Côtes ouest de l’Écosse et de l’Irlande. Cependant, tous les PCB ne se trouvent pas encore à des concentrations proches de zéro, même dans les stations de surveillance éloignées des activités industrielles (Figure a). Pour un seul congénère de PCB (CB28), dans deux régions (Côtes ouest de l’Écosse et de l’Irlande et Mer du Nord septentrionale), on a vu des concentrations proches de zéro dans les sédiments. Dans deux zones d’évaluation (Manche et Mer d’Irlande), il existe des endroits où les concentrations du congénère de PCB le plus toxique (CB118) présentent un risque d’effets de pollution (> EAC).
De même, les concentrations de PCB dans le biote dans la plupart des zones d’évaluation d'OSPAR sont encore supérieures à la BAC (Figure b et Figure c). On a vu des exceptions, dans la région Côtes ouest de l’Écosse et de l’Irlande, où le nombre de congénères ayant des concentrations inférieures à la BAC (CB28, 52, 101, 118 et 180) a été le plus élevé. Les concentrations moyennes dans le biote ont également été inférieures à la BAC pour certains congénères dans 5 autres régions, nommément les régions Dorsale Groenland-Écosse, Manche et Golfe de Gascogne septentrional pour le CB28 et les régions Mer celtique et Mer ibérique pour le CB28 et le CB52.

Figure c : Concentration moyenne de PCB dans le biote (poissons et mollusques et crustacés) dans chaque zone d’évaluation des contaminants d'OSPAR, par rapport à la Teneur ambiante d'évaluation (BAC) (avec des limites de confiance supérieures de 95 %), la valeur BAC étant ici de 1
Remarque : Les concentrations sont significativement inférieures à la BAC si la limite de confiance supérieure est inférieure à 1. Bleu = statistiquement significativement inférieures à la BAC. Vert = égales ou supérieures à la BAC, mais statistiquement significativement inférieures à l'EAC. Rouge = statistiquement significativement supérieures à l'EAC.

Figure b : Concentration moyenne de PCB dans les sédiments dans chaque zone d’évaluation des contaminants d'OSPAR, par rapport à la Teneur ambiante d'évaluation (BAC) (avec des limites de confiance supérieures de 95 %), la valeur BAC étant ici de 1.
Remarque : Les concentrations sont significativement inférieures à la BAC si la limite de confiance supérieure est inférieure à 1. Bleu = statistiquement significativement inférieures à la BAC. Vert = égales ou supérieures à la BAC, mais statistiquement significativement inférieures à l'EAC. Rouge = statistiquement significativement supérieures à l'EAC.
En raison de leur lente dégradation dans l’environnement, les PCB persisteront dans les sédiments marins pendant de nombreuses années. Cependant, plusieurs régions affichent des tendances à la baisse pour les sédiments et le biote (Figure d et Figure e). Les sédiments dans la région Mer du Nord méridionale ont présenté des tendances à la baisse significatives pour tous les 7 PCB figurant sur la liste du CIEM, et pour la région Mer du Nord septentrionale, les 6 PCB figurant sur la liste du CIEM ont tous présenté des tendances à la baisse, tandis que les concentrations de CB118 ont été stables. On n'a observé de tendance significative pour aucun des 7 PCB figurant sur la liste du CIEM dans les sédiments des régions Mer d’Irlande et Côtes ouest de l’Écosse et de l’Irlande. Une seule région n’a affiché aucune tendance à la baisse pour les 7 PCB figurant sur la liste du CIEM dans le biote (Mer du Nord méridionale) ; le CB52 a présenté une tendance à la hausse dans cette région. Les régions Mer de Norvège et Fosse norvégienne ont affiché une tendance à la baisse pour un seul congénère de PCB (CB118 et CB52, respectivement). Dans toutes les autres régions, on a vu une diminution des concentrations pour au moins quatre des 7 PCB figurant sur la liste du CIEM dans le biote, et les concentrations des 7 PCB figurant sur la liste du CIEM ont été en diminution dans les régions Dorsale Groenland-Écosse et Côtes ouest de l’Écosse et de l’Irlande.

Figure e : Changement annuel en pourcentage des concentrations de PCB dans les sédiments et dans le biote ((poissons, mollusques et crustacés, mammifères et oiseaux), par zone d’évaluation des contaminants d'OSPAR et par composé.
Remarque : Pas de changement statistiquement significatif (p < 0,05) de la concentration moyenne (cercle), diminution significative de la concentration moyenne (triangle pointant vers le bas), augmentation significative de la concentration moyenne (triangle pointant vers le haut)

Figure d Changement annuel en pourcentage des concentrations de PCB dans les sédiments, par zone d’évaluation des contaminants d'OSPAR et par composé.
Remarque : Pas de changement statistiquement significatif (p < 0,05) de la concentration moyenne (cercle), diminution significative de la concentration moyenne (triangle pointant vers le bas), augmentation significative de la concentration moyenne (triangle pointant vers le haut)
Résultats des séries chronologiques individuelles, par site de surveillance
Un résumé des résultats des séries chronologiques individuelles dans les sites de surveillance à travers la zone maritime d'OSPAR pour les concentrations de PCB dans les sédiments est présenté ici :https://dome.ices.dk/ohat/?assessmentperiod=2022
Au total, les concentrations moyennes de PCB dans les sédiments sont supérieures à l'EAC dans 244 séries chronologiques sur 1 051 (principalement pour le CB118). Dans 10 séries chronologiques sur 437, les concentrations moyennes ont augmenté au cours de la période d’évaluation (de 2001 à 2020). Pour le biote, les concentrations moyennes de PCB sont supérieures à l'EAC dans 337 séries chronologiques sur 2 285 (principalement pour le CB118), avec une augmentation des concentrations dans 62 séries chronologiques sur 1 826 (2001 à 2020). Il convient de noter que seuls les résultats des séries chronologiques individuelles pour des zones comptant un nombre suffisant de stations ont été inclus dans les évaluations régionales (voir le nombre de séries chronologiques utilisées dans chaque région et zone d’évaluation d'OSPAR dans le Tableau b), en raison des critères énoncés dans la méthodologie d’évaluation.
Évaluation du niveau de confiance
Un niveau de confiance élevé est associé à la qualité des données utilisées pour cette évaluation. Les données ont été collectées sur de nombreuses années en utilisant des méthodes d’échantillonnage reconnues. La couverture temporelle et spatiale est suffisante et il n'y a pas de lacunes significatives dans les données correspondant aux zones évaluées au cours des périodes pertinentes. La synthèse des données des sites de surveillance à l’échelle des zones d’évaluation est fondée sur des protocoles établis et reconnus au niveau international pour la surveillance et l’évaluation par site de surveillance, et un niveau de confiance élevé est donc également associé à la méthodologie.
Conclusion
Plus de 30 ans après l’interdiction des polychlorobiphényles (PCB), on trouve encore ces composés dans les sédiments marins et dans le biote (poissons et mollusques et crustacés) de la zone maritime d'OSPAR, et l'évaluation indique que dans certaines zones, les concentrations sont présentes à des niveaux susceptibles d’avoir des effets néfastes sur la vie marine.
Les concentrations sont en diminution dans de nombreuses sous-régions, et une seule sous-région a affiché une tendance à la hausse (CB52 dans le biote dans la région Mer du Nord méridionale). À l’exception du congénère le plus toxique (CB118), les concentrations de tous les congénères de PCB dans les sédiments et dans le biote sont inférieures au niveau auquel elles pourraient présenter un risque inacceptable pour l’environnement. Les concentrations moyennes de CB118 dans les sédiments sont égales ou supérieures à ce niveau dans deux des six zones évaluées, et pour le biote dans sept des treize zones évaluées.
Les PCB persistent longtemps dans les sédiments et peuvent potentiellement s’accumuler dans le biote et se bioamplifier en remontant les chaînes alimentaires. En raison de l'utilisation des PCB par le secteur industriel dans le passé et de leur persistance dans l’environnement, il faudra encore plusieurs décennies avant que les concentrations ne soient proches de zéro – le but ultime de la Stratégie Substances dangereuses d'OSPAR pour la période de 2010 à 2020.
Les concentrations de PCB dans les sédiments et le biote ont généralement été stables ou en diminution, seulement 2,3 % des séries chronologiques des sédiments et 3,4 % des séries chronologiques du biote présentant des tendances à la hausse. Dans la majorité des séries chronologiques, on a observé des concentrations inférieures aux concentrations qui pourraient entraîner des effets néfastes pour les organismes marins, seulement 23 % des séries chronologiques pour les sédiments et 15 % des séries chronologiques pour le biote dépassant la valeur EAC. La plupart de ces dépassements concernaient le CB118. Cependant, peu de zones d’évaluation ont présenté des concentrations inférieures à la BAC (proches de zéro) pour des congénères individuels de PCB et, pour l'ensemble des PCB, aucune région n’a présenté des concentrations inférieures à la BAC. La contamination de l’environnement par les polychlorobiphényles (PCB) dans le passé signifie que les possibilités de régler le problème des concentrations de PCB dans les sédiments et le biote sont limitées.
Parallèlement à la réduction des émissions de PCB dans les zones où ils étaient utilisés auparavant, des études ont trouvé des concentrations étonnamment élevées de PCB dans des zones éloignées des sources traditionnelles (Jaward et al., 2004 ; Gioia et al., 2008, 2011). Il semblerait que les sources primaires d’émission de PCB soient en augmentation dans certains pays africains, où les PCB n’ont pas été produits ni utilisés commercialement. Les principales sources de PCB dans les pays africains comprennent les transformateurs, la poursuite des importations de déchets électroniques provenant d’autres pays en dehors de l’Afrique, les naufrages, et la combustion de biomasse (Gioia et al., 2013, Akinrinade et al., 2020).
Lacunes dans les connaissances
On manque de données de surveillance, ou bien on ne dispose pas de suffisamment de données pour réaliser une évaluation de l’état et des tendances, surtout pour les sédiments dans certaines parties de la zone maritime d'OSPAR, en particulier dans la Région Eaux arctiques, et dans certaines parties des Régions Mers celtiques et Golfe de Gascogne et côte ibérique.
Bien que leur utilisation ait cessé, il est probable que les polychlorobiphényles (PCB) continuent de pénétrer dans l’environnement par des sources secondaires telles que le lixiviat provenant des sites d’élimination des déchets. On a besoin de mener d’autres recherches pour définir et quantifier les apports diffus provenant de sources terrestres.
Bien que l’empoisonnement secondaire n’ait pas été pris en compte lors de l’élaboration des Critères d'évaluation environnementale (EAC), comme des concentrations élevées de PCB ont été identifiées chez les cétacés, OSPAR devrait envisager de développer des EAC à des fins de protection contre l’empoisonnement secondaire.
Des recherches supplémentaires sont nécessaires pour déterminer dans quelle mesure la réduction des concentrations de polychlorobiphényles (PCB) dans les zones où ils étaient utilisés auparavant a lieu au détriment des concentrations dans des zones où les PCB n’ont pas été produits ni utilisés commercialement, comme l’Afrique, qui reçoivent des PCB sous forme de produits obsolètes et de déchets.
On a besoin de mener d’autres recherches pour définir les apports diffus provenant de sources terrestres. Des travaux de modélisation pourraient également être entrepris pour comprendre le transport atmosphérique à partir des sources qui restent. Il pourrait aussi y avoir des fuites de matières contaminées par des PCB à partir de sites d’enfouissement et de dépôt de déchets, car ceux-ci ne sont pas en mesure de produire les températures très élevées nécessaires pour détruire les PCB. La démolition de bâtiments comportant des produits d’étanchéité qui contiennent des PCB et la redistribution de sédiments par le dragage pourraient remobiliser des PCB qui étaient auparavant fixés dans les sédiments (Jepson et Law, 2016).
Akinrinade, O.E., Stubbings, W., Abdallah, M.A.E., Ayejuyo, O., Alani, R. and Harrad, S., 2020. Status of brominated flame retardants, polychlorinated biphenyls, and polycyclic aromatic hydrocarbons in air and indoor dust in AFRICA: A review. Emerging Contaminants, 6, pp.405-420.
Arp, H.P.H., Morin, N.A., Andersson, P.L., Hale, S.E., Wania, F., Breivik, K. and Breedveld, G.D., 2020. The presence, emission and partitioning behavior of polychlorinated biphenyls in waste, leachate and aerosols from Norwegian waste-handling facilities. Science of the Total Environment, 715, p.136824.
Bergman A, Rydén A, Law RJ, de Boer J, Covaci A, AlaeeM, Birnbaum L, Petreas M, Rose M, Sakai S, den Eede NV, van der Veen I (2012) A novel abbreviation standard for organobromine, organochlorine, and organophosphorus flame retardants and some characteristics of the chemicals. Environ Int 49:57–82.
Brajenović, N., Brčić Karačonji, I. and Jurič, A., 2018. Levels of polychlorinated biphenyls in human milk samples in European countries. Arhiv za higijenu rada i toksikologiju, 69(2), pp.135-153.
Breivik, K., Sweetman, A., Pacyna, J. M. and Jones, K. C. 2007. Towards a global historical emission inventory for selected PCB congeners —A mass balance approach 3. An Update, Science of the Total Environment, 377: 296–307.
Eckhardt S, Breivik K, Mano S, Stohl A (2007) Record high peaks in PCB concentrations in the Arctic atmosphere due to long-range transport of biomass burning emissions. Atmos Chem Phys 7:4527–4536
European Commission (2001). Communication from the Commission to the Council, the European Parliament and the Economic and Social Committee Community – Strategy for Dioxins, Furans and Polychlorinated Biphenyls (COM/2001/0593 final)
Gioia R, Nizzetto L, Lohmann R, Dachs J, Jones KC (2008) Polychlorinated biphenyls (PCBs) in air and seawater of the Atlantic Ocean: sources, trends and processes. Environ Sci Technol 42:1416–1422
Jaward FM, Barber JL, Booij K, Dachs J, Lohmann R, Jones KC (2004) Evidence for dynamic air-water coupling and cycling of persistent organic pollutants over open Atlantic Ocean. Environ Sci Technol 38:2617–2625
Jepson, P.D., Law R.J. (2016). Persistent pollutants, persistent threats. Science, Vol. 352, Issue 6292, pp. 1388-1389. DOI: 10.1126/science.aaf9075, http://science.sciencemag.org/content/352/6292/1388
Jepson, P.D., Deaville, R., Barber, J.L., Aguilar, À., Borrell, A., Murphy, S., Barry, J., Brownlow, A., Barnett, J., Berrow, S. and Cunningham, A.A., 2016. PCB pollution continues to impact populations of orcas and other dolphins in European waters. Scientific reports, 6(1), pp.1-17.
Lauby-Secretan B, Loomis D, Grosse Y, El Ghissassi F, Bouvard V, Benbrahim-Tallaa L, Guha N, Baan R, Mattock H, Straif K (2013) Carcinogenicity of polychlorinated biphenyls and polybrominated biphenyls. Lancet Oncol 14(4):287–288
Menad N, Björkman B, Allain EG (1998) Combustion of plastics contained in electric and electronic scrap. Resour Conserv Recycl 24:65–85
OSPAR (1997). Guidance note on the sampling and analysis of PCBs in air and precipitation. Agreement 1997-09.
OSPAR (2007). OSPAR List of Chemicals for Priority Action (updated 2007). Agreement 2004-12.
OSPAR (2008). OSPAR Publication 2008-379 CEMP Assessment Manual: Coordinated Environmental Monitoring Programme Assessment Manual for contaminants in sediment and biota
OSPAR (2009a). Background Document on CEMP Assessment Criteria for QSR 2010. Monitoring and Assessment Series. Publication no. 461/2009. ISBN 978-1-907390-08-1
OSPAR (2009b). OSPAR Agreement 2009-2. Agreement of OSPAR CEMP Assessment Criteria for the QSR 2010.
OSPAR (2016). OSPAR Coordinated Environmental Monitoring Programme (CEMP). Agreement 2016-01
OSPAR (2021). Background document on Background Assessment Concentrations (BAC) for Polybrominated Diphenyl Ethers (PBDE) in fish and shellfish, Publication Number: 796/2021, ISBN: 978-1-913840-00-6
PARCOM (1992). PARCOM Decision 92/3 on the Phasing out of PCBs and Hazardous PCB Substitutes.
Pietrzak-Fiecko R, Smoczynska K, Smoczynski SS (2005) Polychlorinated biphenyls in human milk, UHT cow's milk, and infant formulas. Pol J Environ Stud 14(2): 237–241
Stockholm Convention of Persistent Organic Pollutants (POPs) adopted to EU legislation in Regulation (EC) No 850/2004, amended 2009
Contributeurs
Auteurs principaux : Lynda Webster and Rob Fryer
Avec le soutien des groupes suivants : Working Group for Monitoring and on Trends and Effects of Substances in the Marine Environment, Task Group for the development of the Hazardous Substances Thematic Assessment and Hazardous Substances and Eutrophication Committee.
Citation
Webster, L. et Fryer, R. 2022. État et Tendances des Polychlorobiphényles (PCB) dans les Poissons, les Mollusques et Crustacés et les Sédiments. OSPAR, 2023: Bilan de santé. Commission OSPAR, Londres. Disponible via le lien suivant : https://oap.ospar.org/fr/evaluations-ospar/bilan-de-sante/2023/evaluations-des-indicateurs/pcbs-biote-sediments/
| Type d’évaluation | Évaluation d’Indicateur |
|---|---|
| Résumé des résultats | https://odims.ospar.org/en/submissions/ospar_pcb_biota_sed_snapshot_2022_06/ |
| Indicateur ODD | 14.1 D’ici à 2025, prévenir et réduire nettement la pollution marine de tous types, en particulier celle résultant des activités terrestres, y compris les déchets en mer et la pollution par les nutriments |
| Activité thématique | Substances Dangereuses |
| Documentation pertinente d’OSPAR | OSPAR Publication 2008-379 CEMP Assessment Manual: Co-ordinated Environmental Monitoring Programme Assessment Manual for contaminants in sediment and biota |
| Date de publication | 2022-06-30 |
| Conditions d’accès et d’utilisation | https://oap.ospar.org/fr/politique-de-donnees/ |
| Instantané de données | https://doi.org/10.17895/ices.data.21229139 |
| Instantané de données | https://doi.org/10.17895/ices.data.18601820 |
| Résultats des données | https://odims.ospar.org/en/submissions/ospar_pcb_biota_sediment_results_2022_06/ |
| Source des données | https://dome.ices.dk/ohat/?assessmentperiod=2022 |

