État et Tendances des Teneurs en Polybromodiphényléthers (PBDE) dans le Biote et les Sédiments
Contexte
Les polybromodiphényléthers (PBDE) sont un groupe de congénères, utilisés principalement comme retardateurs de flamme dans divers matériaux, notamment les plastiques, les textiles, les produits électroniques, les matériaux de construction, l’ameublement et les véhicules (Figure 1).
Les PBDE peuvent être introduits dans l’environnement par les émissions provenant de procédés de fabrication, l’évaporation de produits contenant des PBDE, le recyclage des déchets et les lixiviats provenant de sites d’élimination des déchets (Figure 2). Ils sont très répandus et ont été détectés dans l’air, les sédiments, les eaux de surface, les poissons et d'autres animaux marins.
Les PBDE sont toxiques, ils mettent beaucoup de temps à se dégrader et sont capables de s’accumuler dans les poissons et les mollusques et crustacés (soit par absorption directe à partir de l’eau environnante, soit indirectement par voie alimentaire). Certains PBDE ont donc été interdits, ou bien leur utilisation a été limitée dans l’Union européenne à partir de 2004. En outre, la production de certains groupes de PBDE a été interdite en 2009 par 180 pays signataires de la Convention de Stockholm.
La distribution spatiale des PBDE dans le milieu marin varie. Ils ne se dissolvent pas dans l’eau, mais se lient fortement au sol et aux sédiments. Les PBDE dans les sédiments ne sont donc pas très mobiles. Certains congénères des PBDE ont tendance à s’accumuler dans les poissons et les mollusques et crustacés plus que dans d’autres organismes. On sait que les PBDE ont des effets sur les systèmes nerveux, immunitaire et endocrinien d’oiseaux et de mammifères.
La Stratégie Substances dangereuses d'OSPAR pour la période de 2010 à 2020 avait pour objectif de parvenir à des concentrations dans le milieu marin qui soient proches de zéro dans le cas des substances de synthèse, telles que les PBDE. Les PBDE sont donc inclus dans le groupe des retardateurs de flamme bromés figurant sur la Liste OSPAR de produits chimiques devant faire l’objet de mesures prioritaires.

Figure 1 : Les polybromodiphényléthers (PBDE) sont un groupe de congénères, utilisés principalement comme retardateurs de flamme dans divers matériaux, y compris l’ameublement

Figure 2 : Site de décharge à terre présentant un risque de fuites de polybromodiphényléthers (PBDE) provenant de produits contenant ces retardateurs de flamme
Les polybromodiphényléthers (PBDE) sont un groupe de 209 différents congénères. Ils sont utilisés principalement comme retardateurs de flamme dans différents types de matériaux, notamment les plastiques, les textiles et les produits électroniques. Les trois principaux mélanges de PBDE qui ont été produits à des fins commerciales sont le pentaBDE, l’octaBDE et le décaBDE. À l’échelle mondiale, le décaBDE est le plus largement utilisé.
Les PBDE sont des retardateurs de flamme de type additif, ce qui signifie qu’ils sont combinés physiquement avec le matériau traité, plutôt que combinés chimiquement (comme dans les retardateurs de flamme réactifs) et ils sont plus susceptibles de se diffuser hors des produits (Commission européenne, 2001, 2003 ; Hutzinger et Thoma, 1987, cités dans Alaee et al., 2003). Les fuites de PBDE ont lieu durant la production, l’utilisation ou l’élimination des produits, et les PBDE sont transférés à l’océan principalement par les rivières et par transport atmosphérique (OSPAR, 2009). La présence de PBDE dans des échantillons d’air provenant de l’Arctique canadien, par exemple, fournit des preuves de leur transport sur de longues distances (de Wit, 2002).
L’avantage de ces composés pour l’industrie est leur grande résistance aux acides, aux bases, à la chaleur, à la lumière et aux composés réducteurs et oxydants. Cependant, cela devient un inconvénient dans l’environnement, où ils persistent très longtemps. Des concentrations plus élevées de ces composés sont mesurées dans des échantillons environnementaux depuis les années 1970 (de Wit, 2002). Les PBDE sont toxiques, persistants dans l’environnement, et capables de se bioaccumuler. En conséquence, les substances PBDE incluses dans les mélanges commerciaux de pentaBDE et d’octaBDE ont été interdites dans l’Union européenne en 2004 et, depuis 2009, elles sont inscrites à la Convention de Stockholm (2009), ce qui signifie qu’une majorité de pays dans le monde ont accepté d’éliminer progressivement ces composés.
On a signalé la neurotoxicité et l'immunotoxicité du PBDE et son effet sur les récepteurs des hormones thyroïdiennes chez les populations humaines sensibles (de Wit, 2002). Des effets sur l’apprentissage comportemental (Eriksson et al., 2006a, b) et la fonction hormonale (Legler, 2008) ont été signalés chez des mammifères, tandis qu’une réduction du succès reproductif a été documentée chez des oiseaux (Fernie et al., 2009).
Les molécules de PBDE plus petites sont plus toxiques et se bioaccumulent plus facilement que les molécules plus grosses. La débromation des BDE fortement bromés (tels que le décaBDE) en ces formes plus petites est une possibilité et justifie une surveillance portant sur un large éventail de congénères. Tous les PBDE sont des substances hydrophobes ou ultra-hydrophobes, qui ne se dissolvent pas dans l’eau et se lient fortement au sol ou aux sédiments (les PBDE sont plus mobiles dans l’atmosphère, car ils se fixent aux particules en suspension dans l’air, la poussière, la suie, la fumée et les gouttelettes liquides). Les PBDE dans les sédiments ne sont donc pas très mobiles et il est peu probable qu’ils se volatilisent à partir de la phase aqueuse. Plus le degré de bromation est élevé, plus la solubilité dans l’eau est faible. Les PBDE peuvent être photo-dégradés dans l’environnement (de Wit, 2004 ; Pan et al., 2016).
L’utilisation des groupes de substances sous forme de mélanges de pentaBDE et d'octaBDE est interdite dans l’Union européenne depuis 2004 (Règlement (CE) n° 552/2009 de la Commission). Le tétraBDE, le pentaBDE, l’hexaBDE et l’heptaBDE ont été inscrits à la Convention de Stockholm en 2009 et le décaBDE a été inscrit en 2017 (Convention de Stockholm, 2009 ; 2022 ; UE, 2019). Les Parties à la Convention sont donc tenues d'agir pour mettre fin à la production et à l’utilisation de ces composés. Bien qu’il n’y ait pas de production au sein de l’Union européenne, les stocks existants de produits contenant des PBDE peuvent encore agir comme une source diffuse.
L’Autorité européenne de sécurité des aliments a recommandé la surveillance de huit substances (congénères) présentant un certain intérêt, à savoir : le triBDE-28, le tétraBDE-47, le pentaBDE-99, le pentaBDE-100, l’hexaBDE-153, l’hexaBDE-154, l’heptaBDE-183 et le décaBDE-209 (EFSA, 2006). Pour sélectionner ces substances, on a pris en compte la faisabilité analytique de leur mesure, les volumes de production (enregistrés en 2006), leur présence dans les denrées alimentaires et les aliments pour animaux, leur persistance dans l’environnement et leur toxicité. Pour la surveillance environnementale au sein de l’Union européenne, des normes de qualité environnementale ont été établies pour ces congénères, à l’exclusion du BDE-183 et du BDE-209 (Commission européenne, 2011).
Critères d’évaluation
Deux critères d’évaluation sont utilisés pour évaluer les concentrations de PBDE dans les sédiments et le biote, à savoir : les Teneurs ambiantes d'évaluation (Background assessment concentrations (BAC)), et les Recommandations fédérales pour la qualité de l'environnement (Federal Environmental Quality Guidelines (FEQG)).
Les BAC ont été élaborées par OSPAR et pour les substances de synthèse utilisées pour les analyses visant à déterminer si les concentrations sont proches de zéro – le but ultime de la Stratégie Substances dangereuses d'OSPAR pour la période de 2010 à 2020. Les BAC sont des outils statistiques qui, pour les substances de synthèse, sont définis par rapport à de basses concentrations, qui permettent de conduire des analyses statistiques pour déterminer si des concentrations observées peuvent ou non être considérées comme proches de zéro. Les BAC sont calculées selon la méthode présentée dans OSPAR (2020a ; 2021).
Les FEQG sont utilisées pour évaluer l’état des sédiments et du biote (poissons et mollusques et crustacés). Des concentrations inférieures aux FEQG ne devraient pas avoir d’effets chroniques sur les organismes marins. Elles ont été élaborées en vertu de la Loi canadienne sur la protection de l’environnement de 1999, elles sont disponibles pour les congénères individuels des PBDE dans les sédiments et le biote, et elles sont fondées sur des essais écotoxicologiques (Environnement Canada, 2013). Les FEQG sont décrites en détail dans le document de fond d'OSPAR (2020b) sur les sédiments et le biote.
Au lieu des FEQG pour le biote, on pourrait utiliser les normes de qualité environnementale (NQE) de la Directive-cadre sur l’eau (DCE). La NQE est fondée sur la NQ pour la protection de la santé humaine (qui était la plus basse des NQ calculées). En raison de la méthode utilisée pour attribuer la valeur NQE correspondant aux poissons pour les PBDE (0,0085 μg kg-1 en poids humide), cette valeur est très basse par rapport aux concentrations environnementales généralement rapportées dans le biote (même dans des environnements distants, p. ex. l’Arctique). La plupart des données concernant les concentrations de PBDE dans le biote sont donc supérieures à la valeur NQE (OSPAR 2020b). La NQE pour les PBDE est également basse par rapport aux capacités analytiques (LOW) de plusieurs laboratoires de surveillance. La NQ pour l’empoisonnement secondaire est plus similaire aux FEQG (pour le BDE47 ; 44 μg kg-1 en poids humide). Cependant, alors que les FEQG sont disponibles pour les congénères individuels, la NQE est basée sur une somme de six congénères des PBDE ; certains de ceux-ci sont absents de quelques-unes des séries de données du Programme coordonné de surveillance de l’environnement (CEMP) d’OSPAR, et la NQ fournit une évaluation moins rigoureuse des homologues les plus toxiques (OSPAR 2020b). Les FEQG ont donc été choisies comme critères d’évaluation (pour les parties intéressées, une évaluation des observations par rapport à la NQE est disponible via le lien ci-dessous et montre que les concentrations moyennes pour toutes les séries chronologiques dépassent la NQE : https://dome.ices.dk/OHAT/trDocuments/2022/regional_assessment_biota_pbdes_health.html).
Pour le CEMP, les concentrations des contaminants organiques dans les sédiments sont normalisées pour un taux de 2,5 % de carbone organique (les FEQG ont été multipliées par un facteur de 2,5).
Pour les poissons, la FEQG est ajustée sur la base du poids de lipides (en supposant que les poissons entiers utilisés dans les essais de toxicité aient une teneur en lipides de 5 %), en multipliant la FEQG (sur la base du poids humide) par 20 (Tableau a, OSPAR 2020b). Les concentrations dans les poissons sont ensuite généralement évaluées sur la base du poids de lipides. Toutefois, si la teneur en lipides typique pour l’espèce/le tissu est < 3 % (https://dome.ices.dk/OHAT/trDocuments/2022/help_ac_basis_conversion.html ), les concentrations dans les poissons sont évaluées sur la base du poids humide, les FEQG étant ajustées sur la base du poids humide en utilisant les facteurs de conversion disponibles à l'adresse https://dome.ices.dk/OHAT/trDocuments/2022/help_ac_basis_conversion.html. Les concentrations dans les mollusques et crustacés sont évaluées sur la base du poids sec (car il existe trop peu d’échantillons pour lesquels on dispose de mesures du poids de lipides), les FEQG étant ajustées sur la base du poids sec en utilisant les facteurs de conversion disponibles à l'adresse https://dome.ices.dk/OHAT/trDocuments/2022/help_ac_basis_conversion.html.
| BAC | FEQG | NQE de l'UE | |||
|---|---|---|---|---|---|
| Poissons et mollusques et crustacés (μg/kg pl) | Sédiments (μg/kg ps) | Poissons et mollusques et crustacés (μg/kg pl) | Sédiments (μg/kg ps) | Poissons (μg/kg ph) | |
| BDE28 | 0,065 | 0,05 | 2400 | 110 | |
| BDE47 | 0,065 | 0,05 | 880 | 97,5 | |
| BDE66 | 0,065 | 0,05 | 97,5 | ||
| BDE85 | 0,065 | 0,05 | 1 | ||
| BDE99 | 0,065 | 0,05 | 20 | 1 | |
| BDE100 | 0,065 | 0,05 | 20 | 1 | |
| BDE126 | 0,065 | 0,05 | |||
| BDE153 | 0,065 | 0,05 | 80 | 1 100 | |
| BDE154 | 0,065 | 0,05 | 80 | 1 100 | |
| BDE183 | 0,065 | 0,05 | 14 000 | ||
| BDE209 | 0,065 | 0,05 | 47,5 | ||
| Somme des BDE 28, 47, 99, 100, 153 et 154 | 0,0085 | ||||
Notes concernant le Tableau a : ps = poids sec ; pl = poids de lipides ; ph = poids humide. Remarque : pour les sédiments, les BAC sont normalisées pour un taux de 2,5 % de carbone organique. Pour le biote, les BAC et les FEQG sont converties en d’autres bases (ph, ps) à l’aide de facteurs de conversion spécifiques aux espèces (https://dome.ices.dk/OHAT/trDocuments/2022/help_ac_basis_conversion.html).
Le Danemark a émis des réserves concernant les valeurs seuils FEQG.
État des sédiments, des poissons et des mollusques et crustacés
Des analyses similaires ont exploré l’état à l’échelle des zones d’évaluation. Deux mesures récapitulatives ont été envisagées, à savoir : le rapport logarithmique entre la concentration ajustée au cours de la dernière année de surveillance et la FEQG ; et le rapport logarithmique entre la concentration ajustée au cours de la dernière année de surveillance et la BAC. Les sites de surveillance impactés ont également été inclus dans ces analyses.
Enfin, les profils de concentration des différents congénères à l’échelle des zones d’évaluation ont été étudiés en utilisant la concentration logarithmique ajustée au cours de la dernière année de surveillance.
Le nombre total de stations pour lesquelles il existe des informations sur les tendances était de 32 pour les sédiments et de 186 pour le biote, et en ce qui concerne les informations sur l’état, ce nombre était de 78 pour les sédiments et de 250 pour le biote. Une proportion de 4 % à 50 % de ces stations ont été exclues au cours du processus de sélection décrit ci-dessus pour les quatre différents types d’évaluation. Le nombre final de stations pour chaque type d’évaluation utilisé dans chaque zone d’évaluation est indiqué dans le Tableau b.
| Région | Zone d’évaluation des contaminants d'OSPAR | Sédiments | Biote (mollusques et crustacés) | ||
|---|---|---|---|---|---|
| Tendances | État | Tendances | État | ||
| Eaux arctiques | Mer de Barents | - | - | 2* | 6 |
| Dorsale Groenland-Écosse | - | - | 4 | 5 | |
| Mer de Norvège | - | - | 3* | 4* | |
| Mer du Nord au sens large | Fosse norvégienne | - | - | 0* | 5 |
| Mer du Nord septentrionale | 6 | 14 | 10 | 12 | |
| Skagerrak et Kattegat | - | - | 10 | 15 | |
| Mer du Nord méridionale | 12* | 37 | 16 | 26 | |
| Manche | 2* | 4 | 22 | 26 | |
| Mers celtiques | Côtes ouest de l’Écosse et de l’Irlande | 3 | 6 | 17 | 23 |
| Mer d’Irlande | 7 | 14 | 25 | 31 | |
| Mer celtique | 0* | 1* | 16 | 27 | |
| Golfe de Gascogne et côte ibérique | Golfe de Gascogne septentrional | - | - | 23 | 32 |
| Mer ibérique | - | - | 24 | 24 | |
| Golfe de Cadix | - | - | - | - | |
| Totale | 30 | 76 | 172 | 236 | |
Tendances temporelles pour les sédiments et le biote (poissons, mollusques et crustacés, œufs d’oiseaux et mammifères)
Pour chaque congénère de PBDE et site de surveillance pour lequel il existe des observations (des informations détaillées sont présentées ci-dessous), les tendances temporelles et l’état des contaminants ont été évalués à l’aide des méthodes décrites dans l’outil d’évaluation en ligne des contaminants (http://dome.ices.dk/ohat/?assessmentperiod=2022). On a ensuite fait la synthèse des résultats des analyses spécifiques aux sites pour produire une évaluation régionale fondée sur la concentration moyenne et les tendances dans les 14 zones d’évaluation des contaminants d'OSPAR.
Pour les évaluations des tendances temporelles, on a inclus les données provenant des sites de surveillance représentatifs des conditions générales et exclu les données provenant des sites de surveillance impactés par une source ponctuelle de PBDE. Seules les stations pour lesquelles il existe au moins une année de données pour la période de 2015 à 2020 et au moins cinq années de données sur l’ensemble de la série chronologique sont incluses dans l’évaluation régionale. L’analyse a également été limitée aux zones d’évaluation comptant au moins trois sites de surveillance pour lesquels des informations sur les tendances étaient disponibles, ces sites de surveillance devant aussi avoir une étendue géographique raisonnable. Pour l’analyse des tendances temporelles du biote, quelques séries chronologiques concernant les œufs d’oiseaux et les mammifères de régions nordiques ont été utilisées en plus des données sur les poissons et les mollusques et crustacés. Celles-ci se limitent à l’analyse des tendances et ne sont pas utilisées pour l'état, car les seuils utilisés pour l’analyse de l'état correspondent spécifiquement aux poissons (Environnement Canada, 2013).
Pour les sédiments, les concentrations de PBDE sont normalisées pour tenir compte des changements dans la composition physique globale des sédiments, tels que la distribution granulométrique ou la teneur en carbone organique, pour toutes les zones incluses dans l’évaluation des sédiments.
La tendance temporelle pour chaque congénère de PBDE dans chaque site de surveillance a été résumée en calculant le changement annuel estimé de la concentration logarithmique, avec l’erreur-type correspondante. On a ensuite modélisé le changement annuel de la concentration logarithmique en utilisant un modèle mixte linéaire à effet fixe :
~ Zones d’évaluation des contaminants d'OSPAR
et les effets aléatoires :
~ congénère + congénère/zone d’évaluation des contaminants d'OSPAR + site de surveillance + congénère/site de surveillance [biote uniquement] + variation résiduelle.
Le choix de l'effet fixe et des effets aléatoires a été motivé par l’hypothèse selon laquelle les congénères des PBDE auraient des tendances largement similaires, puisqu’ils ont des sources similaires. Ainsi, l’effet fixe mesure la tendance commune des congénères des PBDE dans la zone d’évaluation de chaque contaminant, et les effets aléatoires mesurent la variation des tendances :
- entre des congénères communs à toutes les zones d’évaluation des contaminants d'OSPAR (congénère) ;
- entre des congénères présents dans des zones d’évaluation des contaminants d'OSPAR (congénère/zone d’évaluation des contaminants) ;
- entre des congénères, mais communs à tous les tissus et à toutes les espèces dans les sites de surveillance (congénère/site de surveillance) ; et
- la variation résiduelle.
La variation résiduelle est constituée de deux termes : la variation associée à l’estimation de la tendance à partir des séries chronologiques individuelles, dont on suppose qu'elle est connue (et indiquée par le carré de l’erreur-type) ; et un terme qui représente toute variation résiduelle supplémentaire non expliquée par les autres effets fixes et aléatoires.
Les données établissant les tendances des concentrations de PBDE à l’échelle des zones d’évaluation ont ensuite été évaluées en traçant les effets fixes estimés avec des intervalles de confiance ponctuels à 95 %. Les différences entre les congénères ont été explorées en traçant la tendance prédite pour chaque congénère et pour chaque combinaison congénère/zone d’évaluation avec des intervalles de confiance ponctuels à 95 %.
Différences entre la méthodologie utilisée pour le QSR 2023 et celle utilisée pour le QSR 2010 et l’Évaluation intermédiaire de 2017
Pour le QSR 2023, on utilise une méta-analyse pour faire la synthèse des résultats des séries chronologiques individuelles et fournir une évaluation de la tendance temporelle et un calcul de l’état au niveau des zones d’évaluation. Les méta-analyses tiennent compte à la fois de l’estimation de la tendance ou de l’état dans chaque série chronologique et de l’incertitude de cette estimation. Cette méthode est la même que celle qui a été utilisée dans l’Évaluation intermédiaire de 2017 (OSPAR 2017), et produit une évaluation à l'échelle régionale plus objective que celle qui a été possible dans le QSR 2010, pour lequel la tendance et l’état pour chaque site de surveillance ont simplement été présentés dans des tableaux.
Dans le QSR 2023, on utilise les FEQG pour évaluer l’état des sédiments et du biote (Tableau a). Aucun critère d’évaluation n’a été utilisé dans le QSR 2010 ou dans l’Évaluation intermédiaire de 2017.
Résultats
Les concentrations de polybromodiphényléthers (PBDE) ont été mesurées dans les sédiments et dans le biote provenant de sites de surveillance dans une grande partie des Régions Eaux arctiques (biote seulement), Mer du Nord au sens large, Mers Celtiques, et Golfe de Gascogne et côte ibérique (biote seulement) (Figure 3 et Figure 4). Le biote est principalement constitué de poissons et de mollusques et crustacés, mais il existe quelques séries chronologiques supplémentaires concernant des mammifères marins et des œufs d’oiseaux (utilisées uniquement pour l’analyse des tendances) dans des régions nordiques. Pour le biote, il existe donc une bonne couverture, avec l’état et les tendances pour toutes les Régions d'OSPAR et la plupart des zones d’évaluation d'OSPAR ; par contre, pour les sédiments, la couverture est limitée aux Régions Mer du Nord au sens large et Mers Celtiques. Dans toutes les stations, les observations de PBDE dans le biote couvrent la période de 1999 à 2020, et pour le PBDE dans les sédiments, elles couvrent la période de 2006 à 2020.
Figure 3 : Sites de surveillance utilisés pour évaluer la concentration de PBDE dans a) les sédiments, par zones d’évaluation des contaminants d'OSPAR (lignes grises), définies en appliquant des principes hydrogéographiques et des connaissances spécialisées, et non par les limites internes d'OSPAR (lignes noires). Les cercles bleu clair représentent les stations pour lesquelles il existe seulement des évaluations de l'état (minimum 3 années de données) tandis que les cercles violets représentent les stations où il existe aussi une évaluation des tendances (minimum 5 années de données) pour au moins un PBDE. Disponible via: ODIMS
Figure 4 : Sites de surveillance utilisés pour évaluer la concentration de PBDE dans les mollusques et crustacés, les poissons, les œufs d’oiseaux et les mammifères, par zones d’évaluation des contaminants d'OSPAR (lignes grises), définies en appliquant des principes hydrogéographiques et des connaissances spécialisées, et non par les limites internes d'OSPAR (lignes noires). Les cercles bleu clair représentent les stations pour lesquelles il existe seulement des évaluations de l'état (minimum 3 années de données) tandis que les cercles violets représentent les stations où il existe aussi une évaluation des tendances (minimum 5 années de données) pour au moins un PBDE. Disponible via: ODIMS.
Les concentrations de PBDE dans les sédiments, les poissons et les mollusques et crustacés ont été comparées aux Teneurs ambiantes d'évaluation (BAC) d'OSPAR et aux Recommandations fédérales pour la qualité de l’environnement (FEQG). Des concentrations inférieures aux FEQG signifient qu’il ne devrait pas y avoir d’effets chroniques sur les organismes marins. Les FEQG sont indiquées pour les congénères individuels, et pour quelques congénères seulement, il manque des critères d’évaluation FEQG.
Évaluation de l’état
Pour réaliser une évaluation de synthèse de l’état des teneurs en PBDE, on a utilisé la concentration moyenne par rapport aux valeurs FEQG ou BAC pour tous les congénères des PBDE. Les concentrations moyennes de PBDE dans les sédiments et le biote (poissons et mollusques et crustacés) sont statistiquement significativement inférieures aux FEQG dans toutes les zones d’évaluation des contaminants (Figure 5 et Figure 6). Par conséquent, il est peu probable qu'il y ait des effets biologiques nocifs sur les espèces marines. Les concentrations dans les sédiments sont les plus basses dans la Manche, et les concentrations dans le biote sont les plus basses dans le Golfe de Gascogne septentrional. Aucune zone d’évaluation n'a présenté des concentrations ambiantes (c.-à-d. significativement inférieures à la BAC), que ce soit dans les sédiments (BAC = 0,05 μg/kg en poids sec) ou dans le biote (BAC = 0,065 g/kg en poids de lipides).

Figure 5 : Concentrations moyennes de PBDE (moyenne des PBDE) dans les sédiments dans chaque zone d'évaluation des contaminants OSPAR, par rapport aux Recommandations fédérales de qualité pour l'environnement (FEQG) (avec des limites de confiance supérieures de 95 %).
Le vert indique des concentrations significativement (p<0,05) inférieures aux FEQG mais supérieures aux BAC.

Figure 6 : Concentrations moyennes de PBDE (moyennes des PBDE) dans les poissons et les mollusques et crustacés dans chaque zone d’évaluation des contaminants d'OSPAR, par rapport aux Recommandations fédérales pour la qualité de l’environnement (FEQG) (avec des limites de confiance supérieures de 95 %).
Le vert indique des concentrations significativement (p < 0,05) inférieures aux FEQG mais supérieures aux BAC.
Évaluation des tendances
Les tendances temporelles des concentrations de PBDE dans les sédiments et le biote ont été évaluées dans les zones pour lesquelles il existait au moins cinq années de données. Cela a donné lieu à l’évaluation de trois zones pour les sédiments et de dix zones pour le biote (Figure 7 et Figure 8). Aucune tendance à la hausse n’a été détectée. Des tendances à la baisse ont été observées dans les sédiments de la mer d’Irlande et dans 50 % des séries chronologiques du biote (Mer du Nord septentrionale, Mer du Nord méridionale, Côtes ouest de l’Écosse et de l’Irlande, Mer d’Irlande et Golfe de Gascogne septentrional). Dans les autres zones évaluées, aucune tendance statistiquement significative n’a été observée pour les moyennes des données sur les PBDE. La diminution annuelle moyenne atteint 12 % (Mer d’Irlande) et la diminution générale pour la plupart des zones d’évaluation semble indiquer que les concentrations de PBDE sont en train de diminuer dans l’ensemble de la zone maritime d'OSPAR, en particulier dans le biote.
Par rapport à l’évaluation du biote réalisée pour l’Évaluation intermédiaire de 2017 (OSPAR 2017), on voit un changement de tendance pour la Manche et la mer Ibérique. Dans l’Évaluation intermédiaire de 2017, ces zones ont présenté des tendances à la baisse significatives de > 10 % par an ; dans la présente analyse, la diminution a ralenti à < 5 % par an, l’intervalle de confiance chevauchant zéro. Pour les sédiments, on voit un changement similaire du taux de diminution entre l’Évaluation intermédiaire de 2017 et l’analyse actuelle pour les deux zones qui sont incluses dans les deux évaluations. Le mer du Nord septentrionale passe d’une diminution significative de > 5 % par an à une absence de diminution significative, et la mer d’Irlande passe d’une diminution significative de > 10 % par an à une diminution significative de < 10 % par an. Cela pourrait indiquer que, à mesure que les concentrations diminuent dans ces zones, il devient plus difficile de voir les tendances, ou que les concentrations sont en train de se stabiliser (apports plus proches des exports).

Figure 7 : Changement annuel en pourcentage de la concentration de PBDE (moyenne des PBDE) au cours des 20 dernières années, dans les sédiments dans chaque zone d’évaluation des contaminants d'OSPAR (avec des intervalles de confiance à 95 %).
Un cercle indique que la tendance n’est pas significative, un triangle indique que la tendance est significative.

Figure 8 Changement annuel en pourcentage de la concentration de PBDE (moyenne des PBDE) au cours des 20 dernières années, dans les poissons, les mollusques et crustacés et les œufs d’oiseaux dans chaque zone d’évaluation des contaminants d'OSPAR (avec des intervalles de confiance à 95 %).
Un cercle indique que la tendance n’est pas significative, un triangle indique que la tendance est significative.
Les concentrations de PBDE sont mesurées dans des échantillons de sédiments, de poissons et de mollusques et crustacés prélevés chaque année (ou toutes les quelques années) dans des sites de surveillance largement disséminés à travers les Régions Eaux arctiques (biote seulement), Mer du Nord au sens large, Mers Celtiques, et Golfe de Gascogne et côte ibérique (biote seulement). Le nombre de sites de surveillance varie considérablement d’une zone d’évaluation à l’autre, la Région Mer du Nord au sens large étant celle qui en compte le plus. Seules les zones d’évaluation comptant au moins trois sites de surveillance et ayant une étendue géographique raisonnable ont été incluses dans l’évaluation de l’état et des tendances temporelles. Les observations concernant les teneurs en PBDE dans le biote couvraient la période de 1999 à 2020, et celles concernant les PBDE dans les sédiments couvraient la période de 2006 à 2020, avec des données provenant d’au moins une station.
Les concentrations de PBDE dans les sédiments, les poissons et les mollusques et crustacés ont été comparées aux Teneurs ambiantes d'évaluation (BAC) d'OSPAR et aux Recommandations fédérales pour la qualité de l’environnement (FEQG). Des concentrations inférieures aux FEQG ne devraient pas avoir d’effets chroniques sur les organismes marins.
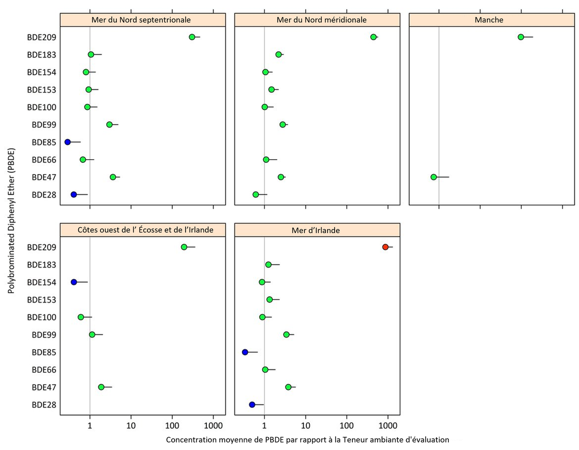
La concentration moyenne des différents congénères des PBDE dans les sédiments (normalisée relativement au carbone organique) par rapport à la BAC, pour chaque zone d’évaluation, est indiquée dans la Figure a. Les concentrations moyennes des congénères dans les sédiments sont supérieures à la BAC, sauf pour le BDE154 sur les Côtes ouest de l’Écosse et de l’Irlande, et pour le BDE85 et le BDE28 dans la mer du Nord septentrionale et la mer d’Irlande. Pour les poissons et les mollusques et crustacés (Figure b), la concentration moyenne de seulement deux congénères (BDE153 et BDE28) était inférieure à la BAC dans une seule zone d’évaluation (Golfe de Gascogne septentrional).
Toutes les concentrations moyennes des congénères des PBDE dans les sédiments étaient significativement inférieures aux FEQG dans toutes les zones d’évaluation, à l’exception du BDE209 en mer d’Irlande. Bien que, dans les quatre autres zones d’évaluation des sédiments, on n’ait pas vu de concentration de BDE209 supérieure aux FEQG, ces concentrations restent 10-100 fois plus élevées que les concentrations observées pour les autres congénères (Figure a). Cela pourrait s’expliquer par le fait que la valeur FEQG est relativement plus basse pour le PBDE209 que pour les autres congénères (Tableau a). Par ailleurs, une exposition à des niveaux plus élevés dans le passé et/ou une durée de vie plus longue dans les sédiments pour le BDE209, en raison de la forte affinité pour les particules et de la faible biodégradabilité de celui-ci (Söderstrom et al., 2004), pourraient également influer sur le résultat.

Figure a Concentration moyenne de PBDE dans les sédiments par rapport à la Teneur ambiante d'évaluation (BAC) avec des limites de confiance supérieures de 95 %.
Le bleu indique des concentrations significativement (p < 0,05) inférieures aux BAC, le vert indique des concentrations significativement (p < 0,05) inférieures aux FEQG mais supérieures aux BAC, et le rouge indique des concentrations supérieures aux FEQG.
Globalement, l’évaluation de l'état ne laisse prévoir aucun effet biologique nocif, sauf dans les sédiments de la mer d’Irlande.

Figure b : Concentration moyenne de PBDE dans les poissons et les mollusques et crustacés dans chaque zone d’évaluation des contaminants d'OSPAR, par rapport à la Teneur ambiante d'évaluation (BAC) (avec des limites de confiance supérieures de 95 %).
Concentration moyenne dans les sédiments par rapport à la Teneur ambiante d'évaluation (BAC) avec des limites de confiance de 95 %. Le bleu indique des concentrations significativement (p < 0,05) inférieures aux BAC, le vert indique des concentrations significativement (p < 0,05) inférieures aux FEQG mais supérieures aux BAC, et le jaune indique qu’il n’existe aucune FEQG pour le congénère (voir Tableau a).
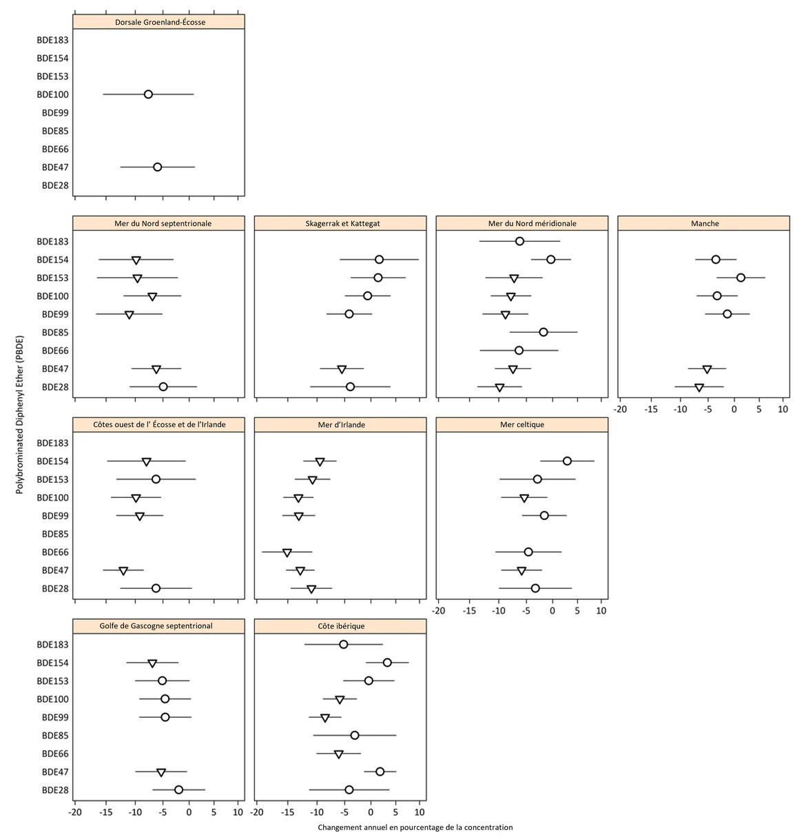
Les tendances temporelles des concentrations de PBDE dans les sédiments et le biote ont été évaluées dans des zones pour lesquelles il existait au moins cinq années de données. Le changement annuel en pourcentage des teneurs en PBDE dans chaque zone d’évaluation est indiqué dans la Figure c et la Figure d. Dans la plupart des régions, les tendances étaient stables ou à la baisse. Pour les sédiments, tous les congénères des PBDE présentent une tendance à la baisse dans la zone Mer d’Irlande.

Figure c : Changement annuel en pourcentage de la concentration des congénères des PBDE dans les sédiments dans chaque zone d’évaluation des contaminants d'OSPAR (avec des limites de confiance de 95 %).
Un cercle indique que la tendance n’est pas significative, un triangle indique que la tendance est significative.

Figure d : Changement annuel en pourcentage de la concentration des congénères des PBDE dans les poissons, les mollusques et crustacés et les œufs d’oiseaux dans chaque zone d’évaluation des contaminants d'OSPAR (avec des limites de confiance de 95 %).
Un cercle indique que la tendance n’est pas significative, un triangle indique que la tendance est significative.
Pour les poissons et les mollusques et crustacés, tous les congénères des PBDE présentent une tendance à la baisse dans les zones Mer du Nord septentrionale (à l’exception du BDE28) et Mer d’Irlande. On voit aussi des tendances à la baisse pour certains congénères et dans certaines zones : Skagerrak et Kattegat (BDE47), Mer du Nord méridionale (BDE153, BDE100, BDE99, BDE47 et BDE28), Manche (BDE47 et BDE28), Côtes ouest de l’Écosse et de l’Irlande (BDE154, BDE100, BDE99 et BDE47), Mers Celtiques (BDE100 et BDE47), Golfe de Gascogne septentrional (BDE154 et BDE47) et Mer ibérique (BDE 100, BDE99 et BDE66)
Un résumé des résultats des séries chronologiques individuelles par site de surveillance (dans l’ensemble de la zone maritime d'OSPAR) pour les concentrations de PBDE dans les sédiments et le biote est présenté ici (https://dome.ices.dk/OHAT/?assessmentperiod=2022). En résumé, dans 51 des 566 séries de surveillance des sédiments (congénères individuels) dans l'ensemble de la zone maritime d'OSPAR, les concentrations moyennes de PBDE dans les sédiments sont supérieures aux FEQG. Dans les 77 séries de surveillance des sédiments (congénères individuels), aucun site n'a présenté d'augmentation des concentrations au cours de la période d’évaluation. Par contre, 17 sites ont présenté une tendance à la baisse.
Pour les poissons et les mollusques et crustacés, sur 1 765 séries (congénères individuels), 36 seulement ont présenté des valeurs supérieures aux FEQG et 17 des 853 concentrations moyennes ont augmenté au cours de la période d’évaluation, tandis que 248 ont présenté des tendances à la baisse. Il convient de noter que les résultats des séries chronologiques individuelles ne sont pas tous inclus dans les évaluations (voir le nombre de séries chronologiques utilisées dans chaque zone d’évaluation dans le Tableau b), en raison des critères énoncés dans les méthodes d’évaluation.
Évaluation du niveau de confiance
Un niveau de confiance élevé est associé à la qualité des données utilisées pour cette évaluation. Les données ont été collectées sur de nombreuses années en utilisant des méthodes d’échantillonnage reconnues. La couverture temporelle et spatiale est suffisante et il n'y a pas de lacunes significatives dans les données des zones évaluées au cours des périodes pertinentes. La synthèse des données des sites de surveillance à l’échelle des zones d’évaluation est fondée sur des protocoles établis et reconnus au niveau international pour la surveillance et l’évaluation par site de surveillance, et un niveau de confiance élevé est donc également associé à la méthodologie.
Conclusion
Les concentrations de PBDE sont stables ou en diminution dans l’ensemble de la zone d’évaluation d'OSPAR. Bien que les concentrations soient encore supérieures aux BAC, elles sont généralement inférieures aux FEQG. Les concentrations de PBDE ne devraient donc pas avoir d’effets nocifs sur les organismes marins.
Les concentrations de PBDE dans les sédiments ainsi que dans le biote ont en général été stables (54 % des zones évaluées) ou en diminution (46 % des zones évaluées) dans l’ensemble de la zone d’évaluation d'OSPAR au cours des 20 dernières années.
Dans les zones évaluées, il n’y a aucune raison de suspecter des effets chroniques généraux sur les organismes marins, car les concentrations sont en général inférieures aux FEQG. Comme l’analyse des séries chronologiques indique en outre que les tendances varient entre des tendances stables et des tendances à la baisse pour toutes les zones (moyennes des PBDE), il n’y a aucune raison de penser que cela changera au cours des prochaines années. Cependant, aucune zone d’évaluation n’a présenté des concentrations inférieures aux BAC (proches de zéro), et l’environnement est donc toujours impacté par ces substances de synthèse, bien que cet impact diminue.
Pour les séries chronologiques individuelles, on voit une certaine variabilité, mais quelques stations seulement présentent des tendances significativement à la hausse. Cela indique qu'il existe des conditions locales qui ont un effet sur ces sites, sans toutefois modifier le tableau général de la baisse des concentrations.
Bien que des données sur l’état et les tendances concernant le biote soient notifiées pour toutes les Régions d'OSPAR, les données sur les sédiments restent limitées aux Régions Mer du Nord au sens large et Mers celtiques. Les PBDE ont une forte affinité pour les particules, car ils sont hautement hydrophobes, et ils peuvent donc avoir une longue durée de vie dans les sédiments. Bien que les concentrations dans les sédiments soient inférieures aux FEQG, il conviendrait d’inclure les données de toutes les Régions dans les évaluations futures.
Lacunes dans les connaissances
Les sites de surveillance répondant aux critères d’inclusion dans l’évaluation sont limités aux Régions II et III pour les sédiments.
En raison du potentiel de bioaccumulation, il est nécessaire de rendre comparables les concentrations de PBDE mesurées dans différents biotes (mollusques et crustacés et poissons).
La NQE de l'UE doit faire l’objet d’une étude plus approfondie avant d’être utilisée dans la zone maritime d'OSPAR.
Il existe peu de sites de surveillance pour l’évaluation des tendances temporelles et de l’état des teneurs en PBDE dans les sédiments, à l’exception des Régions II et III. On ne peut donc pas considérer que l’évaluation est représentative de la zone maritime d’OSPAR dans son ensemble. La coopération entre OSPAR et le Programme de surveillance et d’évaluation de l’Arctique (AMAP) pourrait améliorer l’accès aux données pour la Région I.
Les PBDE se bioaccumulent, certains congénères plus que d’autres (Environnement Canada, 2013). On a besoin d'une stratégie pour rendre comparables les données provenant de différentes espèces utilisées pour la surveillance, telles que les mollusques et crustacés et les poissons de différents niveaux trophiques.
En raison de la méthode utilisée dans l’Union européenne pour attribuer la norme de qualité environnementale (NQE) correspondant au biote, afin de protéger les écosystèmes marins et les écosystèmes d’eau douce ainsi que les humains contre les effets nocifs des produits chimiques dans les milieux aquatiques, la valeur pour les PBDE est très basse par rapport aux concentrations environnementales généralement notifiées pour le biote (même pour les zones vierges). Cette NQE doit donc faire l’objet d’une étude plus approfondie avant de pouvoir être utilisée dans la zone maritime d'OSPAR. De plus, il est recommandé de produire des valeurs spécifiques aux congénères, car la toxicité varie considérablement d’un congénère à l’autre, comme le montrent les travaux sur les FEQG réalisés par Environnement Canada (2013 ; Tableau a).
Alaee M., Arias P., Sjödin A., Bergman Å. (2003). An overview of commercially used brominated flame-retardants, their applications, their use patterns in different countries/regions and possible modes of release. Environment International, 29: 6, pp. 683–689.
de Wit CA. (2002). An overview of brominated flame-retardants in the environment. Chemosphere, 46:5, pp.583-624
Eriksson, P., Fischer, C. & Fredriksson, A. (2006a). Polybrominated diphenyl ethers, a group of brominated flame-retardants, can interact with polychlorinated biphenyls in enhancing developmental neurobehavioral defects. Toxicological Sciences, 94, 302-309.
Eriksson, P., Fischer, C., Wallin, M., Jakobsson, E. & Fredriksson, A. (2006b). Impaired behaviour, learning and memory, in adult mice neonatally exposed to hexabromocyclododecane (HBCDD). Environmental Toxicology and Pharmacology, 21, 317-322.
Environment Canada (2013). Federal Environmental Quality Guidelines Polybrominated Diphenyl Ethers (PBDEs). http://www.ec.gc.ca/ese-ees/05DF7A37-60FF-403F-BB37-0CC697DBD9A3/FEQG_PBDE_EN.pdf
European Commission (EC) (2001). European Union Risk Assessment Report for diphenyl ether, pentabromo derivative (CAS-No.:32534-81-9; EINECS-No.: 251-084-2) (Final approved version). Institute for Health and Consumer Protection- European Chemicals Bureau. August 2000.
European Commission (EC) (2003). European Union Risk Assessment Report for diphenyl ether, octabromo derivative (CAS-No.:32536-52-0, EINECS-No.: 251-087-9) (Final approved version). Institute for Health and Consumer Protection- European Chemicals Bureau. 2003.
European Commission CIS Working Group (2011). PolyBDEs EQS dossier 2011. Polybrominated diphenyl ethers (BDEs). Prepared by the Sub-Group on Review of the Priority Substances List (under Working Group E of the Common Implementation Strategy for the Water Framework Directive). Reviewed by the Scientific Committee on Health and Environmental Risks (SCHER)
EU (2019). REGULATION (EU) 2019/1021 OF THE EUROPEAN PARLIAMENT AND OF THE COUNCIL of 20 June 2019 on persistent organic pollutants (recast). https://eur-lex.europa.eu/legal-content/EN/TXT/PDF/?uri=CELEX:32019R1021&from=en
European Food Safety Authority (EFSA) Panel on Contaminants in the Food Chain, (2006). Advice of the Scientific Panel CONTAM related to relevant chemical compounds in the group of brominated flame retardants for monitoring in feed and food. EFSA Journal 2006;4(3):328, 4 pp. doi:10.2903/j.efsa.2006.328
Fernie, K.J., Shutt, J.L., Letcher, R.J., Ritchie, I.J. & Bird, D.M. (2009). Environmentally relevant concentrations of DE-71 and HBCD alter eggshell thickness and reproductive success of American kestrels. Environmental Science & Technology, 43, 2124-30.
Hutzinger O., Thoma H. (1987). Polybrominated dibezo-p-dioxins and dibenzofurans: the flame-retardant issue Chemosphere, 16, pp. 1877–1880
Legler, J. (2008) New insights into the endocrine disrupting effects of brominated flame retardants. Chemosphere, 73, 216-222.
OSPAR (2009) Background Document on Certain Brominated Flame Retardants –Polybrominated Diphenylethers, Polybrominated Biphenyls, Hexabromo Cyclododecane, Update 2009
OSPAR (2017). Intermediate Assessment 2017. Available at: https://oap.ospar.org/en/ospar-assessments/intermediate-assessment-2017/
OSPAR (2020a). Background document on background assessment concentrations for Polybrominated Diphenyl Ethers (PBDE) in sediment, OSPAR Commission publication 761/2020. https://www.ospar.org/documents?v=42738
OSPAR (2020b). Background document for Canadian Federal environmental Quality Guidelines (FEQGs) for Polybrominated Diphenyl Ethers (PBDEs) in sediment and biota, OSPAR Commission publication 760/2020. https://www.ospar.org/documents?v=42746
OSPAR (2021). Background document on Background Assessment Concentrations (BAC) for Polybromintaed Diphenyl Ethers (PBDE) in fish and shellfish, OSPAR Commission publication number 796/2021. https://www.ospar.org/documents?v=46274
Pan, Y., D.C.W. Tsang, Y. Wang, Y. Li, X. Yang (2016). The photodegradation of polybrominated diphenyl ethers (PBDEs) in various environmental matrices: Kinetics and mechanisms. Chemical Engineering Journal 297, 74-96
Söderstrom G, Sellström U, de Wit CA, Tysklind M. (2004) Photolytic debromination of decabromodiphenyl ether (BDE 209). Environ Sci Technol. 127-32. doi: 10.1021/es034682c . PMID: 14740727.
Stockholm Convention (2009). Stockholm Convention on Persistent Organic Pollutants (POPs) as amended in 2009. http://www.pops.int/documents/convtext/convtext_en.pdf
Stockholm Convention (2022). Stockholm convention webpage accessed February 2022: http://www.pops.int
Contributeurs
Auteurs principaux : Lucia Viñas, Anne L. Soerensen et Rob Fryer
Avec le soutien des groupes suivants : Working Group for Monitoring and on Trends and Effects of Substances in the Marine Environment (MIME), Task Group for the development of the Hazardous Substances Thematic Assessment (TG-HASTA) and Hazardous Substances and Eutrophication Committee (HASEC).
Traduction : Isabelle Wojtyniak (MCIL, MITI). Quicksilver Language Services Ltd
Citation
Viñas, L., Soerensen, A.L., et Fryer, R. 2022. État et Tendances des Teneurs en Polybromodiphényléthers (PBDE) dans le Biote et les Sédiments. OSPAR, 2023: Bilan de santé. Commission OSPAR, Londres. Disponible via le lien suivant : https://oap.ospar.org/fr/evaluations-ospar/bilan-de-sante/2023/evaluations-des-indicateurs/pbde-biote-sediments/
| Type d’évaluation | Évaluation d’Indicateur |
|---|---|
| Résumé des résultats | https://odims.ospar.org/en/submissions/ospar_pbdes_biota_sed_msfd_2022_06 |
| Indicateur ODD | 14.1 D’ici à 2025, prévenir et réduire nettement la pollution marine de tous types, en particulier celle résultant des activités terrestres, y compris les déchets en mer et la pollution par les nutriments |
| Activité thématique | Substances Dangereuses |
| Documentation pertinente d’OSPAR | OSPAR Publication 2009-394 Background Document on Certain Brominated Flame Retardants |
| Date de publication | 2022-06-30 |
| Conditions d’accès et d’utilisation | https://oap.ospar.org/fr/politique-de-donnees/ |
| Instantané de données | https://doi.org/10.17895/ices.data.21229139 |
| Instantané de données | https://doi.org/10.17895/ices.data.18601820 |
| Résultats des données | https://odims.ospar.org/en/submissions/ospar_pbdes_biota_sed_results_2022_06/ |
| Source des données | https://dome.ices.dk/OHAT/?assessmentperiod=2022 |

