Status and Trends in the Concentrations of Polycyclic Aromatic Hydrocarbons (PAHs) in Sediment
D8 - Concentrations of Contaminants
D8.1 - Concentration of contaminants
Mean concentrations of polycyclic aromatic hydrocarbons (PAHs) in sediment are below levels likely to harm marine species in the areas assessed, but are above natural background concentrations in four of the six areas assessed. Mean concentrations show no statistically significant change in four areas and are decreasing in two.
Background
Polycyclic aromatic hydrocarbons (PAHs) are natural components of coal and oil, and are also formed during the combustion of fossil fuels and organic material. PAHs also occur as a result of natural processes such as forest fires. PAHs enter the marine environment through atmospheric deposition, road run-off, industrial discharges and oil spills ( Common indicator oil spills ). PAHs in the marine environment often end up in marine sediment, where they can become trapped in lower layers unless the sediments are disturbed. Associations have been demonstrated between the incidence of some diseases in flatfish and the concentrations of PAHs in the sediment over which they live and feed.
The OSPAR Hazardous Substances Strategy has the ultimate aim of achieving concentrations in the marine environment near natural background values for naturally occurring substances and close to zero for man-made synthetic substances. Due to their persistence in the marine environment, their potential to bioaccumulate and their toxicity, analyses of PAH concentrations in sediment and shellfish is reported in the OSPAR Coordinated Environmental Monitoring Programme (CEMP). Monitoring PAHs in sediment across the OSPAR Maritime Area began between 1995 and 1999.

Oil rig – Polycyclic aromatic hydrocarbons (PAHs) can enter the marine environment via industrial discharges and as a result of oil spills

Sediment grab – Polycyclic aromatic hydrocarbons (PAHs) can accumulate in marine sediments © Marine Scotland Science
Polycyclic aromatic hydrocarbons (PAHs) are hydrocarbons composed of two or more fused aromatic rings, encompassing both parent (non-alkylated) compounds and alkylated homologues. Although PAHs can be produced through natural processes, they also arise from anthropogenic sources. Incomplete combustion processes are a major source of PAHs, but they can also be of petrogenic origin (crude oils or refinery products). PAHs of petrogenic origin include mainly alkylated, 2-ring and 3-ring PAHs formed as a result of diagenetic processes, whereas PAHs from pyrolytic sources mainly comprise the heavier, parent (non-alkylated) PAHs. Assessment of the PAH profile, including PAH ratios such as the phenanthrene / anthracene ratio or the fluoranthene / pyrene ratio can give an indication of the source of PAHs.
PAHs are of concern due to their persistence, potential to bioaccumulate and toxicity. They are therefore included on the OSPAR List of Chemicals for Priority Action. The analyses of PAHs in both sediment and shellfish are reported in the OSPAR Coordinated Environment Monitoring Programme (CEMP).
PAH properties will vary considerably depending on the number of rings. There are marked differences in the behaviour of PAHs in the aquatic environment between the low molecular weight compounds (e.g. naphthalene) and the high molecular weight compounds (e.g. benzo[g,h,i]perylene) as a consequence of their differing physical-chemical properties. The low molecular weight compounds are water soluble; whereas the high molecular weight compounds are relatively insoluble and hydrophobic, and can attach to both organic and inorganic particulates within the water column. PAHs derived from combustion sources may be deposited directly to the marine environment already adsorbed to atmospheric particulates, such as soot.
PAHs can enter the marine environment through atmospheric deposition, run-off, industrial discharges and as a result of oil spills. Sediment will act as a sink for PAHs in the marine environment.
PAHs are also controlled by other international instruments, for example the United Nations Economic Commission for Europe Convention on Long-Range Transboundary Air Pollution (directed by the United Nations Economic Commission for Europe. This obliges its member countries to reduce their emissions of persistent organic pollutants such as PAHs with the ultimate objective of eliminating discharges and emissions.
In assessing polycyclic aromatic hydrocarbons (PAHs) both ‘relative’ and ‘absolute’ aspects have been analysed:
• ‘Trend assessment’ or spatial distribution assessment to focus on relative differences and changes on spatial and temporal scales – provides information about the rates of change and whether PAH contamination is widespread or confined to specific locations; and
• ‘Status assessment’ of the significance of the (risk of) pollution, defined as the status where PAHs are at a hazardous level, usually requires assessment criteria that take account of the possible severity of the impacts and hence require criteria that take account of the natural conditions (background concentrations) and ecotoxicology of the contaminants. For example, Environmental Assessment Criteria (EAC) are tools in this type of assessment.
OSPAR has clarified that in assessing the Co-ordinated Environmental Monitoring Programme (CEMP) data the primary assessment value used in the assessment of PAH concentrations in sediment and biota “corresponds to the achievement, or failure to achieve, statutory targets or policy objectives for contaminants in these matrices” (OSPAR, 2009). This set of assessment criteria was specifically compiled for the assessment of CEMP monitoring data on hazardous substances contributing to the Quality Status Report (QSR) 2010. The use of this set was considered an interim solution for the purposes of the QSR 2010 until more appropriate approaches to defining assessment criteria could be agreed on and implemented. These criteria have also been used in the annually recurring CEMP assessments since 2010 and will be used until OSPAR adopts improved assessment criteria and subject to the conditions set out in the agreement.
Temporal trends in PAH concentrations in sediment are presented. Two assessment criteria are used to assess PAH concentrations in sediment: Background Assessment Concentrations (BACs) and United States Environmental Protection Agency (EPA) sediment quality guidelines; Effects Range-Low (ERL).
OSPAR IA 2017 Indicator Assessment values are not to be considered as equivalent to proposed European Union Marine Strategy Framework Directive (MSFD) criteria threshold values. However, they can be used for the purposes of their MSFD obligations by those Contracting Parties that wish to do so.
Provenance and limitations of BACs
Background assessment concentrations (BACs) were developed by OSPAR for testing whether measured concentrations are near natural background levels for naturally occurring substances and close to zero for man-made substances, the ultimate aim of the OSPAR Hazardous Substances Strategy. Mean concentrations significantly below the BAC are said to be near natural background concentrations. BACs are statistical tools defined in relation to the background concentrations or low concentrations, which enable statistical testing of whether observed concentrations could be considered to be near natural background concentrations.
Background concentrations (BCs) are assessment tools intended to represent the concentrations of hazardous substances that would be expected in the North-East Atlantic if certain industrial developments had not happened. They represent the concentrations of those substances at ‘remote’ sites, or in ‘pristine’ conditions based on contemporary or historical data respectively, in the absence of significant mineralisation and / or oceanographic influences. In this way, they relate to the background values referred to in the OSPAR Hazardous Substances Strategy. BCs for man-made substances should be regarded as zero. It is recognised that natural processes such as geological variability or upwelling of oceanic waters near the coast may lead to significant variations in background concentrations of contaminants, for example trace metals. The natural variability of background concentrations should be taken into account in the interpretation of CEMP data, and local conditions should be taken into account when assessing the significance of any exceedance.
Low concentrations (LCs) are values used to assist the derivation of BACs where there have been difficulties in assembling a dataset on concentrations in remote or pristine areas from which to derive BCs. LCs have been prepared by the International Council for the Exploration of the Sea on the basis of datasets from areas that could generally be considered remote but which could not be guaranteed to be free from influence from long-range atmospheric transport of contaminants. LCs have also been used to assess concentrations in sediments from Spain due to the specific bulk composition of sediments from the coasts of the Iberian Peninsula. It is recognised that natural background concentrations may be lower than the LCs and that they may not be directly applicable across the entire Maritime Area.
BACs are calculated according to the method set out in Section 4 of the CEMP Assessment Manual (OSPAR, 2008). The outcome of this method is that, on the basis of what is known about variability in observations, there is a 90% probability that the observed mean concentration will be below the BAC when the true mean concentration is at the BC. Where this is the case, the true concentrations can be regarded as ’near background’ (for naturally occurring substances) or ’close to zero’ (for man-made substances).
BACs are calculated on the basis of variability within the CEMP dataset currently available through databases held by the ICES Data Centre and will be refined at the working level by the relevant assessment group as further CEMP monitoring data are collected.
Provenance and limitations of ERLs
Because OSPAR has not yet established Environmental Assessment Criteria (EACs) for PAHs in sediment, an alternative means of assessment is required. ‘Effects range’ values were developed by the United States Environmental Protection Agency (EPA) as sediment quality guidelines for assessing the ecological significance of contaminant concentrations in sediment to protect against the potential for adverse biological effects on organisms. Concentrations below the Effects Range-Low (ERL) level rarely cause adverse effects in marine organisms.
The ERL value is defined as the lower tenth percentile of the data set of concentrations in sediments which were associated with biological effects. Adverse effects on organisms are rarely observed when concentrations fall below the ERL value, and the ERL therefore has some parallels with the philosophy underlying the OSPAR EACs and the Environmental Quality Standards (EQSs) of the European Union Water Framework Directive. The procedure by which ERL criteria are derived is very different from the methods used to derive EACs and EQSs, and so precise equivalence between the two sets of criteria should not be expected. ERL values are to be used in sediment assessments of PAHs as an interim solution where recommended EACs are not available.
Assessment methods
For each PAH compound at each monitoring site, the time series of concentration measurements was assessed for temporal trends and status using the methods described in the contaminants online assessment tool (http://dome.ices.dk/osparmime2016/main.html). The results from these individual time series were then synthesised at the assessment area scale in a series of meta-analyses.
For temporal trends, those monitoring sites that were representative of general conditions were considered and those monitoring sites impacted due to a point source and baseline monitoring sites where temporal trends would not be expected were excluded. Analysis was also restricted to assessment areas where there were at least three monitoring sites with trend information and where those monitoring sites had reasonable geographic spread.
The temporal trend for each PAH compound at each monitoring site was summarised by the estimated annual change in log concentration, with its associated standard error. The annual change in log concentration was then modelled by a linear mixed model with a fixed effect:
~ OSPAR contaminants assessment area
and random effects:
~ compound + compound: OSPAR contaminants assessment area + monitoring site + compound: monitoring site + within-series variation
The choice of fixed and random effects was motivated by the assumption that the PAH compounds would have broadly similar temporal trends, since they have similar sources. Thus, the fixed effect measures the common temporal trend in PAH compounds in each assessment area and the random effects measure variation in trends:
- between compounds common across contaminants assessment area (compound);
- between compounds within contaminants assessment area (compound: contaminants assessment area);
- between monitoring sites common across compounds (monitoring site); and
- residual variation (compound: monitoring site + within-series variation).
There are two residual terms. Within-series variation is the variation associated with the estimate of the temporal trend from the individual time series and is assumed known (and given by the square of the standard error). Compound: monitoring site allows for any additional residual variation.
Evidence of temporal trends in PAH concentration at the assessment area scale was then assessed by plotting the estimated fixed effects with point-wise 95% confidence intervals. Differences between compounds were explored by plotting the predicted trend for each compound and for each compound / assessment area combination with point-wise 95% confidence intervals.
Similar analyses explored status at the assessment area. Two summary measures were considered: the log ratio of the fitted concentration in the last monitoring year to the ERL; and the log ratio of the fitted concentration in the last monitoring year to the BAC. Baseline monitoring sites were also included in these analyses.
Finally, concentration profiles across compounds at the assessment area scale were explored using the fitted log concentration in the last monitoring year.
BACs and / or ERLs are available for the PAHs shown in Table a.
| Abbreviation | BAC (μg/kg dw) | BAC (μg/kg dw) | ERL (μg/kg dw) | |
|---|---|---|---|---|
| All assessment areas except Iberian Sea and Gulf of Cadiz | Iberian Sea and Gulf of Cadiz | All OSPAR assessment areas | ||
| Naphthalene | 8 | 160 | ||
| Phenanthrene | PA | 32 | 7.3 | 240 |
| Anthracene | ANT | 5 | 1.8 | 85 |
| Dibenzothiophene | 190 | |||
| Fluoranthene | FLU | 39 | 14.4 | 600 |
| Pyrene | PYR | 24 | 11.3 | 665 |
| Benz[a]anthracene | BAA | 16 | 7.1 | 261 |
| Chrysene (including triphenylene) | CHR | 20 | 8.0 | 384 |
| Benzo[a]pyrene | BAP | 30 | 8.2 | 430 |
| Benzo[g,h,i]perylene | BGHIP | 80 | 6.9 | 85 |
| Indeno[123-c,d]pyrene | ICDP | 103 | 8.3 | 240 |
Table a notes:
- BACs are normalised to 2.5% organic carbon in all assessment areas except the Iberian Sea and Gulf of Cadiz, where BACs are not normalised.
The number of time series used in each OSPAR region and assessment area is shown in Table b.
| Region | OSPAR assessment area | Trends | Status |
|---|---|---|---|
| Greater North Sea | Northern North Sea | 25 | 26 |
| Southern North Sea | 39 | 51 | |
| English Channel | 6 | 40 | |
| Celtic Seas | Irish and Scottish West Coast | 10 | 10 |
| Irish Sea | 15 | 23 | |
| Celtic Sea | 2 | 2 | |
| Bay of Biscay and Iberian Coast | Iberian Sea | 0 | 15 |
| Gulf of Cadiz | 10 | 14 |
Differences in methodology used for the IA 2017 compared to the QSR 2010
For the IA 2017, a meta-analysis is used to synthesise the individual time series results and provide an assessment of status and temporal trend at the assessment area level. Meta-analyses take into account both the estimate of status or temporal trend in each time series and the uncertainty in that estimate. They provide a more objective regional assessment than was possible in the QSR 2010, where a simple tabulation of the trend and status at each monitoring site was presented.
Results
Polycyclic aromatic hydrocarbon (PAH) concentrations were measured in sediment samples collected between 1995 and 2015 from monitoring sites throughout much of the Greater North Sea, Celtic Seas, and Bay of Biscay and Iberian Coast (Figure 1), at frequencies ranging from annually to every five years.
The number of monitoring sites varied widely between OSPAR contaminant assessment areas, with the Greater North Sea having the most. Only assessment areas with at least three monitoring sites and a reasonable geographic spread were included in the assessment of status and temporal trends.

Figure 1: Monitoring sites used to assess PAH concentrations in sediment by OSPAR contaminants assessment areas (white lines) determined by hydrogeographic principles and expert knowledge not OSPAR internal boundaries

Figure 2: Mean PAH concentration in sediment in each OSPAR contaminants assessment area relative to the Effects Range-Low (ERL) (with 95% upper confidence limits)
Value of 1 means that the mean concentration equals the ERL. Blue: the mean concentration is statistically significantly (p <0.05) below the Background Assessment Concentration (BAC) and the ERL. Green: mean concentration is statistically significantly below the ERL but not statistically significantly below the BAC

Figure 3: Percentage yearly change in PAH concentrations in each OSPAR contaminants assessment area
Statistically significant (p <0.05) downward temporal trends (downward triangle), no statistically significant (p <0.05) change (circle). 95% confidence limits (lines)
PAH concentrations were compared against two assessment criteria: the OSPAR Background Assessment Concentration (BAC) and the United States Environmental Protection Agency’s Effects Range-Low (ERL). Adverse effects on marine organisms are rarely observed when concentrations are below the ERL value.
Mean PAH concentrations in sediment are statistically significantly below the ERL in all contaminants assessment areas (Figure 2). Therefore adverse biological effects in marine species are unlikely. Concentrations are lowest in the Gulf of Cadiz and in the Irish and Scottish West Coast sediments and are at background (i.e. statistically significantly below the BAC). In the other four assessment areas mean concentrations are below the ERL but not statistically significantly below the BAC.
Temporal trends in the PAH concentrations in sediment were assessed for the period between the earliest monitoring date (1995 to 1999) and 2015. PAHs in sediment were assessed in six areas where there were at least five years of data (Figure 3). PAH concentrations are decreasing in the Gulf of Cadiz and the English Channel. In the other four assessed areas concentrations show no statistically significant trend.
There is high confidence in the assessment and sampling methodology and high confidence in the data used.
Regional Assessment Results
Polycyclic aromatic hydrocarbon (PAH) concentrations are measured in sediment samples taken annually (or every few years) from monitoring sites throughout much of the Greater North Sea, Celtic Seas, and Bay of Biscay and Iberian coast (Figure 3). The number of monitoring sites varies widely between assessment areas, with the Greater North Sea having the most. Only assessment areas with at least three monitoring sites and a reasonable geographic spread were included in the assessment of status and temporal trends (Table b). All monitoring sites in the Iberian Sea were classed as impacted (close to a point source) and therefore were not included in the area assessments of status and temporal trends.
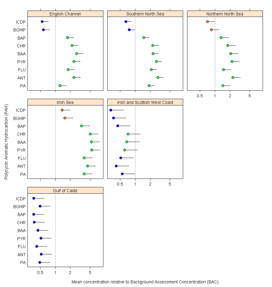
PAH concentrations were compared against two assessment criteria: the OSPAR Background Assessment Concentration (BAC) and the United States Environmental Protection Effects Range-Low (ERL). Mean PAH concentrations (normalised to organic carbon in the Greater North Sea and Celtic Seas) relative to the BAC for each assessment area are shown in Figure a. Mean PAH concentrations in sediment were lowest in the Gulf of Cadiz and in the Irish and Scottish West Coast sediments. Concentrations were statistically significantly below the BACs for all individual PAHs in the Gulf of Cadiz and for six of the nine PAH compounds in the Irish and Scottish West Coast. Concentrations were also statistically significantly below BACs for two individual PAHs in the English Channel and Southern North Sea. The Irish Sea and Northern North Sea concentrations are not statistically significantly below the BACs for any PAHs.

Figure a: Mean PAH concentration in sediment in each OSPAR contaminants assessment area, relative to the background assessment concentration (BAC) (with 95% upper confidence limits)
Value of 1 means that the mean concentration equals the BAC. Blue, mean concentration is statistically significantly (p <0.05) below the BAC. Green, mean concentration is statistically significantly below the Effects Range-Low (ERL), but not significantly below the ERL. Orange, there is no ERL and the mean concentration is not significantly below the BAC. ICDP, indeno[123-cd]pyrene; BGHIP, benzo[ghi]perylene; BAP, benzo[a]pyrene; CHR, chrysene (including triphenylene); BAA, benz[a]anthracene; PYR, pyrene; FLU, fluoranthene; ANT, anthracene; PA, phenanthrene
Mean PAH concentrations (normalised to organic carbon in the Greater North Sea and Celtic Seas) relative to the ERL for each assessment area are shown in Figure b.

Figure b: Mean PAH concentration in sediment in each OSPAR contaminants assessment area, relative to the Effects Range-Low (ERL) value by assessment area and compound (with 95% upper confidence limits)
Value of 1 means that the mean concentration equals the ERL. Green, mean concentration is statistically significantly (p <0.05) below the ERL but not significantly below the Background Assessment Concentration (BAC). Blue, mean concentration is statistically significantly below the ERL and the BAC. ICDP, indeno[123-cd]pyrene; BGHIP, benzo[ghi]perylene; BAP, benzo[a]pyrene; CHR, chrysene (including triphenylene); BAA, benz[a]anthracene; PYR, pyrene; FLU, fluoranthene; ANT, anthracene; PA, phenanthrene
All individual PAH concentrations in sediment are significantly below the ERL in all assessment areas. Therefore, adverse biological effects in marine species are unlikely in the assessed areas. The PAH profile in all assessment areas was typical of pyrolytic sources, being dominated by the heavier 4-ring to 6-ring PAH compounds.
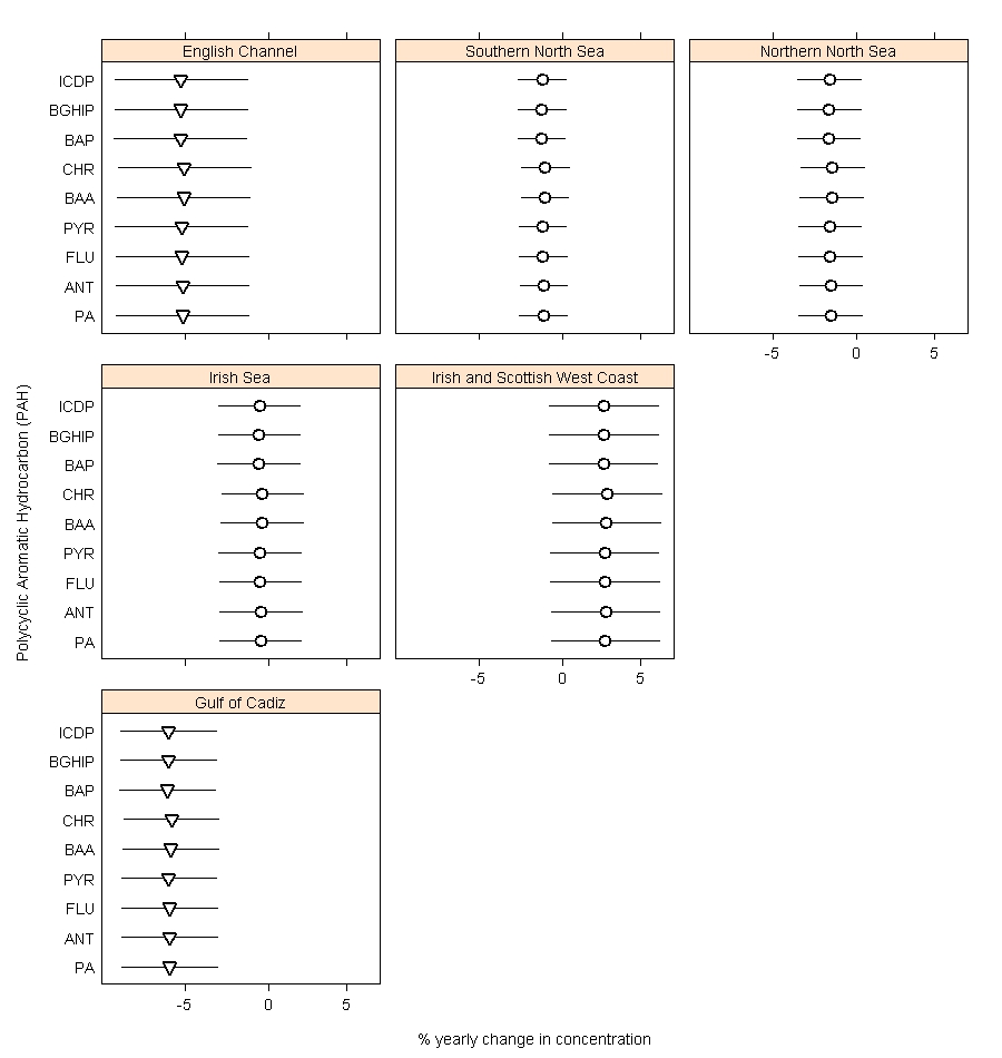
Temporal trends in PAH concentrations were assessed in areas where there were at least five years of data. The percentage yearly change for each PAH in each assessment area is shown in Figure c.

Figure c: Mean annual trends in PAH concentration in sediment by OSPAR contaminants assessment area and compound.
No statistically significant (p <0.05) change (circle), statistically significant downward trends (downward triangle). ICDP, indeno[123-cd]pyrene; BGHIP, benzo[ghi]perylene; PYR, pyrene; BAA, benz[a]anthracene; BAP, benzo[a]pyrene; PA, phenanthrene; ANT, anthracene; CHR, chrysene (including triphenylene); FLU, fluoranthene
Individual Time Series Results per Monitoring Site
A summary of individual time series results per monitoring site (across the OSPAR Maritime Area) for PAH concentrations in sediments is presented here http://dome.ices.dk/osparmime2016/regional_assessment_sediment_pah_(parent).html. In summary, at 184 out of 1597 monitoring sites across the OSPAR Maritime Area, mean concentrations of PAH in sediment are above the ERL. At 35 out of 1104 monitoring sites, mean concentrations have increased over the assessment period. It should be noted that not all individual time series results are included in the assessments (see number of time series used in each assessment area in Table b), due to the criteria set out in the assessment methods.
Confidence Assessment
Conclusion
Mean polycyclic aromatic hydrocarbon (PAH) concentrations in sediment were at background levels in two of the six assessed contaminants assessment areas. Mean PAH concentrations were below the Effects-Range Low (ERL) in all assessment areas and therefore are unlikely to cause adverse effects in marine organisms.
However, PAH concentrations in sediment need to be kept under surveillance, because in four assessment areas concentrations are above background levels. Concentrations show no statistically significant trend in four areas, and are in decline only in the English Channel and Gulf of Cadiz.
PAHs originate from natural sources and so they will always be present in the marine environment. However, better use of emission control technology in combustion processes could improve the situation further and reduce concentrations to natural levels.
Offshore oil and gas extraction can release PAHs. The OSPAR assessment of discharges, spills and emissions from the offshore oil and gas industry has shown a reduction in oil discharged in produced water, due to measures put in place by OSPAR, but no statistically significant temporal trend in the number of oil spills or the quantity of oil spilled (Common indicator Discharges, Spills and Emissions).
Knowledge Gaps
There is a lack of monitoring data for polycyclic aromatic hydrocarbons (PAHs) in sediment, particularly for Arctic Waters and some parts of the Greater North Sea, Celtic Seas, and Bay of Biscay and Iberian Coast. Cooperation between OSPAR and the Arctic Monitoring and Assessment Programme (AMAP) would improve access to data for Arctic Waters.
The Effects Range-Low (ERL) developed by the United States Environmental Protection Agency was used in the assessment because there are no OSPAR Environmental Assessment Criteria (EACs) currently available. There is a need for EACs to be developed for both alkylated and parent PAH in sediment.
Baumard, P., Budzinski, H., Garrigues, P., Narbonne, J. F., Burgeot, T. Michel, X. and Belloccq, J. 1999. Polycyclic aromatic hydrocarbon burden of mussels (Mytilius sp.) in different marine environments in relation with sediment and PAH contamination and bioavailability. Marine Environment Research, 47, 415 – 439.
Davis, H. K., Moffat, C. F. and Shepherd N. J. 2002. Experimental tainting of marine fish by three chemical dispersed petroleum products, with comparisons to the Braer oil spill. Spill Science and Technology Bulletin, 7, 257 – 278
Marvanova, S., Vondracek, J., Pencikova, K., Trilecova, L., Krcmar, P., Topinka, J., Novakova, Z., Milcova, A., Machala, M. 2008. Toxic effects of methylated benz[a]anthracenes in liver cells. Chemical Research in Toxicology, 21, 503 – 512.
OSPAR Publication 2008-379 CEMP Assessment Manual: Co-ordinated Environmental Monitoring Programme Assessment Manual for contaminants in sediment and biota
OSPAR Publication 2009-461 Background Document on CEMP Assessment Criteria for the QSR 2010
Richardson, D. M., Davies, I. M., Moffat, C. F., Pollard, P. and Stagg, R. M. 2001. Biliary PAH metabolites and EROD activity in flounder (Platichthys flesus) from a contaminated estuarine environment, Journal of Environmental Monitoring, 3, 610 - 615.
Stagg, R. M., McIntosh A. M. and Mackie, P. 1995. The induction of hepatic mono-oxygenase activity in dab (Limanda limanda) in relation to environmental contamination with petroleum hydrocarbons in the North Sea. Aquatic Toxicology, 33: 254-264.
| Sheet reference | HASEC17/D806 |
|---|---|
| Assessment type | Intermediate Assessment |
| Context (1) | Hazardous Substances |
| Context (2) | Baumard, P., Budzinski, H., Garrigues, P., Narbonne, J. F., Burgeot, T. Michel, X. and Belloccq, J. 1999. Polycyclic aromatic hydrocarbon burden of mussels (Mytilius sp.) in different marine environments in relation with sediment and PAH contamination and bioavailability. Marine Environment Research, 47, 415 – 439. |
| Context (3) | D8 - Concentrations of Contaminants |
| Context (4) | D8.1 - Concentration of contaminants |
| Point of contact | Dr Lynda Webster, Marine Scotland Science, UK |
secretariat@ospar.org | |
| Metadata date | 2017-06-05 |
| Title | Status and Trends in the Concentrations of Polycyclic Aromatic Hydrocarbons (PAHs) in Sediment |
| Resource abstract | Common indicator assessment of polycyclic aromatic hydrocarbons in sediment. Applicable to the Greater North Sea, Celtic Seas, Bay of Biscay and Iberian Coast. |
| Linkage | https://www.ospar.org/convention/agreements?q=Agreement+2004-12&t=&a=&s= |
| Topic category | Environment |
| Indirect spatial reference | L3.2.2.1;L3.2.3.1, L3.2.8.1, L3.2.8.2, L3.2.8.3, L3.2.5.1, L3.2.5.2, L3.2.5.3, L3.2.5.4, L3.2.5.5, L3.2.5.6, L3.2.5.7, L3.2.5.8, L3.2.5.9, L3.2.5.10, L3.2.5.11, L3.2.5.12, L3.2.5.13, L3.2.5.14, L3.2.5.15, L3.2.5.16, L3.2.5.18, L3.2.5.19, L3.2.5.20, L3.2.5.21, L3.2.5.22, L3.2.5.23, L3.2.5.24, L3.2.5.25, L3.2.5.26, L3.2.5.27, L3.2.6.1, L3.3.1.1, L3.3.1.3, L3.3.1.4, L3.3.2.1, L3.3.2.2, L3.3.2.3, L3.3.2.4, L3.3.2.5, L3.3.2.6, L3.3.2.7, L3.3.2.8, L3.3.2.9, L3.3.2.10, L3.3.2.11, L3.3.2.12, L3.3.2.13, L3.3.2.14, L3.3.2.15, L3.3.2.16, L3.3.2.17, L3.3.2.18, L3.3.2.19, L3.3.2.20, L3.3.2.21, L3.3.2.22, L3.3.2.23, L3.3.2.24, L3.3.2.25, L3.3.2.26, L3.3.2.27, L3.3.2.28, L3.3.2.29, L3.3.2.30, L3.3.2.31, L3.3.2.32, L3.3.2.33, L3.3.2.34, L3.3.3.1, L3.3.3.2, L3.3.3.3, L3.3.3.4, L3.3.3.5, L3.3.3.6, L3.3.3.7, L3.3.3.8, L3.3.3.9, L3.3.3.10, L3.3.3.11, L3.3.3.12, L3.3.3.13, L3.3.3.14, L3.3.3.15, L3.3.3.16, L3.3.3.17, L3.3.3.19, L3.3.3.20, L3.3.3.21, L3.3.3.22, L3.3.3.23, L3.3.3.24, L3.3.3.25, L3.3.3.26, L3.3.3.27, L3.3.3.28, L3.3.3.29, L3.3.3.30, L3.3.3.31, L3.3.3.32, L3.3.3.33, L3.2.7.8, L3.2.5.28, L3.3.1.5, L3.2.5.29, L3.3.2.35, L3.3.3.34, L3.3.2.36, L3.2.7.10, L3.2.5.30, L3.2.5.31, L3.2.6.2, L3.3.3.35, L3.3.2.37, L3.2.2.5, L3.3.3.36, L3.3.3.37, L3.2.4.1, L3.3.3.18, L3.2.2.2, L3.2.2.3, L3.2.2.4, L3.2.5.32, L3.4.1.2 |
| N Lat | 62.0000008852327 |
| E Lon | 11.0587692133286 |
| S Lat | 36.0002573554926 |
| W Lon | -12.0250000001498 |
| Countries | BE, DE, DK, ES, NL, UK |
| Start date | 1995-01-01 |
| End date | 2015-12-31 |
| Conditions applying to access and use | https://www.ospar.org/site/assets/files/1215/ospar_data_conditions_of_use.pdf |
| Data Snapshot | https://odims.ospar.org/documents/316/download |
| Data Results | http://dome.ices.dk/osparmime2016/regional_assessment_sediment_pah_(parent).html |
| Data Results | https://odims.ospar.org/documents/297/download |
| Data Source | http://ices.dk/marine-data/data-portals/Pages/DOME.aspx |
| Data Source | http://dome.ices.dk/osparmime2016/main.html |
| Data Source | http://dome.ices.dk/views/ContaminantsSediment.aspx |
| Data Source | https://odims.ospar.org/search/?title__icontains=contaminants%20-%20sediment&limit=100&offset=0 |


