Status and Trends in the Concentrations of Polycyclic Aromatic Hydrocarbons (PAHs) in Shellfish
D8 - Concentrations of Contaminants
D8.1 - Concentration of contaminants
Although mean concentrations of polycyclic aromatic hydrocarbons (PAHs) in shellfish in all ten assessed areas are above natural background concentrations, they are below levels likely to harm marine species. Mean concentrations are decreasing or show no statistically significant change in the areas assessed in the period 1995–2015.
Background
Polycyclic aromatic hydrocarbons (PAHs) are natural components of coal and oil, and are also formed during the combustion of fossil fuels and organic material, for example during activities at an oil refinery. PAHs also occur as a result of natural processes such as forest fires.
PAHs enter the marine environment through atmospheric deposition, road run-off, industrial discharges and as a result of oil spills (see thematic assessment on discharges from the oil and gas industry). PAHs in the marine environment often end up in marine sediment, where they can become trapped in lower layers unless the sediments are disturbed. PAHs also accumulate in shellfish, either absorbed directly from the marine environment or indirectly through food consumption. In contrast fish metabolise PAHs and therefore concentrations in fish are low. The problems caused by PAHs in the marine environment vary considerably from tainting the taste of fish and shellfish to potential carcinogenic effects on humans and animals.
The OSPAR Hazardous Substances Strategy has the ultimate aim of achieving concentrations in the marine environment near background values for naturally occurring substances and close to zero for man-made synthetic substances. Due to their persistence in the marine environment, their potential to bioaccumulate and their toxicity, analyses of PAH concentrations in sediment and shellfish is reported in the OSPAR Coordinated Environment Monitoring Programme (CEMP). Monitoring PAHs in biota across the OSPAR Maritime Area began between 1995 and 1999.

Shellfish – Polycyclic aromatic hydrocarbons (PAHs) can accumulate in shellfish, either absorbed directly from the marine environment or indirectly through food consumption ©Jennifer McNew
Polycyclic aromatic hydrocarbons (PAHs) are hydrocarbons composed of two or more fused aromatic rings, encompassing both parent (non-alkylated) compounds and alkylated homologues. Although PAHs can be produced through natural processes, they also arise from anthropogenic sources. Incomplete combustion processes are a major source of PAHs, but they can also be of petrogenic origin (crude oils or refinery products). PAHs of petrogenic origin include mainly alkylated, 2-ring and 3-ring PAHs formed as a result of diagenetic processes, whereas PAHs from pyrolytic sources mainly comprise the heavier, parent (non-alkylated) PAHs. Assessment of the PAH profile, including PAH ratios such as the phenanthrene/anthracene ratio or the fluoranthene /pyrene ratio can give an indication of the source of the PAHs.
PAHs are of concern due to their persistence, potential to bioaccumulate and toxicity. They are therefore included on the OSPAR List of Chemicals for Priority Action. The analyses of PAHs in both sediment and shellfish are reported in the OSPAR Coordinated Environment Monitoring Programme (CEMP).
PAH properties will vary considerably depending on the number of rings. Low molecular weight PAHs can cause tainting of fish and shellfish, rendering them unfit for sale (Davis et al., 2002); second, metabolites of some of the high molecular PAHs, such as benzo[a]pyrene, are potent animal and human carcinogens. Less is known about the toxicity of alkylated PAHs, although one study has demonstrated that alkylated PAHs may have increased toxicity compared to the parent compound (Marvanova et al., 2008).
There are marked differences in the behaviour of PAHs in the aquatic environment between the low molecular weight compounds (e.g. naphthalene) and the high molecular weight compounds (e.g. benzo[g,h,i]perylene) as a consequence of their differing physical-chemical properties. The low molecular weight compounds are appreciably water soluble and can be bioaccumulated from the dissolved phase by transfer across the gill surfaces of aquatic organisms; whereas the high molecular weight compounds are relatively insoluble and hydrophobic, and can attach to both organic and inorganic particulates within the water column. PAHs derived from combustion sources may be deposited directly to the marine environment already adsorbed to atmospheric particulates, such as soot.
PAHs can enter the marine environment through atmospheric deposition, run-off, industrial discharges and as a result of oil spills. Sediment will act as a sink for PAHs in the marine environment. PAHs are readily taken up by marine animals both across gill surfaces (lower molecular weight PAHs) and from their diet (Baumard et al., 1999). Filter-feeding organisms such as bivalve molluscs can accumulate high concentrations of PAHs. Fish do not generally accumulate high concentrations of PAHs as they possess an effective mixed-function oxygenase (MFO) system which allows them to metabolise PAHs and to excrete them in bile (Stagg et al., 1995; Richardson et al., 2001). Other marine vertebrate and marine mammals also metabolise PAHs efficiently.
PAHs are also controlled by other international instruments, for example the United Nations Economic Commission for Europe Convention on Long-Range Transboundary Air Pollution (UNECE, 2009). This obliges its member countries to reduce their emissions of persistent organic pollutants such as PAHs with the ultimate objective of eliminating discharges and emissions.
In assessing polycyclic aromatic hydrocarbons (PAHs) both ‘relative’ and ‘absolute’ aspects have been analysed:
• ‘Trend assessment’ or spatial distribution assessment to focus on relative differences and changes on spatial and temporal scales – provides information about the rates of change and whether PAH contamination is widespread or confined to specific locations; and
• ‘Status assessment’ of the significance of the (risk of) pollution, defined as the status where PAHs are at a hazardous level, usually requires assessment criteria that take account of the possible severity of the impacts and hence require criteria that take account of the natural conditions (background concentrations) and the ecotoxicology of the contaminants. For example, Environmental Assessment Criteria (EAC) are tools in this type of assessment.
OSPAR has clarified that in assessing the Co-ordinated Environmental Monitoring Programme (CEMP) data the primary assessment value used in the assessment of PAH concentrations in sediment and biota “corresponds to the achievement, or failure to achieve, statutory targets or policy objectives for contaminants in these matrices” (OSPAR, 2009). This set of assessment criteria was specifically compiled for the assessment of CEMP monitoring data on hazardous substances contributing to the Quality Status Report (QSR) 2010. The use of this set was considered an interim solution for the purposes of the QSR 2010 until more appropriate approaches to defining assessment criteria could be agreed on and implemented. These criteria have also been used in the annually recurring CEMP assessments since 2010 and will be used until OSPAR adopts improved assessment criteria and subject to the conditions set out in the agreement.
Temporal trends in PAH concentrations in biota are presented. Two assessment criteria are used to assess the status of PAH concentrations in biota: Background Assessment Concentrations (BACs) and Environmental Assessment Criteria (EAC).
OSPAR IA 2017 Indicator Assessment values are not to be considered as equivalent to proposed European Union Marine Strategy Framework Directive (MSFD) criteria threshold values. However, they can be used for the purposes of their MSFD obligations by those Contracting Parties that wish to do so.
Provenance and limitations of BACs
Background assessment concentrations (BACs) were developed by OSPAR for testing whether measured concentrations are near natural background levels for naturally occurring substances and close to zero for man-made substances, the ultimate aim of the OSPAR Hazardous Substances Strategy. Mean concentrations significantly below the BAC are said to be near natural background concentrations. BACs are statistical tools defined in relation to the background concentrations or low concentrations, which enable statistical testing of whether observed concentrations could be considered to be near natural background concentrations.
Background concentrations (BCs) are assessment tools intended to represent the concentrations of hazardous substances that would be expected in the North-East Atlantic if certain industrial developments had not happened. They represent the concentrations of those substances at ’remote’ sites, or in ’pristine’ conditions based on contemporary or historical data respectively, in the absence of significant mineralisation and/or oceanographic influences. In this way, they relate to the background values referred to in the OSPAR Hazardous Substances Strategy. BCs for man-made substances should be regarded as zero. It is recognised that natural processes such as geological variability or upwelling of oceanic waters near the coast may lead to significant variations in background concentrations of contaminants, for example trace metals. The natural variability of background concentrations should be taken into account in the interpretation of CEMP data, and local conditions should be taken into account when assessing the significance of any exceedance.
Low concentrations (LCs) are values used to assist the derivation of BACs where there have been difficulties in assembling a dataset on concentrations in remote or pristine areas from which to derive BCs. LCs have been prepared by the International Council for the Exploration of the Sea on the basis of datasets from areas that could generally be considered remote but which could not be guaranteed to be free from influence from long-range atmospheric transport of contaminants.
BACs are calculated according to the method set out in Section 4 of the CEMP Assessment Manual (OSPAR, 2008). The outcome of this method is that, on the basis of what is known about variability in observations, there is a 90% probability that the observed mean concentration will be below the BAC when the true mean concentration is at the BC. Where this is the case the true concentrations can be regarded as ‘near background’ (for naturally occurring substances) or ‘close to zero’ (for man-made substances).
BACs are calculated on the basis of variability within the CEMP dataset currently available through databases held by the ICES Data Centre and will be refined at the working level by the relevant assessment group as further CEMP monitoring data are collected.
Provenance and limitations of EACs
Environmental Assessment Criteria (EACs) were developed by OSPAR and ICES for assessing the ecological significance of biota concentrations. Some EAC values were specifically compiled for the assessment of CEMP monitoring data on hazardous substances contributing to the QSR 2010 (OSPAR Agreement 2009-2). EACs do not represent target values or legal standards under the OSPAR Convention and should not be used as such. EACs were set so that hazardous substance concentrations in biota below the EAC should not cause chronic effects in sensitive marine species, including the most sensitive species, nor should concentrations present an unacceptable risk to the environment and its living resources. However, the risk of secondary poisoning is not always considered. EACs continue to be developed for use in data assessments.
Concentrations below EACs are considered to present no significant risk to the environment, and in most cases EACs are considered analogous to the Environmental Quality Standards applied to concentrations of contaminants in water or biota, for example under the European Union Water Framework Directive.
Caution should be exercised in using these generic environmental assessment criteria in specific situations. Their use does not preclude the use of common sense and expert judgement when assessing environmental effects and/or the potential for them. Furthermore, the EACs neither take into account specific long-term biological effects such as carcinogenicity, genotoxicity and reproductive disruption due to hormone imbalances, nor do they include combination toxicology.
Assessment methods
PAH concentrations are measured in shellfish samples taken annually (or every few years) from monitoring sites throughout much of the Greater North Sea, Celtic Seas, and Bay of Biscay and Iberian Coast (Figure 1).
Monitoring of PAH in the OSPAR Maritime Area began between 1995 and 1999. Measurements of PAH concentrations in blue mussel (Mytilus edulis) made up the majority of time series in all OSPAR areas, although data were also available for Mediterranean mussels (Mytilus galloprovincialis) (Bay of Biscay and Iberian Coast) and Pacific oyster (Crassostrea gigas) (Greater North Sea, Celtic Seas, Bay of Biscay and Iberian Coast). The number of time series used in each OSPAR region and contaminants assessment area is shown in Table c. Only assessment areas with at least three monitoring sites with a reasonable geographic spread were included in the regional assessment of status and temporal trends.
For each PAH compound at each monitoring site, the time series of concentration measurements was assessed for temporal trends and status using the methods described in the contaminants online assessment tool (http://dome.ices.dk/osparmime2016/main.html). The results from these individual time series were then synthesised at the assessment area scale in a series of meta-analyses.
For temporal trends, those monitoring sites that were representative of general conditions were considered and those monitoring sites impacted due to a point source and baseline monitoring sites where temporal trends would not be expected were excluded. Analysis was also restricted to assessment areas where there were at least three monitoring sites with trend information and where those monitoring sites had reasonable geographic spread.
The trend of for each PAH compound at each monitoring site was summarised by the estimated annual change in log concentration, with its associated standard error. The annual change in log concentration was then modelled by a linear mixed model with a fixed effect:
~ OSPAR contaminants assessment area
and random effects:
~ compound + compound: OSPAR contaminants assessment area + monitoring site + compound: monitoring site + within-series variation
The choice of fixed and random effects was motivated by the assumption that the PAH compounds would have broadly similar temporal trends, since they have similar sources. Thus, the fixed effect measures the common trend in PAH compounds in each assessment area and the random effects measure variation in trends:
• between compounds common across contaminants assessment areas (compound);
• between compounds within contaminants assessment areas (compound: contaminants assessment area);
• between monitoring sites common across compounds (monitoring site); and
• residual variation (compound: monitoring site + within-series variation).
There are two residual terms. Within-series variation is the variation associated with the estimate of the temporal trend from the individual time series and is assumed known (and given by the square of the standard error). Compound: monitoring site allows for any additional residual variation.
Evidence of temporal trends in PAH concentration at the assessment area scale was then assessed by plotting the estimated fixed effects with point-wise 95% confidence intervals. Differences between compounds were explored by plotting the predicted temporal trend for each compound and for each compound/assessment area combination with point-wise 95% confidence intervals.
Similar analyses explored status at the assessment area scale. Two summary measures were considered: the log ratio of the fitted concentration in the last monitoring year to the EAC; and the log ratio of the fitted concentration in the last monitoring year to the BAC. Baseline monitoring sites were also included in these analyses.
Finally, concentration profiles across compounds at the assessment area scale were explored using the fitted log concentration in the last monitoring year.
Human health Environmental Quality Standards (EQS) are also available for fluoranthene and benzo[a]pyrene, these are on a wet weight basis but can be converted to a dry weight basis by multiplying by 5.
BACs and EACs are available for the following PAHs in mussels and oysters (Table a).
| PAH | Abbreviation | BAC (μg/kg dw) | EAC (μg/kg dw) |
|---|---|---|---|
| Naphthalene | 340 | ||
| Phenanthrene | PA | 11.0 | 1700 |
| Anthracene | ANT | 290 | |
| Fluoranthene | FLU | 12.2 | 110 |
| Pyrene | PYR | 9.0 | 100 |
| Benz[a]anthracene | BAA | 2.5 | 80 |
| Chrysene (including triphenylene) | CHR | 8.1 | |
| Benzo[a]pyrene | BAP | 1.4 | 600 |
| Benzo[g,h,i]perylene | BGHIP | 2.5 | 110 |
| Indeno[123-c,d]pyrene | ICDP | 2.4 |
Table a notes:
- BACs and EACs are converted to other bases (wet, dry or lipid weight) using species-specific conversion factors (Table b);
- PAHs are not routinely monitored in fish, so no BACs or EACs for fish have been derived.
| Species | Common name | % lipid weight in muscle | % lipid weight in liver | % dry weight in soft body | % lipid weight in soft body |
|---|---|---|---|---|---|
| Clupea harengus | Herring | 4.5 | 6.2 | ||
| Gadus morhua | Cod | 45 | |||
| Lepidorhombus whiffiagonis | Megrim | 23 | |||
| Limanda limanda | Common dab | 16 | |||
| Melanogrammus aeglefinus | Haddock | 65 | |||
| Merlangius merlangus | Whiting | 45 | |||
| Merluccius merluccius | Hake | 44 | |||
| Molva molva | Common ling | 54 | |||
| Platichthys flesus | Flounder | 13 | |||
| Pleuronectes platessa | Plaice | 10 | |||
| Zoarces vivparus | Eelpout | 0.6 | |||
| Crassostrea gigas | Pacific oyster | 19 | 1.8 | ||
| Mya arenaria | Softshell clam | 14 | 0.6 | ||
| Mytilus edulis | Blue mussel | 17 | 1.3 | ||
| Mytilus galloprovincialis | Mediterranean mussel | 19 | 2.0 | ||
| Ostrea edulis | Native oyster | 22 | 1.8 | ||
| Nucella lapillus | Dogwhelk | 34 |
The number of time series used in each OSPAR region and assessment area assessed is shown in Table c.
| Region | OSPAR contaminants assessment area | Trends | Status |
|---|---|---|---|
| Arctic Waters | Barents Sea | 0 | 2 |
| Norwegian Sea | 1 | 3 | |
| Greater North Sea | Norwegian Trench | 0 | 2 |
| Northern North Sea | 29 | 35 | |
| Skagerrak and Kattegat | 5 | 17 | |
| Southern North Sea | 14 | 18 | |
| English Channel | 25 | 25 | |
| Celtic Seas | Irish and Scottish West Coast | 12 | 23 |
| Irish Sea | 23 | 31 | |
| Celtic Sea | 0 | 6 | |
| Bay of Biscay and Iberian Coast | Northern Bay of Biscay | 15 | 16 |
| Iberian Sea | 23 | 42 | |
| Gulf of Cadiz | 0 | 3 |
Differences in methodology used for the IA 2017 compared with the QSR 2010
For the IA 2017, a meta-analysis is used to synthesise the individual time series results and provide an assessment of status and temporal trend at the assessment area level. Meta-analyses take into account both the estimate of status or temporal trend in each time series and the uncertainty in that estimate. They provide a more objective regional assessment than was possible in the QSR 2010, where a simple tabulation of the trend and status at each monitoring site was presented.
Results
PAH concentrations were measured in shellfish samples collected between 1995 and 2015 from 188 monitoring sites throughout much of the Greater North Sea, Celtic Seas, and Bay of Biscay and Iberian coast (Figure 1), at frequencies ranging from annually to every three years.
PAH concentrations were compared against two assessment criteria: the OSPAR Background Assessment Concentrations (BACs) and Environmental Assessment Criteria (EACs). Adverse effects on marine organisms are rarely observed when concentrations are below the EAC. BACs are used to assess whether concentrations are near background values for naturally occurring substances, such as PAHs; this is the ultimate aim of the OSPAR Hazardous Substances Strategy.
Mean PAH concentrations in shellfish for each OSPAR contaminants assessment area were compared to the EACs. PAH concentrations were below the EAC, but above the BAC in all 10 assessment areas (Figure 2). As PAH concentrations in shellfish were below the EAC they are unlikely to cause any adverse effects.
Temporal trends in PAH concentration in shellfish were assessed in areas where at least five years of data were available (Figure 3). Four of the assessment areas (Northern North Sea, Skagerrak and Kattegat, Irish Sea, Northern Bay of Biscay) show no statistically significant change in PAH concentrations. Declining PAH concentrations are observed in four assessment areas (Southern North Sea, English Channel, Irish and Scottish West Coasts and the Iberian Sea), with mean annual decreases in concentration of between 6.5% and 3.2%.
There is high confidence in the assessment and sampling methodology and high confidence in the data used.

Figure 1: Monitoring sites used to assess PAH concentrations in shellfish by OSPAR contaminants assessment areas (white lines) determined by hydrogeographic principles and expert knowledge not OSPAR internal boundaries

Figure 2: Mean PAH concentration in shellfish in each OSPAR contaminants assessment area, relative to the Environmental Assessment Criteria (EAC) (with 95% upper confidence limits)
Value of 1 means that the mean concentration equals the EAC. Green: the mean concentration is statistically significantly (p <0.05) below the EAC, but not statistically significantly below the Background Assessment Concentration (BAC)

Figure 3: Percentage annual change in PAH concentration in shellfish in each OSPAR contaminants assessment area.
No statistically significant (p <0.05) change in mean concentration (circle), mean concentration is significantly decreasing (downward triangle). 95% confidence limits (lines)
Regional Assessment Results
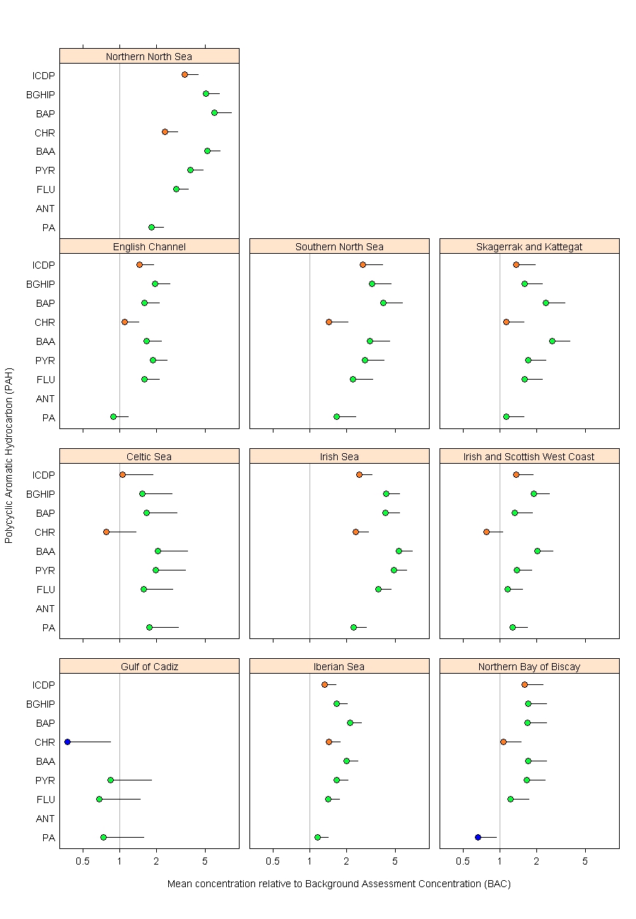
Mean concentrations in biota for individual polycyclic aromatic hydrocarbon (PAHs) relative to the Background Assessment Concentration (BAC), for each assessment area are shown in Figure a.

Figure a: Mean PAH concentration in shellfish in each OSPAR contaminants assessment area, relative to the Background Assessment Concentration (BAC) (with 95% upper confidence limits)
Value of 1 means that the mean concentration equals the BAC. Blue, mean concentration is statistically significantly (p <0.05) below the BAC. Green, the mean concentration is statistically significantly below the Environmental Assessment Criteria (EAC) but not below the BAC. Red, mean concentration is not statistically significantly below the EAC. ICDP, indeno[123-cd]pyrene; BGHIP, benzo[ghi]perylene; BAP, benzo[a]pyrene; CHR, chrysene (including triphenylene); BAA, benz[a]anthracene; PYR, pyrene; FLU, fluoranthene; PA, phenanthrene
Concentration ranges and profiles are similar across all assessment areas. Individual PAH concentrations are above the BAC in all assessment areas, except for chrysene in the Gulf of Cadiz and phenanthrene in the Northern Bay of Biscay where concentrations are at natural background levels (i.e. below the BAC). The overall assessment compared to the BAC for mean PAH concentrations in biota is shown in Figure b. In none of the assessment areas are PAH concentrations in shellfish statistically significantly below background.

Figure b: Mean PAH concentration in shellfish in each OSPAR contaminants assessment area, relative to the Background Assessment Concentration (BAC) (with 95% upper confidence limits)
Value of 1 means that the mean concentration equals the BAC. Green, mean concentration is statistically significantly (p <0.05) below the Environmental Assessment Criteria (EAC) but not statistically significantly below the BA
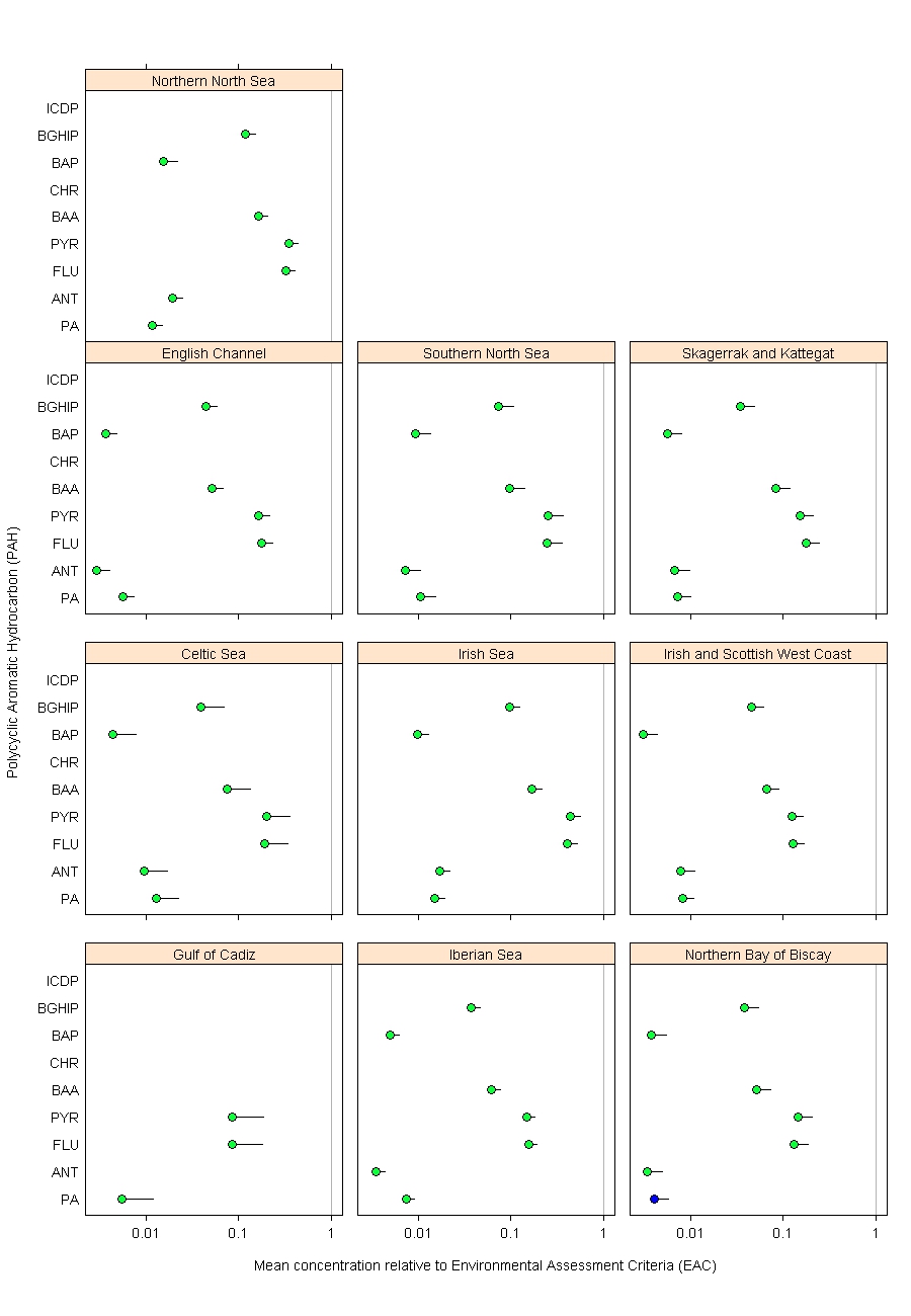
Mean PAH concentrations relative to the EAC for each assessment area are shown in Figure c. Concentrations are below the EAC for all PAHs in all assessment areas and therefore unlikely to result in any adverse effects (Figure c).

Figure c: Mean PAH concentration in shellfish in each OSPAR contaminants assessment area, relative to the Environmental Assessment Criteria (EAC) (with 95% upper confidence limits)
Value of 1 means that the mean concentration equals the EAC. Blue, mean concentration is significantly (P <0.05) below the Background Assessment Concentration (BAC) and significantly below the EAC. Green, mean concentration is not statistically significantly (P <0.05) below the BAC, but is below the EAC. ICDP, indeno[123-cd]pyrene; BGHIP, benzo[ghi]perylene; PYR, pyrene; BAA, benz[a]anthracene; BAP, benzo[a]pyrene; PA, phenanthrene; ANT, anthracene; FLU, fluoranthene (no EAC for chrysene or indeno[123-cd]pyrene)
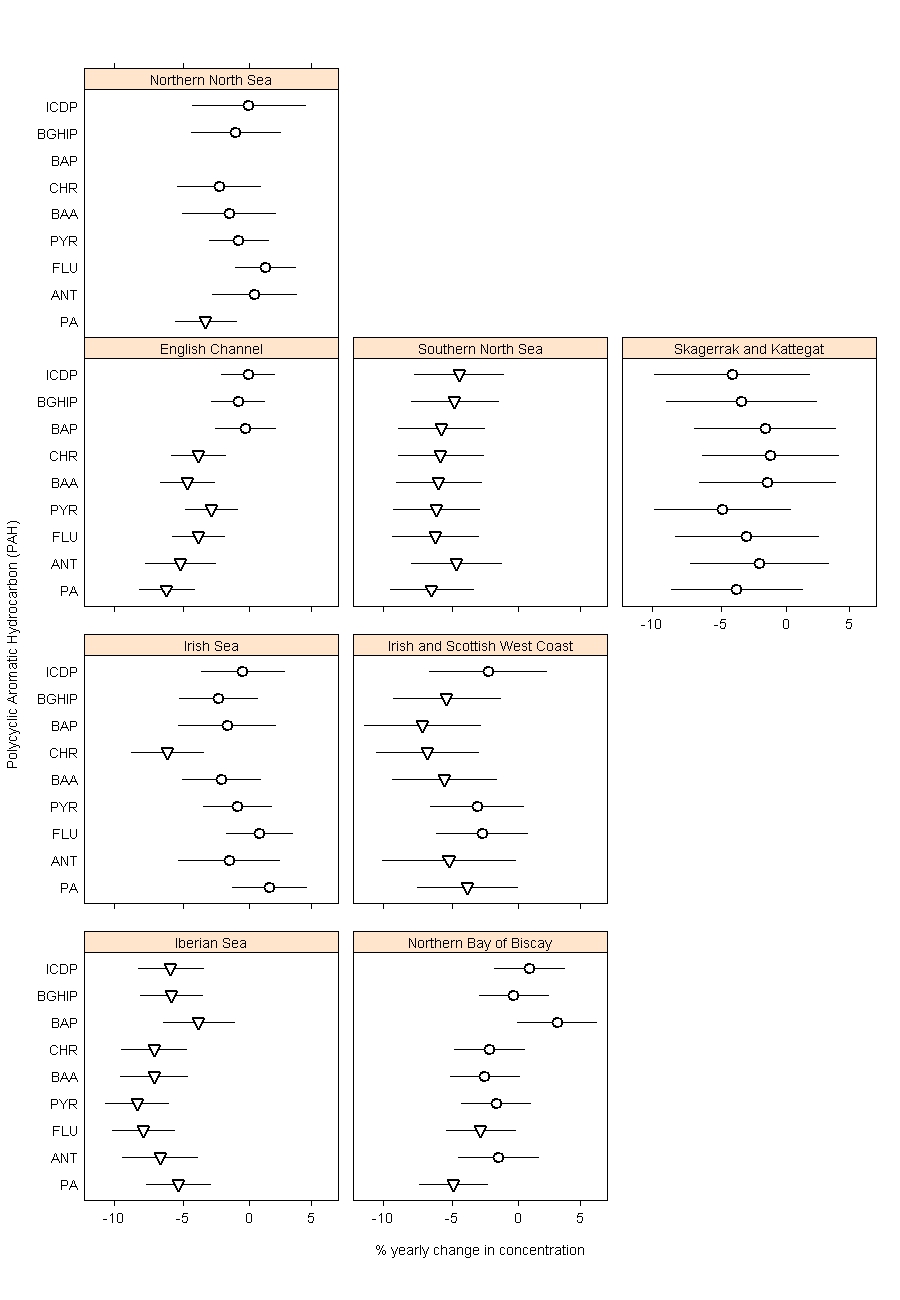
Temporal trends in PAH concentration were assessed in areas where there were at least five years of data. The percentage annual change for individual PAHs in each assessment area is shown in Figure d. There are no statistically significant upward trends in individual PAH concentrations in shellfish in any OSPAR region. The Southern North Sea and Iberian Sea are the only assessment areas where statistically significant downward trends are observed for all PAHs. In the Skagerrak and Kattegat assessment area there are no statistically significant trends.

Figure d: Percentage annual change in PAH concentration in shellfish by OSPAR contaminants assessment area and compound
No statistically significant (p <0.05) change in mean concentration (circle), mean concentration is significantly decreasing (downward triangle). ICDP, indeno[123-cd]pyrene; BGHIP, benzo[ghi]perylene; PYR, pyrene; BAA, benz[a]anthracene; BAP, benzo[a]pyrene; PA, phenanthrene; ANT, anthracene; CHR, chrysene (including triphenylene); FLU, fluoranthene
Individual Time Series Results per Monitoring Site
A summary of individual time series results per monitoring site (across the OSPAR Maritime Area) for PAH concentrations in biota is presented here http://dome.ices.dk/osparmime2016/regional_assessment_biota_pah_(parent).html. In summary, at 86 out of 1736 monitoring sites across the OSPAR Maritime Area, mean concentrations of PAH in biota are above the EAC. At 27 out of 1087 monitoring sites where temporal trend assessments have been undertaken, mean concentrations have increased over the assessment period. It should be noted that not all individual time series results are included in the regional assessments (see number of time series used in each OSPAR region and assessment area in Table c), due to the criteria set out in the assessment methods.
Confidence Assessment
There is high confidence in the quality of the data used for this assessment. The data have been collected over many years using established sampling methodologies. There is sufficient temporal and spatial coverage and no significant data gaps in the areas assessed over the relevant time periods. Although synthesis of monitoring site data for the assessment area scale uses new methods they are based on established and internationally recognised protocols for monitoring and assessment per monitoring site, therefore there is also high confidence in the methods.
Conclusion
Mean PAH concentrations in shellfish are above background concentrations in all assessed areas. However, concentrations in shellfish are below the Environmental Assessment Criteria (EAC) in all assessment areas and therefore are unlikely to cause adverse effects. Temporal trends in PAH concentration in shellfish are either decreasing or show no statistically significant change in all assessment areas assessed and no upwards trends are observed.
Whilst PAHs originate from natural sources and will always be present in the marine environment, better use of emission control technology in combustion processes could improve the situation further and reduce concentrations to natural levels.
Knowledge Gaps
There is a lack of monitoring data, particularly in Arctic waters, where there are insufficient monitoring sites with a good geographic spread for a sub-regional assessment of status and temporal trends.
Monitoring of PAH metabolites in fish bile could extend the biota monitoring programme to include open waters. Fish readily metabolise PAHs and so analysis of PAH metabolites in bile will indicate if fish have been exposed to PAH compounds.
Environmental Assessment Criteria (EACs) were used in the assessment of parent PAHs only; there are no assessment criteria for alkylated PAHs. There is a need for EACs to be developed for alkylated PAHs in shellfish. There are currently no data on PAHs in open waters, because shellfish are only found in the coastal zone. The limitations in using EACs and Background Assessment Concentrations (BACs) should be addressed with further research.
Baumard, P., Budzinski, H., Garrigues, P., Narbonne, J. F., Burgeot, T. Michel, X. and Belloccq, J. (1999). ‘Polycyclic aromatic hydrocarbon burden of mussels (Mytilius sp.) in different marine environments in relation with sediment and PAH contamination and bioavailability’, Marine Environment Research, 47, 415 – 439.
Davis, H. K., Moffat, C. F. and Shepherd N. J. (2002). ‘Experimental tainting of marine fish by three chemical dispersed petroleum products, with comparisons to the Braer oil spill’, Spill Science and Technology Bulletin, 7, 257 – 278
Marvanova, S., Vondracek, J., Pencikova, K., Trilecova, L., Krcmar, P., Topinka, J., Novakova, Z., Milcova, A., Machala, M. (2008). ‘Toxic effects of methylated benz[a]anthracenes in liver cells’, Chemical Research in Toxicology, 21, 503 – 512.
OSPAR Publication 2008-379 CEMP Assessment Manual: Co-ordinated Environmental Monitoring Programme Assessment Manual for contaminants in sediment and biota
OSPAR Publication 2009-461 Background Document on CEMP Assessment Criteria for the QSR 2010
Richardson, D. M., Davies, I. M., Moffat, C. F., Pollard, P. and Stagg, R. M. (2001) ‘Biliary PAH metabolites and EROD activity in flounder (Platichthys flesus) from a contaminated estuarine environment’, Journal of Environmental Monitoring, 3, 610 - 615.
Stagg, R. M., McIntosh A. M. and Mackie, P. (1995). ‘The induction of hepatic mono-oxygenase activity in dab (Limanda limanda) in relation to environmental contamination with petroleum hydrocarbons in the North Sea’, Aquatic Toxicology, 33: 254-264.
UNECE (2009). Stockholm Convention on Persistent Organic Pollutants Decision 2009/1, Amendment of the text of and annexes I, II, III, IV, VI and VIII to the 1998 Protocol on Persistent Organic Pollutants
| Sheet reference | HASEC17/D805 |
|---|---|
| Assessment type | Intermediate Assessment |
| Context (1) | Hazardous Substances |
| Context (2) | OSPAR Agreement 2004-12 OSPAR List of Chemicals for Priority Action (Update 2007) |
| Context (3) | D8 - Concentrations of Contaminants |
| Context (4) | D8.1 - Concentration of contaminants |
| Point of contact | Dr Lynda Webster, Marine Scotland Science, UK |
secretariat@ospar.org | |
| Metadata date | 2017-06-05 |
| Title | Status and Trends in the Concentrations of Polycyclic Aromatic Hydrocarbons (PAHs) in Shellfish |
| Resource abstract | Common indicator assessment of polycyclic aromatic hydrocarbons in shellfish applicable to the Greater North Sea, Celtic Seas, Bay of Biscay and Iberian Coast. |
| Linkage | https://www.ospar.org/convention/agreements?q=Agreement+2004-12&t=&a=&s= |
| Topic category | Environment |
| Indirect spatial reference | L3.2.1.1;L3.2.1.2;L3.2.1.3;L3.2.1.4;L3.2.1.5;L3.2.1.6;L3.2.1.7;L3.2.1.8;L3.2.1.9;L3.2.1.10;L3.2.1.11;L3.2.1.12;L3.2.1.13;L3.2.1.14;L3.2.1.15;L3.2.1.16;L3.2.1.17;L3.2.1.18; |
| N Lat | 62.0000008852327 |
| E Lon | 13.0665752428532 |
| S Lat | 36.0002573554926 |
| W Lon | -12.0250000001498 |
| Countries | BE, DK, ES, FR, IE, NL, NO, PT, SE and UK |
| Start date | 1995-01-01 |
| End date | 2015-12-31 |
| Date of publication | 2017-06-30 |
| Conditions applying to access and use | https://www.ospar.org/site/assets/files/1215/ospar_data_conditions_of_use.pdf |
| Data Snapshot | https://odims.ospar.org/documents/316/download |
| Data Results | http://dome.ices.dk/osparmime2016/regional_assessment_biota_pah_(parent).html |
| Data Results | https://odims.ospar.org/documents/298/download |
| Data Source | http://ices.dk/marine-data/data-portals/Pages/DOME.aspx |
| Data Source | http://dome.ices.dk/osparmime2016/main.html |
| Data Source | http://dome.ices.dk/views/ContaminantsBiota.aspx |
| Data Source | https://odims.ospar.org/search/?title__icontains=contaminants%20-%20biota&limit=100&offset=0 |


