Marine Bird Breeding Productivity
Background
Breeding productivity is a measure of how successful reproduction of marine birds is in a given breeding season. This assessment describes changes in breeding productivity of marine birds throughout the North-East Atlantic. The assessment is based on how many chicks are fledged (having wing feathers that are large enough for flight) annually, per pair, clutch or nest.
As long-lived species with delayed maturity, changes in the productivity of marine birds are expected to reflect changes in environmental conditions long before these are evident as changes in population size. Breeding productivity is one of the demographic determinants of population growth rate. Therefore, results of this assessment should be viewed as an early warning of changes in population status, and thus complement the assessment of marine bird abundance . At the same time, annual breeding productivity of marine birds is a sensitive indicator of the ability of marine ecosystems to support higher trophic level predators.
This Indicator Assessment has relevance to some of the seabird species included in the OSPAR List of Threatened and/or Declining Species and Habitats.

Figure 1: Northern gannet © Volker Dierschke
Justification for the Indicator
Breeding productivity is an indicator of marine bird population health in areas where commercial fisheries and seabirds target the same prey. The indicator could also provide evidence of other impacts from climate change, human disturbance, contaminants and predation by invasive species. Natural factors may also affect this indicator, such as climate driven perturbations in prey-fish availability, and predation and disturbance from native predators (e.g. peregrine falcon, white-tailed eagle and red fox). Further, extreme weather events and flooding of nests can affect productivity, both expected to increase with climate change. Distinguishing between natural and human-induced effects on breeding performance is challenging and not always possible.
This breeding productivity indicator replaces the breeding success/failure indicator used for the Intermediate Assessment in 2017 (IA 2017). By focusing on the extreme event of colony failure, the breeding success/failure method failed to identify other years where poor breeding productivity could still have significant negative impacts on the population in the longer term. The new approach predicts how observed levels of breeding productivity may impact on the long-term population growth rate of a species.
Species Included in the Indicator Assessment
This assessment focuses mainly on seabird species, because there were insufficient data on other species of marine bird (waterfowl and shorebirds) that also use the marine environment when breeding. However, data were also available for a few species of wading birds. This assessment features species from the following taxa: petrels and shearwaters (Procellariiformes); gannets and cormorants (Suliformes); ibises, spoonbills (Pelecaniformes); shorebirds, skuas, gulls, terns and auks (Charadriiformes).
Most of these species spend the majority of their time at sea, feeding on prey living within the water column (plankton, fish and squid) or detritus from the sea surface. Cormorants, gulls and terns tend to occur in inshore waters, whereas petrels, shearwaters, gannets, skuas and auks venture much further offshore and beyond the shelf break. Shorebirds and spoonbills feed along shorelines and in shallow, sheltered marine waters.
This Common Indicator Assessment has relevance to four seabird species included in the OSPAR List of Threatened and/or Declining Species and Habitats (OSPAR agreement 2008-6); black-legged kittiwake (Rissa tridactyla), lesser black-backed gull (Larus fuscus fuscus), roseate tern (Sterna dougallii), Brünnich’s guillemot (Uria lomvia). In principle the Iberian population of the common guillemot (Uria aalge) is also included, but no relevant data are available for this population. Likewise, insufficient data are available for an assessment of the ivory gull (Pagophila eburnea).
Indicators of breeding productivity were constructed using time series of annual mean breeding success (number of chicks fledged per pair, clutch or nest) of marine bird species at sites throughout the North-East Atlantic (total counts or survey plots). A separate assessment was conducted for each species in OSPAR Regions I-IV (Arctic Waters, Greater North Sea, Celtic Seas, Bay of Biscay and Iberian Coast), depending on data availability.
The breeding productivity assessments for each species were constructed from time series of annual estimates of breeding success at a sample of sites. The time series used covered the periods 1986 to 2019/2020 for the Greater North Sea and Celtic Seas, 1986 to 2020 for the Arctic Waters, and 2006 to 2016 for the Bay of Biscay and Iberian Coast. Not all sites in the sample were observed every year in the time series. The indicator method is based on the assumption that missing values are missing at random and calculates each annual estimate using a mean weighted by sample size of the available colony estimates, to reduce the effect of missing data.
Species-Specific Assessment of Breeding Productivity
Rationale for threshold Values
The threshold values applied for this indicator were developed and agreed to be technically appropriate by the Joint OSPAR / HELCOM / ICES Working Group on Marine Birds (ICES 2020). The rationale and values are described in the following sections. While the assessment of breeding success / failure used for IA 2017 provided a valuable insight into the breeding performance of marine birds and the factors that affect it (e.g. food availability), the new approach provides an indication of how observed levels of breeding productivity may affect the rate of future population growth (increase or decline), therefore addressing some limitations of the method used for IA 2017.

Figure a : Marine bird breeding productivity assessment units.
Parameter / metric
The indicator consists of estimates of population growth rate calculated from each six-year running mean of annual mean breeding productivity in each Region. A six-year running mean of breeding productivity is used to smooth the trend. These smoothed values are used to calculate the new indicator metric: population growth rate (see below). Separate population models are constructed for each species in each OSPAR Region.
Population growth rate is defined as the factor by which the population grows per year (the ratio of population size in one year to population size in the previous year t). This is also known as the finite growth rate and often denoted using the Greek letter λ (lambda). A stable population has a growth rate of 1, a growing or increasing population has a growth rate of greater than 1 and a declining population has a growth rate of less than 1.
Threshold Values
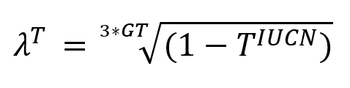
A threshold is set uniquely for each species in each Region to define the growth rate which, if sustained, would lead to a decline in population size of ≥ 30% over three generations, which is consistent with the IUCN red-listing criteria for species that are ‘Vulnerable’ (IUCN 2012). Generation time is calculated for each species using the population models used to calculate population growth rate. Generation time is then used in a simple equation to calculate the threshold population growth rate equivalent to a 30% decline in population size over 3 generations.

where GT = generation time and 𝑇𝐼𝑈𝐶𝑁 = IUCN threshold value for Vulnerable species (i.e. 0,3). The threshold for population growth rate will vary between species and potentially between Regions because of differences in generation time.
Trend analysis
Growth rates lower than the threshold described above are put into context of the likely prospects of the population by comparison to the growth rates equivalent to the other IUCN red-list criteria (IUCN 2012):
- VU (vulnerable): ≥ 30% decline over three generations
- EN (endangered): ≥ 50% decline over three generations
- CR (critically endangered): ≥ 80% decline over three generations
To minimise the impact of differences in sampling rate, and to ensure that breeding productivity was likely to be representative of the colony as a whole, minimum criteria were set for inclusion of data within the model. In each OSPAR Region, only those species that have data available for at least 2 sites and at least 10 years were considered. Two species fulfilling this criterion were nevertheless excluded: Mediterranean gull, where the available estimates largely refer to ‘colonies’ of 1 or 2 pairs; and common eider, where numbers of fledged young is recorded in some colonies, and numbers of hatched young in others. This species was excluded as there is no simple way of combining these two types of data.
The final indicator value presented for each species, in each region, in each year is the expected long-term growth rate of the population if breeding productivity was maintained at the mean level observed in the most recent six-year period.
Detailed Assessment method
For the detailed assessment methodology, please refer to the B3 Indicator CEMP Guidelines.
Species Selection and Aggregation (functional groups)
There were sufficient time series data to conduct assessments of 12 species in the Arctic Waters, 23 in the Greater North Sea, 17 in the Celtic Seas and 2 in the Bay of Biscay and Iberian Coast. Overall, 25 different species were assessed in at least one Region. The spatial distribution of monitored breeding colonies and sites is shown in Figure b.
Figure b: Spatial distribution of marine bird breeding colonies and sites, from which productivity data were used for this assessment. Available at: ODIMS

| Functional group | Typical feeding behaviour | Typical food types | Additional guidance |
|---|---|---|---|
| Surface feeders | Feed within the surface layer (within 1-2m of the surface) | Small fish, zooplankton and other invertebrates | "Surface layer" defined in relation to normal diving depth of plunge-divers (except gannets) |
| Water column feeders | Feed at a broad depth range in the water column | Pelagic and demersal fish and invertebrates (e.g., squid, zooplankton) | Include only spp. that usually diver by actively swimming underwater; but including gannets. Includes species feeding on benthic fish (e.g., flatfish) |
| Benthic feeders | Feed on the seafloor | Invertebrates (e.g., molluscs, echinoderms) | |
| Wading feeders | Walk/wade in shallow waters | Invertebrates (e.g., molluscs, polychaetes, etc). | |
| Grazing feeders | Grazing in intertidal areas and in shallow waters | Plants (e.g., eelgrass, saltmarsh plants), algae | Geese and dabbling ducks |
The breeding productivity indicator values obtained for each species were then aggregated according to five marine bird functional groups (Table a).
Some species were omitted from the regional assessments because they were not present in the Region or because of limited data available on breeding productivity or abundance (see Table c).
The species assessed in each Region belonged to three of the five functional groups: surface feeders, water column feeders and wading feeders.
Results
For the six-year period (2014 to 2019 inclusive, except 2011 to 2016 in the Bay of Biscay and Iberian coast), the percentage of species assessed which had a sufficiently high breeding productivity to avoid long-term declines was 39% in the Greater North Sea, 59% in the Celtic Seas, 58% in the Arctic Waters and 100% in the Bay of Biscay and Iberian coast (Table 1).
In the Greater North Sea, nearly all water column feeders (5 of 6 species) showed sufficient breeding productivity during this period (Table 1). This percentage was lower in the Arctic Waters (3 of 7 species) and the Celtic Seas (3 of 5 species).
In contrast, about half (7 of 12 species) of surface feeders in the Celtic Seas and very few surface feeders in the Greater North Sea (3 of 14 species) showed sufficient breeding productivity during the six-year study period. The situation was better in the Arctic Waters (4 of 5 species showed sufficient breeding productivity) (Table 1).
The proportion of surface feeders experiencing sufficient breeding productivity was lower than the 75% threshold in every year since 1991 in the Greater North Sea and in the Celtic Seas, and in most years since 2010 in the Arctic Waters (Figure 2).
There is moderate confidence in the methodology used and moderate confidence in the data coverage.
Table 1: The proportion of all marine bird species for which breeding productivity is sufficient to avoid population declines, per region and species group.
The assessment refers to the period 2014-2019, except for the Bay of Biscay and Iberian Coast, where it refers to the period 2011-2016.
| Threshold achieved (≥75%) |
| Threshold failed (<75%) |
| Percentage of species above assessment threshold value for breeding productivity | ||||
| Functional group | Arctic Waters | Greater North Sea | Celtic Seas | Bay of Biscay and Iberian coast |
| Wading feeders | 33% (3) | |||
| Surface feeders | 80% (5) | 21% (14) | 58% (12) | 100% (2) |
| Water column feeders | 43% (7) | 83% (6) | 60% (5) | |
| All | 58% (12) | 39% (23) | 59% (17) | 100% (2) |
Figure 2: Change over time in the proportion of marine bird species achieving the threshold value (≥ 30% expected decline over 3 generations) (for those species assessed each year), in each OSPAR Region.
The number of species assessed in the Bay of Biscay and Iberian coast was too low to include here. The maximum number of species included per year in each group shown in brackets in the figure legend. The number of species varied each year depending on data availability. The assessment is based on the 2019 values shown in these graphs, but 2020 values are also displayed when data are available.
Species-Specific Assessments
Separate assessments were undertaken for Arctic Waters, the Greater North Sea, the Celtic Seas and Bay of Biscay and Iberian Coast. No data were provided by OSPAR Contracting Parties for the Wider Atlantic, including Macaronesia sub-regions. The future conservation status based on the expected growth rate observed in the last year of the time series is shown for all species assessed in Table c. This value for the last year is visualised in the example Figure d, where a line shows the expected growth rates as a time series in relation to IUCN red-list categories. The graphs for all species can be downloaded here . Details of the time series of breeding productivity are available here for all species.
Table c: Predicted future conservation status for marine bird species in the North-East Atlantic area based on the expected growth rate observed in the last year of the time series within each OSPAR Region.
| Insufficient data / Not breeding |
| Breeding productivity too low to sustain population |
| Breeding productivity sufficient to sustain population |
| Feeding guild | Species (common name) | Arctic Waters | Greater North Sea | Celtic Seas | Bay of Biscay and Iberian Coast |
| Surface Feeders | Northern fulmar | EN | CR | ||
| Great skua | EN | ||||
| Arctic skua | CR | ||||
| Herring gull | CR ↓ | EN | |||
| Common gull | CR ↓ | ||||
| Lesser black-backed gull | ↑ | EN ↓ | ↑ | ||
| Great black-backed gull | EN | ↑ | |||
| Black-headed gull | CR ↓ | ||||
| Black-legged kittiwake | CR | EN | EN | ||
| Roseate tern | |||||
| Common tern | CR ↓ | VU ↑ | |||
| Arctic tern | CR ↓ | EN ↓ | |||
| Little tern | ↑ | ||||
| Sandwich tern | ↑ | ||||
Wading | Eurasian spoonbill | ||||
| Eurasian oystercatcher | CR | ||||
| Pied avocet | EN ↑ | ||||
| Water column Feeders | Great cormorant | EN | |||
| European shag | ↑ | ||||
| Northern gannet | |||||
| Razorbill | EN | VU ↑ | |||
| Black guillemot | EN ↓ | ||||
| Atlantic puffin | VU | VU ↑ | |||
| Common guillemot | ↑ | ||||
| Brünnich's guillemot | EN |
Assessment status of each species in each region in 2019 (except 2016 for Bay of Biscay and Iberian coast). When breeding productivity was too low to sustain the population, the two-letter codes show the corresponding IUCN threat status: VU (Vulnerable), EN, (endangered), CR (Critically Endangered). Arrows indicate change in IUCN threat status since a retrospective assessment of the status in 2014, using the same method. An arrow pointing up thus indicates an improvement in status since the previous assessment period.
Figure d: Expected annual population growth rate of black-legged kittiwake in OSPAR region II, the Greater North Sea, 1991 to 2020 (black line).
The colour-coded background shows the threshold values; values in the green zone indicate the threshold is achieved, whereas values in the other zones are below and indicate the threshold has been failed. For illustration, the figure also shows a breakdown for the corresponding IUCN red list categories of Vulnerable (VU), Endangered (EN) and Critically Endangered (CR). In this case, the indicator value (the value for 2019 on the black line) is 0,963, which is well below the threshold value of 0,988. This corresponds to an expected population size decline of 3,7% per year, or 67% over three generations (29,5 years for black-legged kittiwake). Current levels (six-year retrospective mean) of breeding productivity in black-legged kittiwakes in OSPAR Region II are thus too low to prevent the population from declining towards extinction. Model output indicates that with the mean levels of survival inferred for the study period, a breeding productivity of 1,15 fledged chicks/pair would be required to stabilise the population.
Confidence Assessment
The methodology used has been developed specifically for this assessment and has not been used in a previously published assessment. However, there is a strong consensus within the scientific community regarding this assessment approach which was developed through three consecutive JWGBIRD meetings (ICES 2017, 2018, 2020). Therefore, the confidence in the methodology is moderate. The assessment is undertaken using data with a mostly sufficient spatial coverage for the area assessed, but gaps are apparent in certain areas. Therefore, the confidence in data coverage is moderate.
Conclusion
In 26 out of 54 species assessments, the observed breeding productivity was so poor that the respective populations are likely to decline by more than 30% over the next three species-specific generations. In no less than 9 populations, the breeding productivity could lead to declines of more than 80%, which is equivalent to the IUCN red list category “critically endangered”, meaning that the population is facing extinction within the next decades if breeding productivity is not improved.
Conditions seem to have improved slightly since 2014, with 11 species showing an improvement in breeding productivity status and 8 showing a deterioration. As poor breeding productivity occurred across three of the four OSPAR Regions studied in this assessment and all three functional groups covered in this assessment, the problem is widespread and alarming. This calls for urgent action to conserve marine birds in the North-East Atlantic.
In the Arctic Waters, productivity was sufficient for sustainable populations in almost all surface feeders examined, with the exception of the black-legged kittiwake. In contrast, a large number of water column feeders in this Region have poor breeding productivity levels. In the Greater North Sea, nearly all seabird species that did not produce enough young to maintain the population size feed on small fish in surface waters. In the Celtic Seas, the level of productivity was generally higher, but still some surface feeders (and two water column feeders) failed the threshold. In the Bay of Biscay and the Iberian coast, too few species were assessed to draw conclusions.
The different levels of productivity seen in surface and water column feeders, particularly in the Greater North Sea, could be linked to the availability of small forage fish species at the surface (e.g. sandeel, sprat, herring and capelin) that are typical prey for various surface feeding species (e.g. black-legged kittiwake). However, prey fish availability may be low also throughout the water column in some areas (from the surface to the seabed). Prey availability is likely to be driven by ecosystem-specific changes, possibly initiated by commercial fisheries (past and present) in combination with climate change. Some changes in the status of productivity occurred in this assessment period compared to a retrospective assessment for 2014, with 11 species showing an improvement in breeding productivity and 8 showing a deterioration. Considering the deterioration in status observed for many species it appears that feeding conditions for seabirds have not improved much.
In all OSPAR Regions, breeding productivity (especially in ground-nesting terns and gulls and cliff-nesting guillemots on open ledges) will also reflect the combined result of factors such as predation and disturbance by native and non-native mammalian predators and by other birds. Likewise, disturbance by humans may also have an impact, mainly for ground-nesting species. Direct impacts on breeding productivity related to inclement weather (e.g. flooding due to heavy rain, or overheating during heatwaves) may also be important for certain species, and the frequency of such events may be increasing due to climate change.
Knowledge Gaps
This Common Indicator Assessment does not include the Wider Atlantic, because data were not available for Portugal. For the Bay of Biscay and Iberian Coast, the coverage was poor (only 2 species with sufficient data). The assessment for Arctic Waters was largely confined to Norwegian coasts (including High-Arctic islands) owing to a wider lack of data; other OSPAR countries in the Arctic are encouraged to make data available for future assessments. In the Greater North Sea, data were lacking for Denmark which does not monitor breeding productivity. For the German Wadden Sea, breeding productivity data were not supplied. In the Celtic Seas widespread seabird productivity data were available for the United Kingdom, added to by data from Brittany (France).
The data delivered for this assessment concerns almost exclusively colonial seabirds, both surface and water column feeders.
The Netherlands was the only country to supply productivity data for three species of wading feeders.
Information about breeding productivity of benthic and grazing feeders is lacking completely.
Table d presents an overview of the data deliveries for this assessment, but also points to parts of the OSPAR Regions where no data were available. In some cases, submitted breeding productivity data could not be used for this assessment, because no abundance trend data were available to feed into the population models.
OSPAR Contracting Parties should strive to implement monitoring of breeding productivity or extend existing schemes to species and species groups not yet covered in order to allow more comprehensive, region-wide assessments.
Table d: Data supplied by each OSPAR Contracting Party and used in the assessment of Marine Bird Productivity for QSR 2023. ’Y’ indicates that data were supplied, ‘N’ indicates that no data were supplied, blank cells reflect that data were not applicable.
| OSPAR Contracting Party | Arctic Waters | Greater North Sea | Celtic Seas | Bay of Biscay and Iberian Coast | Wider Atlantic |
| Denmark (Greenland) | N | ||||
| Denmark (Faroer) | N | ||||
| Iceland | N* | ||||
| Russia | N | ||||
| Norway | Y | Y | |||
| Sweden | N | ||||
| Denmark | N | ||||
| Germany | Y | ||||
| The Netherlands | Y | ||||
| Belgium | Y | ||||
| United Kingdom | Y | Y | |||
| Ireland | N | ||||
| France | Y | Y | Y | ||
| Spain | Y | ||||
| Portugal | N | N |
*Iceland provided breeding productivity data for Atlantic puffin but these could not be used in the current assessment due to insufficient breeding abundance data available to construct breeding productivity models.
Arctic Waters
The Arctic sub-region contains the highest concentrations of breeding seabirds in the North-East Atlantic. This Common Indicator assessment includes data from monitoring of marine bird productivity along the Norwegian coasts (including Svalbard and Jan Mayen) of the Norwegian and Barents Seas. In future it would be beneficial if other Contracting Parties in the Region could make their monitoring data available in a similar way and / or submit additional data on abundance in order to make it possible to conduct the assessment. Iceland only provided national total counts of breeding birds (Atlantic puffin), which are by their nature rare and thus too sparse to create abundance trends required to tune the breeding productivity models used for the assessment. If logistical constraints prevent whole colony/area counts, then representative plot samples can be used. Therefore, this type of more frequent monitoring data, if available, should be provided for future assessments.
Greater North Sea
Most Contracting Parties in the Greater North Sea collect seabird productivity data and undertake some monitoring of a few breeding waterbird species (Table d). The main gap in data is in the Skagerrak and Kattegat where breeding success is measured along the Norwegian and Swedish coasts, but not along the Danish coast. There is a coordinated scheme of annual monitoring of breeding success within the Wadden Sea (the Netherlands and Germany) that was initiated in 2009 (monitoring in the Netherlands part of the Wadden Sea started in 2005), but data for the German Wadden Sea were not made available for this assessment. Continued monitoring in these areas should mean they will be included in future assessments of this indicator.
Celtic Seas
In the Celtic Seas the assessment was mainly based on extensive monitoring effort in the United Kingdom, with additional data from Brittany (France). No data were supplied by Ireland.
Bay of Biscay and Iberian Coast
In the Bay of Biscay and Iberian Coast, monitoring of productivity in France and Spain has created time series of data included in this indicator assessment, although only for a few species. No data were supplied by Portugal, although some populations are being monitored.
Wider Atlantic
The Azores, in partnership with the other Macaronesian archipelagos outside the OSPAR Maritime Area (Madeira and the Canary Islands) have established a common monitoring plan for breeding seabirds within the framework of an EU co-financed project, MISTIC Seas (with follow-ups MISTIC Seas II and III). Breeding productivity data from these projects (Saavedra et al. 2018) were not submitted for the QSR 2023 breeding productivity assessment.
Assessment Methods: progress from OSPAR IA2017 approach
The new Marine Bird Breeding Productivity approach adopted for this indicator assessment addresses some limitations of the previous method “Marine Bird Breeding Success/Failure” acknowledged during the IA 2017. The assessment methods for the marine bird breeding success/failure indicator focused on the extreme events of almost no chicks being produced by a colony, on average, per year. In doing so, they failed to identify other years where poor but above-zero breeding success could still have significant negative impacts on the population in the longer term.
However, it is not straightforward to categorise annual breeding success as ‘good’ or ‘poor’, because the number of chicks that need to be produced each year to sustain a population or cause it to grow, varies substantially as other demographic parameters (e.g. survival rates) also vary in space and time. Information on demographics such as survival rate, age at first breeding and immature survival rates, are more resource-demanding to measure owing to the need to monitor individual birds from year to year. For well-studied species and at a few intensively studied sites these data do exist. The Marine Bird Breeding Productivity approach used for the current assessment develops a population model that is not totally reliant on empirical demographic data and predicts how observed levels of breeding productivity may impact on the long-term population growth rate of a species. Thresholds are set to indicate when breeding productivity is low enough to lead to population declines, using IUCN red list criteria to provide context to the extent of the predicted declines.
Assessment Methods: Knowledge Gaps
The indicator assumes constant values for age-specific survival. When available, annual estimates could be included. In principle, an integrated population model approach would be ideal – this could then replace B1 (Marine Bird Abundance) and B3 (Marine Bird Breeding Productivity) indicators and possibly assessments related to mortality such as the bycatch of marine birds in fishing gear (B5 Marine Bird Bycatch).
Cook, A.S.C.P., Calbrade, N.A., Austin, G.E. and Burton, N.H.K. 2011. Determining foraging use of the Dee estuary by common terns from the recent declining colony at the Shotton Lagoons and Reedbeds SSSI. BTO report to CCW, Thetford.
Cury, P.M., Boyd, I.L., Bonhommeau, S., Anker-Nilssen, T., Crawford, R.J.M., Furness, R.W., Mills, J.A., Murphy, E.J., Österblom H., Paleczny, M., Piatt, P.F., Roux, J.-P., Shannon, L. and Sydeman, W.J. 2011. Global seabird response to forage fish depletion – one-third for the birds. Science 334: 1703–1706.
Holt, D.W. 1994. Effects of short-eared owls on common tern colony desertion, reproduction, and mortality. Colonial Waterbirds 17: 1-6.
ICES 2015. Report of the Joint ICES/OSPAR Working Group on Seabirds (JWGBird), 17–21 November 2014, Copenhagen, Denmark. ICES CM 2014/ACOM: 30. 115 pp.
ICES 2017. Report of the OSPAR/HELCOM/ICES Working Group on Marine Birds (JWG-BIRD), 6-10 November 2017, Riga, Latvia. ICES CM 2017/ACOM:49. 98 pp.
ICES 2018. Report of the Joint OSPAR/HELCOM/ICES Working Group on Marine Birds (JWGBIRD), 1–5 October 2018, Ostende, Belgium. ICES CM 2017/ACOM:24. 79pp.
ICES 2020. Joint OSPAR/HELCOM/ICES Working Group on Seabirds (JWGBIRD; outputs from 2019
meeting). ICES Scientific Reports. 2:80. 101 pp. http://doi.org/10.17895/ices.pub.7466
IUCN 2012. IUCN Red List Categories and Criteria: Version 3.1. Second edition. Gland, Switzerland and Cambridge, UK: IUCN. iv + 32 pp.
Saavedra, C., Santos, M.B., Valcarce, P., Freitas, L., Silva, M., Pipa, T., Bécares, J., Gil-Velasco, M., Vandeperre, F., Gouveia, C., Lopes, V., Teixeira, A., Simão, A.P., Matias, J.O., Miodonski, J.V., Carreira, G.P., Henriques, F., Pérez, S., Esteban, R., Verborgh, P., Cañadas, A., Varo, N., Lagoa, J., Dellinger, T., Atchoi, E., Silva, C., Pérez, M., Servidio, A., Martín, V., Carrillo, M. & Urquiola, E. 2018. Macaronesian Roof Report 2018. https://misticseas3.com/sites/default/files/mrr_2018_en.pdf
Shealer, D.A. and Kress, S.W. 1991. Nocturnal abandonment response to black-crowned night-heron disturbance in a common tern colony. Colonial Waterbirds, 14, 51-56.
Contributors
Lead Authors: Morten Frederiksen, Volker Dierschke, Stefano Marra, Matt Parsons
Supporting authors: Graham French, Marco Fusi, Hans Schekkerman, Tycho Anker-Nilssen and Ian Mitchell
Supported by: The Joint OSPAR/HELCOM/ICES Expert Group on Seabirds (JWGBIRD), Intersessional Correspondence Group on the Coordination of Biodiversity Assessment and Monitoring (ICG-COBAM), and OSPAR Biodiversity Committee (BDC)
Delivered by
This work was co-funded by the European Maritime and Fisheries Fund through the project: “North-east Atlantic project on biodiversity and eutrophication assessment integration and creation of effective measures (NEA PANACEA)”, financed by the European Union’s DG ENV/MSFD 2020, under agreement No. 110661/2020/839628/SUB/ENV.C.2.
Citation
Frederiksen, M., Dierschke, V., Marra, S., Parsons, M., French, G., Fusi, M., Schekkerman, H., Anker-Nilssen, T., Mitchell, I. 2022. Marine Bird Breeding Productivity. In: OSPAR, 2023: The 2023 Quality Status Report for the Northeast Atlantic. OSPAR Commission, London. Available at: https://oap.ospar.org/en/ospar-assessments/quality-status-reports/qsr-2023/indicator-assessments/marine-bird-breeding-productivity/
| Assessment type | Indicator Assessment |
|---|---|
| Summary Results | https://odims.ospar.org/en/submissions/ospar_marine_birds_bree_msfd_2022_06/ |
| SDG Indicator | 14.2 By 2020, sustainably manage and protect marine and coastal ecosystems to avoid significant adverse impacts, including by strengthening their resilience, and take action for their restoration in order to achieve healthy and productive oceans |
| Thematic Activity | Biological Diversity and Ecosystems |
| Relevant OSPAR Documentation | OSPAR Agreement 2016-10 CEMP Guideline: Common Indicator: Marine bird breeding productivity (B3) |
| Conditions applying to access and use | https://oap.ospar.org/en/data-policy/ |
| Data Snapshot | https://odims.ospar.org/en/submissions/ospar_marine_birds_bree_snapshot_2022_06_001/ |
| Data Results | https://odims.ospar.org/en/submissions/ospar_marine_birds_bree_results_2022_06_001/ |



