Productivité de la reproduction des oiseaux de mer
Contexte
La productivité de la reproduction est une mesure du succès reproductif des oiseaux de mer au cours d’une période de reproduction donnée. La présente évaluation décrit les changements de la productivité de la reproduction des oiseaux de mer à travers l’Atlantique du Nord-Est. L’évaluation est fondée sur le nombre de jeunes à l'envol (dont les plumes des ailes sont suffisamment développées pour leur permettre de quitter le nid en volant) chaque année, par couple, par couvée ou par nid.
Les oiseaux de mer sont des espèces longévives à maturité tardive, et les changements de la productivité devraient donc refléter des changements des conditions environnementales bien avant que ceux-ci ne se manifestent par des changements de la taille des populations. La productivité de la reproduction est l’un des déterminants démographiques du taux de croissance des populations. Il faudra donc considérer les résultats de cette évaluation comme une alerte précoce signalant des changements de l’état des populations, et complétant ainsi l'évaluation de l' abondance des oiseaux de mer . La productivité annuelle de la reproduction des oiseaux de mer est aussi un indicateur sensible de la capacité des écosystèmes marins à permettre l'existence de prédateurs situés à des niveaux trophiques supérieurs.
L'évaluation de cet indicateur concerne certaines des espèces d’oiseaux de mer figurant sur la Liste OSPAR des espèces et habitats menacés et/ou en déclin.

Figure 1 : Fou de Bassan © Volker Dierschke
Justification de l’indicateur
La productivité de la reproduction est un indicateur de la santé des populations d’oiseaux de mer dans les zones où les pêches commerciales et les oiseaux de mer ciblent les mêmes proies. L’indicateur pourrait également fournir des preuves d’autres impacts résultant du changement climatique, des perturbations humaines, des contaminants et de la prédation par des espèces envahissantes. Cet indicateur peut aussi être influencé par des facteurs naturels tels que les perturbations climatiques de la disponibilité des poissons proies, ainsi que la prédation et les perturbations causées par des prédateurs indigènes (p. ex. le faucon pèlerin, le pygargue à queue blanche et le renard roux). En outre, les phénomènes météorologiques extrêmes et l’inondation des nids peuvent impacter la productivité, et on s'attend à voir augmenter ces deux types d'événements sous l'effet du changement climatique. Il est difficile de faire la distinction entre les effets naturels et les effets anthropiques sur les performances de reproduction, et ce n'est pas toujours possible.
Cet indicateur concernant la productivité de la reproduction remplace l’indicateur concernant le succès/l'échec de la reproduction des oiseaux de mer qui a été utilisé pour l’Évaluation intermédiaire de 2017 (IA 2017). En mettant l’accent sur un événement extrême, l’échec des colonies, la méthode fondée sur le succès ou l’échec de la reproduction n’a pas permis d’identifier d’autres années où une productivité de la reproduction non pas nulle, mais faible, pouvait quand même avoir des impacts négatifs importants sur la population à long terme. La nouvelle approche prédit comment les niveaux de productivité de la reproduction observés pourraient avoir un impact sur le taux de croissance à long terme de la population d’une espèce.
Espèces incluses dans l’évaluation de l'indicateur
La présente évaluation porte essentiellement sur des espèces d’oiseaux de mer, car il n'y avait pas suffisamment de données sur d'autres espèces d’oiseaux marins (avifaune aquatique et oiseaux de rivage) qui utilisent aussi le milieu marin pour se reproduire. Cependant, des données étaient également disponibles pour quelques espèces d’échassiers. La présente évaluation porte sur des espèces des taxons suivants : pétrels et puffins (Procellariiformes) ; fous de Bassan et cormorans (Suliformes) ; ibis, spatules (Pélécaniformes) ; oiseaux de rivage, labbes, goélands, sternes et alcidés (Charadriiformes).
La plupart de ces espèces passent la majorité de leur temps en mer, en se nourrissant de proies qui vivent dans la colonne d’eau (plancton, poissons et calmars) ou de détritus à la surface de la mer. Les cormorans, les goélands et des sternes sont généralement présents dans les eaux côtières, tandis que les pétrels, les puffins, les fous de Bassan, les labbes et les alcidés s’aventurent beaucoup plus au large et au-delà du bord du plateau continental. Les oiseaux de rivage et les spatules s'alimentent sur les rivages et dans les eaux marines peu profondes, dans des lieux abrités.
L'évaluation de cet indicateur commun concerne quatre espèces d’oiseaux de mer inscrites sur la Liste OSPAR des espèces et habitats menacés et/ou en déclin (Accord OSPAR 2008-6), nommément : la mouette tridactyle (Rissa tridactyla), le goéland brun (Larus fuscus fuscus), la sterne de Dougall (Sterna dougallii), et le guillemot de Brünnich, également connu sous le nom de Marmette de Brünnich (Uria lomvia). En principe, la population ibérique du guillemot de troïl (Uria aalge) est également incluse, mais on ne dispose pas de données pertinentes pour cette population. De même, on ne possède pas assez de données pour réaliser une évaluation concernant la mouette blanche (Pagophila eburnea).
Les indicateurs concernant la productivité de la reproduction sont fondés sur des séries chronologiques du succès reproductif moyen annuel (nombre de jeunes à l'envol par couple, par couvée ou par nid) d’espèces d’oiseaux de mer dans des sites disséminés à travers l’Atlantique du Nord-Est (nombres totaux ou relevés). Chaque espèce a été évaluée séparément dans les Régions I à IV d'OSPAR (Eaux arctiques, Mer du Nord au sens large, Mers celtiques, Golfe de Gascogne et côte ibérique), en fonction des données disponibles.
La productivité de la reproduction, pour chaque espèce, a été évaluée à partir de séries chronologiques d’estimations annuelles du succès reproductif dans un échantillon de sites. On a utilisé des séries chronologiques couvrant les périodes de 1986 à 2019/2020 pour les Régions Mer du Nord au sens large et Mers celtiques, de 1986 à 2020 pour la Région Eaux arctiques, et de 2006 à 2016 pour la Région Golfe de Gascogne et côte ibérique. Les sites d’échantillonnage n’ont pas été étudiés chaque année dans les séries chronologiques. La méthode d'évaluation de l'indicateur repose sur l’hypothèse selon laquelle les valeurs manquantes sont manquantes de façon aléatoire, et on calcule chaque estimation annuelle en utilisant une moyenne pondérée en fonction de la taille d’échantillon des estimations disponibles pour les colonies, afin de réduire l’effet des données manquantes.
Évaluation de la productivité de reproduction spécifique des espèces
Justification des valeurs seuils
Les valeurs seuils appliquées pour cet indicateur ont été élaborées et leur adéquation technique a été reconnue par le Groupe de travail conjoint OSPAR/HELCOM/CIEM sur les oiseaux de mer (CIEM 2020). La justification et les valeurs sont présentées dans les sections suivantes. Bien que l’évaluation du succès/de l’échec de la reproduction utilisée pour l’IA 2017 ait produit des informations extrêmement utiles sur les performances de reproduction des oiseaux de mer et sur les facteurs qui influencent celles-ci (p. ex. la disponibilité de la nourriture), la nouvelle approche indique comment les niveaux de productivité de reproduction observés peuvent influer sur le taux de croissance futur des populations (augmentation ou déclin) ; certaines limitations de la méthode utilisée pour l’IA 2017 ont ainsi été résolues.

Figure a : Unités d’évaluation de la productivité de la reproduction des oiseaux de mer.
Paramètres/mesures
L’indicateur consiste en des estimations du taux de croissance des populations, calculées à partir de chaque moyenne mobile sur six ans de la productivité de reproduction annuelle moyenne dans chaque Région. Une moyenne mobile sur six ans de la productivité de reproduction est utilisée pour lisser la tendance. Ces valeurs lissées sont utilisées pour calculer la nouvelle mesure de l’indicateur : le taux de croissance des populations (voir ci-dessous). Des modèles de population distincts sont créés pour chaque espèce dans chaque Région d'OSPAR.
Le taux de croissance d'une population est défini comme le facteur par lequel la population s'accroît par an (le rapport entre la taille de la population au cours d’une année et la taille de la population au cours de l’année précédente t). Il est également connu sous le nom de taux de croissance fini et souvent désigné par la lettre grecque λ (lambda). Une population stable a un taux de croissance de 1, une population croissante ou en augmentation a un taux de croissance supérieur à 1, et une population en déclin a un taux de croissance inférieur à 1.
Valeurs seuils
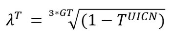
Un seuil est fixé individuellement pour chaque espèce dans chaque Région afin de définir le taux de croissance qui, s’il se maintient, entraînera un déclin de la taille de la population de ≥ 30 % sur trois générations, ce qui correspond aux critères de l’UICN pour la liste rouge des espèces « vulnérables » (UICN 2012). Le temps de génération est calculé pour chaque espèce en utilisant les modèles de population qui servent à calculer le taux de croissance des populations. Le temps de génération est ensuite utilisé dans une équation simple pour calculer le taux seuil de croissance de la population qui équivaut à une diminution de 30 % de la taille de la population sur 3 générations.

où GT = temps de génération et 𝑇𝑈I𝐶𝑁 = valeur seuil de l’UICN pour les espèces vulnérables (c’est-à-dire 0,3). Le seuil pour le taux de croissance d'une population varie d’une espèce à l’autre, et potentiellement d’une Région à l’autre, en raison des différences entre les temps de génération.
Analyse des tendances
Pour déterminer les conséquences probables de taux de croissance inférieurs au seuil décrit ci-dessus pour l'avenir d'une population, on les compare aux taux de croissance équivalents aux autres critères de la liste rouge de l’UICN (UICN 2012) :
- VU (vulnérable) : déclin de ≥ 30 % sur trois générations
- EN (en danger) : déclin de ≥ 50 % sur trois générations
- CR (en danger critique) : déclin de ≥ 80 % sur trois générations
Pour minimiser l’impact des différences entre les fréquences d’échantillonnage et pour s’assurer que la productivité de la reproduction ait toutes les chances d’être représentative de l'ensemble de la colonie, des critères minimaux ont été fixés pour l’inclusion des données dans le modèle. Dans chaque Région d'OSPAR, seules les espèces pour lesquelles des données étaient disponibles pour au moins 2 sites et sur au moins 10 ans ont été prises en compte. Deux espèces répondant à ce critère ont néanmoins été exclues, à savoir : Le mouette mélanocéphale, pour laquelle les estimations disponibles se réfèrent en grande partie à des « colonies » de 1 ou 2 couples ; et l’eider à duvet, pour lequel le nombre de jeunes à l’envol est enregistré dans certaines colonies, et le nombre de jeunes éclos dans d’autres. Cette espèce a été exclue car il n’existe aucun moyen simple de combiner ces deux types de données.
La valeur finale de l’indicateur présentée pour chaque espèce, dans chaque Région, pour chaque année, est le taux de croissance de la population prévu à long terme si la productivité de la reproduction se maintient au niveau moyen observé au cours de la période de six ans la plus récente.
Méthode d’évaluation détaillée
La méthodologie d’évaluation est présentée en détail dans les Lignes directrices du CEMP sur l’indicateur B3.
Sélection et agrégation des espèces (groupes fonctionnels)
Les séries chronologiques contenaient suffisamment de données pour évaluer 12 espèces dans la Région Eaux arctiques, 23 dans la Région Mer du Nord au sens large, 17 dans la Région Mers celtiques et 2 dans la Région Golfe de Gascogne et côte ibérique. Globalement, 25 différentes espèces ont été évaluées dans au moins une Région. La distribution spatiale des colonies reproductrices et des sites de nidification ayant fait l'objet d'une surveillance est illustrée dans la Figure b.
Figure b : Distribution spatiale des colonies reproductrices et des sites de nidification des oiseaux de mer, d'où proviennent les données de productivité utilisées pour la présente évaluation. Disponible via : ODIMS

| Groupe fonctionnel | Comportement alimentaire typique | Types d’aliments typiques | Informations supplémentaires |
|---|---|---|---|
| Oiseaux marins de surface | S'alimentent dans la couche superficielle (à une profondeur maximum de 1 à 2 m de la surface) | Petits poissons, zooplancton et autres invertébrés | La « couche superficielle » est définie par rapport à la profondeur de plongée normale des plongeurs (à l’exception des fous de Bassan) |
| Oiseaux plongeurs pélagiques | S'alimentent à des profondeurs très variables dans la colonne d’eau | Poissons et invertébrés pélagiques et démersaux (p. ex. calmars, zooplancton) | Ce groupe comprend seulement les espèces qui plongent habituellement en nageant activement sous l’eau ; il comprend cependant les fous de Bassan. Comprend les espèces qui se nourrissent de poissons benthiques (p. ex. des poissons plats). |
| Oiseaux plongeurs benthiques | S'alimentent sur le fond marin | Invertébrés (p. ex. mollusques, échinodermes) | |
| Échassiers | Marchent/se déplacent dans les eaux peu profondes | Invertébrés (mollusques, polychètes, etc.) | |
| Oiseaux herbivores | Broutent dans les zones intertidales et dans les eaux peu profondes | Plantes (p. ex. zostères, plantes des marais salants), algues | Oies et canards barboteurs |
Les valeurs de l'indicateur de productivité de la reproduction obtenues pour chaque espèce ont ensuite été agrégées selon cinq groupes fonctionnels d’oiseaux de mer (Tableau a).
Certaines espèces ont été omises des évaluations régionales car elles n’étaient pas présentes dans la Région, ou car on disposait de données limitées sur la productivité de la reproduction ou sur l’abondance (voir Tableau c).
Les espèces évaluées dans chaque Région appartenaient à trois des cinq groupes fonctionnels, à savoir : les oiseaux marins de surface, les oiseaux plongeurs pélagiques et les échassiers.
Résultats
Pour la période de six ans (de 2014 à 2019 inclusivement, sauf pour la Région Golfe de Gascogne et côte ibérique, pour laquelle la période a été de 2011 à 2016), le pourcentage d’espèces évaluées ayant une productivité de reproduction suffisamment élevée pour éviter des déclins à long terme a été de 39 % dans la Région Mer du Nord au sens large, de 59 % dans la Région Mers celtiques, de 58 % dans la Région Eaux arctiques et de 100 % dans la Région Golfe de Gascogne et côte ibérique (Tableau 1).
Dans la Région Mer du Nord au sens large, presque tous les oiseaux plongeurs pélagiques (5 espèces sur 6) ont présenté une productivité de reproduction suffisante au cours de cette période (Tableau 1). Ce pourcentage a été plus faible dans les Régions Eaux arctiques (3 espèces sur 7) et Mers celtiques (3 espèces sur 5).
En revanche, environ la moitié (7 espèces sur 12) des oiseaux marins de surface dans la Région Mers celtiques, et très peu d'oiseaux marins de surface dans la Région Mer du Nord au sens large (3 espèces sur 14), ont présenté une productivité de reproduction suffisante au cours de la période d’étude de six ans. La situation a été meilleure dans la Région Eaux arctiques, où 4 espèces sur 5 ont présenté une productivité de reproduction suffisante (Tableau 1).
La proportion d'oiseaux marins de surface présentant une productivité de reproduction suffisante a été inférieure au seuil de 75 % chaque année depuis 1991 dans les Régions Mer du Nord au sens large et Mers celtiques, et la plupart des années depuis 2010 dans la Région Eaux arctiques (Figure 2).
Un niveau de confiance modéré est associé à la méthodologie utilisée ainsi qu'à la couverture des données.
Tableau 1. Proportion de toutes les espèces d’oiseaux de mer pour lesquelles la productivité de la reproduction est suffisante pour éviter un déclin des populations, par Région et par groupe d’espèces.
L'évaluation concerne la période de 2014 à 2019, sauf pour la Région Golfe de Gascogne et côte ibérique, où elle concerne la période de 2011 à 2016.
| Seuil atteint (≥75%) |
| Seuil non atteint (<75%) |
| Pourcentage d’espèces au-dessus de la valeur d’évaluation pour la productivité de la reproduction | ||||
| Groupe fonctionnel | Eaux arctiques | Mer du Nord au sens large | Mers celtiques | Golfe de Gascogne et côte ibérique |
| Échassiers | 33% (3) | |||
| Oiseaux marins de surface | 80% (5) | 21% (14) | 58% (12) | 100% (2) |
| Oiseaux plongeurs pélagiques | 43% (7) | 83% (6) | 60% (5) | |
| Tous | 58% (12) | 39% (23) | 59% (17) | 100% (2) |
Figure 2 : Évolution dans le temps de la proportion d’espèces d’oiseaux de mer atteignant la valeur seuil (déclin de ≥ 30 % prévu sur 3 générations) (pour les espèces évaluées chaque année), dans chaque Région d'OSPAR.
Le nombre d’espèces évaluées dans la Région Golfe de Gascogne et côte ibérique n'était pas suffisant pour permettre de les inclure ici. Le nombre maximal d’espèces incluses par an dans chaque groupe est indiqué entre parenthèses dans la légende de la figure. Le nombre d’espèces a varié chaque année en fonction de la disponibilité des données. L’évaluation est fondée sur les valeurs de 2019 indiquées dans ces graphes, mais les valeurs de 2020 sont également présentées lorsque des données sont disponibles.
Évaluations spécifiques aux espèces
Des évaluations distinctes ont été entreprises pour les Régions Eaux arctiques, Mer du Nord au sens large, Mers celtiques et Golfe de Gascogne et côte ibérique. Aucune donnée n’a été fournie par les Parties contractantes d'OSPAR pour la Région Atlantique au large, y compris les sous-régions de Macaronésie. L’état de conservation futur, déterminé à partir du taux de croissance prévu observé au cours de la dernière année de la série chronologique, est présenté pour toutes les espèces évaluées dans le Tableau c. Cette valeur pour la dernière année est visualisée dans l’exemple de la Figure d, où une ligne représente les taux de croissance prévus sous forme de série chronologique par rapport aux catégories de la liste rouge de l’UICN. Les graphes pour toutes les espèces peuvent être téléchargés ici . Les séries chronologiques de la productivité de la reproduction sont présentées en détail et disponibles ici pour toutes les espèces.
Tableau c : État de conservation futur prévu pour les espèces d’oiseaux de mer dans l’Atlantique du Nord-Est, déterminé à partir du taux de croissance prévu observé au cours de la dernière année de la série chronologique, dans chaque Région d'OSPAR.
| Pas suffisamment de données/pas de reproduction |
| Productivité de la reproduction trop faible pour maintenir les effectifs de la population |
| Productivité de la reproduction suffisante pour maintenir les effectifs de la population |
| Guilde d'alimentation | Espèce | Eaux arctiques | Mer du Nord au sens large | Mers celtiques | Golfe de Gascogne et côte ibérique |
| oiseaux marins de surface | Fulmar boréal | EN | CR | ||
| Grand labbe | EN | ||||
| Labbe parasite | CR | ||||
| Goéland argenté | CR ↓ | EN | |||
| Goéland cendré | CR ↓ | ||||
| Goéland brun | ↑ | EN ↓ | ↑ | ||
| Goéland marin | EN | ↑ | |||
| Mouette rieuse | CR ↓ | ||||
| Mouette tridactyle | CR | EN | EN | ||
| Sterne de Dougall | |||||
| Sterne pierre garin | CR ↓ | VU ↑ | |||
| Sterne arctique | CR ↓ | EN ↓ | |||
| Sterne naine | ↑ | ||||
| Sterne caugek | ↑ | ||||
| échassiers | Spatule blanche | ||||
| Huîtrier pie | CR | ||||
| Avocette élégante | EN ↑ | ||||
| oiseaux plongeurs pélagiques | Grand cormoran | EN | |||
| Cormoran huppé | ↑ | ||||
| Fou de Bassan | |||||
| Pingouin torda | EN | VU ↑ | |||
| Guillemot à miroir | EN ↓ | ||||
| Macareux moine | VU | VU ↑ | |||
| Guillemot de Troïl | ↑ | ||||
| Guillemot de Brünnich | EN |
État selon l’évaluation de chaque espèce dans chaque Région, en 2019 (sauf pour la Région Golfe de Gascogne et côte ibérique, pour laquelle l’année est 2016). Les espèces figurent par guilde d'alimentation (oiseaux marins de surface, échassiers et oiseaux plongeurs pélagiques). Lorsque la productivité de la reproduction est trop faible pour maintenir les effectifs de la population, les codes à deux lettres indiquent l’état correspondant sur la liste rouge de l’UICN, c’est-à-dire Vulnérable (VU), En danger (EN), et En danger critique (CR). Les hachures indiquent que ces cases devraient être remplies dans la version finale. Les flèches indiquent les changements de la mesure dans laquelle l’UICN juge l’espèce menacée depuis une évaluation rétrospective de l’état réalisée pour 2014 selon la même méthode. Ainsi, une flèche pointant vers le haut indique une amélioration de l’état depuis la période d’évaluation précédente.
Figure d : Taux de croissance annuel prévu de la population de mouettes tridactyles dans la Région II d'OSPAR, Mer du Nord au sens large, de 1991 à 2020 (ligne noire).
L’arrière-plan codé couleur indique les valeurs seuils ; les valeurs figurant dans la zone verte indiquent que le seuil a été atteint, tandis que les valeurs figurant dans les autres zones sont inférieures et indiquent que le seuil n'a pas été atteint. À titre d’illustration, la figure montre également une ventilation pour les catégories correspondantes de la liste rouge de l’UICN : Vulnérable (VU), En danger (EN), et En danger critique (CR). Dans ce cas, la valeur de l’indicateur (la valeur pour 2019 sur la ligne noire) est de 0,963, un chiffre largement inférieur à la valeur seuil de 0,988. D'après ce chiffre, le déclin de la taille de la population devrait être de 3,7 % par an, soit 67 % sur trois générations (29,5 ans pour la mouette tridactyle). Les niveaux actuels (moyenne rétrospective sur six ans) de la productivité de la reproduction des mouettes tridactyles dans la Région II d'OSPAR sont donc trop bas pour éviter un déclin vers l’extinction de la population. Les résultats du modèle indiquent qu’avec les niveaux moyens de survie déduits de la période d’étude, on aurait besoin d'une productivité de reproduction de 1,15 jeunes à l’envol par couple pour stabiliser la population.
Évaluation du niveau de confiance
La méthodologie utilisée a été élaborée spécialement pour cette évaluation et n’a pas été utilisée dans une évaluation publiée précédemment. Cependant, il existe un fort consensus au sein de la communauté scientifique concernant cette approche d’évaluation, qui a été élaborée lors de trois réunions consécutives du JWGBIRD (CIEM 2017, 2018, 2020). Un niveau de confiance modéré est donc associé à la méthodologie. L’évaluation s'appuie sur des données dont la couverture spatiale est généralement suffisante pour la zone évaluée, mais des lacunes sont apparentes dans certaines zones. Un niveau de confiance modéré est donc associé à la couverture des données.
Conclusion
On constate que dans 26 des 54 évaluations des espèces, la productivité de la reproduction est si faible que les populations respectives vont probablement diminuer de plus de 30 % au cours des trois prochaines générations spécifiques des espèces. Dans pas moins de 9 populations, la productivité de la reproduction pourrait aboutir à des déclins de plus de 80 % ; ce niveau équivaut à la catégorie « En danger critique » de la liste rouge de l’UICN, ce qui signifie que la population est menacée d’extinction en quelques décennies si la productivité de la reproduction ne s'améliore pas.
Les conditions semblent s’être légèrement améliorées depuis 2014, 11 espèces présentant une amélioration de la productivité de leur reproduction et 8 présentant une détérioration de celle-ci. On a vu une faible productivité de la reproduction dans trois des quatre Régions d'OSPAR étudiées pour cette évaluation et dans les trois groupes fonctionnels couverts par l'évaluation, il s'agit donc d'un problème alarmant et largement répandu. Face à cette situation, il faut agir d'urgence pour sauvegarder les oiseaux de mer dans l’Atlantique du Nord-Est.
Dans la Région Eaux arctiques, la productivité a été suffisante pour assurer la durabilité des populations de presque tous les oiseaux marins de surface évalués, sauf la mouette tridactyle. En revanche, les niveaux de productivité de la reproduction sont faibles pour un grand nombre d'oiseaux plongeurs pélagiques dans cette Région. Dans la Région Mer du Nord au sens large, presque toutes les espèces d’oiseaux de mer qui n'ont pas produit assez de jeunes pour maintenir la taille de la population se nourrissent de petits poissons dans les eaux de surface. Dans la Région Mers celtiques, le niveau de productivité a été généralement plus élevé, mais certains oiseaux marins de surface (et deux oiseaux plongeurs pélagiques) n’ont pas atteint le seuil. Dans la Région Golfe de Gascogne et côte ibérique, trop peu d’espèces ont été évaluées pour permettre de tirer des conclusions.
Les différents niveaux de productivité observés chez les oiseaux marins de surface et chez les plongeurs pélagiques, en particulier dans la Région Mer du Nord au sens large, pourraient être liés à la disponibilité des espèces de petits poissons fourrage présentes en surface (par exemple le lançon, le sprat, le hareng et le capelan), qui sont des proies typiques de diverses espèces qui s'alimentent à la surface (par exemple la mouette tridactyle). Cependant, la disponibilité des poissons proies pourrait aussi être faible dans toute la colonne d’eau (de la surface au fond marin) dans certaines zones. La disponibilité des proies est probablement influencée par des changements spécifiques des écosystèmes, peut-être amorcés par les pêches commerciales (passées et présentes) en combinaison avec le changement climatique. Certains changements dans l’état de la productivité sont survenus au cours de cette période d’évaluation, comparativement à une évaluation rétrospective pour 2014, 11 espèces présentant une amélioration de la productivité de reproduction et 8 présentant une détérioration de celle-ci. Vu la détérioration de l’état observée chez de nombreuses espèces, il semble que les conditions d’alimentation des oiseaux de mer ne se soient guère améliorées.
Dans toutes les Régions d'OSPAR qui ont été évaluées, la productivité de la reproduction (en particulier chez les sternes et les goélands nichant au sol et les guillemots nichant dans les falaises, sur des corniches ouvertes) reflète aussi certainement les conséquences cumulées de facteurs tels que la prédation et la perturbation par des mammifères prédateurs indigènes et non indigènes et par d’autres oiseaux. De même, les perturbations anthropiques peuvent aussi avoir un impact, principalement pour les espèces nichant au sol. Les impacts directs liés aux intempéries (p. ex. inondations dues à de fortes pluies ou surchauffe pendant les vagues de chaleur) sur la productivité de la reproduction peuvent également être importants pour certaines espèces, et la fréquence de ces événements est peut-être en augmentation sous l'effet du changement climatique.
Lacunes dans les connaissances
La Région Atlantique au large n'a pas été incluse dans l'évaluation de cet indicateur commun car on ne disposait pas de données pour le Portugal. Pour la Région Golfe de Gascogne et côte ibérique, la couverture était faible (suffisamment de données pour 2 espèces seulement). L’évaluation concernant la Région Eaux arctiques a été largement limitée aux côtes norvégiennes (y compris les îles du Haut-Arctique), car il n'y avait pas suffisamment de données pour réaliser une évaluation plus générale ; les autres pays arctiques d'OSPAR sont encouragés à présenter des données pour les évaluations futures. Dans la Région Mer du Nord au sens large, il manquait des données pour le Danemark, qui ne surveille pas la productivité de la reproduction. On n'a pas fourni de données sur la productivité de la reproduction concernant la partie allemande de la mer des Wadden. Dans la Région Mers celtiques, des données sur la productivité des oiseaux de mer couvrant des zones étendues étaient disponibles pour le Royaume-Uni, et des données concernant la Bretagne (France) sont venues s'y ajouter.
Les données fournies pour la présente évaluation concernent presque exclusivement les oiseaux de mer vivant en colonies, aussi bien les oiseaux marins de surface que les plongeurs pélagiques.
Les Pays-Bas ont été le seul pays à fournir des données sur la productivité de trois espèces d’échassiers.
On ne possède aucune information sur la productivité de la reproduction des oiseaux plongeurs benthiques et des oiseaux herbivores.
Le Tableau d présente une vue d’ensemble des données fournies pour la présente évaluation. Il indique aussi les zones des Régions d'OSPAR pour lesquelles aucune donnée n’était disponible. Dans certains cas, il n'a pas été possible d'utiliser les données sur la productivité de la reproduction présentées pour cette évaluation, car on ne possédait pas de données sur les tendances de l’abondance à inclure dans les modèles de population.
Les Parties contractantes d'OSPAR devraient s’efforcer de mettre en place une surveillance de la productivité de la reproduction, ou d’étendre les programmes existants aux espèces et aux groupes d’espèces qui ne sont pas encore couverts, afin de permettre de réaliser des évaluations plus complètes à l’échelle régionale.
Tableau d : Données fournies par chaque Partie contractante d'OSPAR et utilisées dans l’évaluation de la productivité des oiseaux de mer réalisée pour le QSR 2023. La mention « O » indique que des données ont été fournies, la mention « N » indique qu’aucune donnée n’a été fournie, les cases vides indiquent des données non applicables.
| Partie contractante d'OSPAR | Eaux arctiques | Mer du Nord au sens large | Mers celtiques | Golfe de Gascogne et côte ibérique | Atlantique au large |
| Danemark (Groenland) | N | ||||
| Danemark (îles Féroé) | N | ||||
| Islande | N* | ||||
| Russie | N | ||||
| Norvège | O | O | |||
| Suède | N | ||||
| Danemark | N | ||||
| Allemagne | O | ||||
| Pays-Bas | O | ||||
| Belgique | O | ||||
| Royaume-Uni | O | O | |||
| Irlande | N | ||||
| France | O | O | O | ||
| Espagne | O | ||||
| Portugal | N | N |
* L’Islande a fourni des données sur la productivité de la reproduction du macareux moine, mais on n’a pas pu utiliser ces données dans la présente évaluation car on ne disposait pas de suffisamment de données sur l’abondance de la reproduction pour construire des modèles de productivité de la reproduction.
Eaux arctiques
La sous-région arctique contient les plus fortes concentrations d’oiseaux de mer reproducteurs dans l’Atlantique du Nord-Est. L'évaluation de cet indicateur commun comprend des données issues de la surveillance de la productivité des oiseaux de mer le long des côtes norvégiennes (y compris Svalbard et l'île Jan Mayen) de la mer de Norvège et de la mer de Barents. À l’avenir, il serait utile que d’autres Parties contractantes de la Région mettent leurs données de surveillance à disposition de manière similaire et/ou présentent des données supplémentaires sur l’abondance pour permettre de réaliser l’évaluation. L’Islande a fourni seulement des nombres totaux nationaux d’oiseaux reproducteurs (macareux moines), qui sont, de par leur nature, rares et donc trop peu nombreux pour produire les tendances d’abondance nécessaires pour ajuster les modèles de productivité de la reproduction utilisés pour l’évaluation. Si des contraintes logistiques empêchent le dénombrement de colonies ou de zones entières, des échantillons représentatifs peuvent être utilisés. Par conséquent, des données de ce type issues d'une surveillance plus fréquente, si elles sont disponibles, devraient être fournies pour les évaluations futures.
Mer du Nord au sens large
La plupart des Parties contractantes de la Région Mer du Nord au sens large collectent des données sur la productivité des oiseaux de mer et pratiquent une surveillance de quelques espèces d’oiseaux aquatiques reproducteurs (Tableau d). La principale lacune dans les données se situe dans le Skagerrak et le Kattegat, où le succès reproductif est mesuré le long des côtes norvégiennes et suédoises, mais pas le long de la côte danoise. Il existe un programme coordonné de surveillance annuelle du succès reproductif dans la mer des Wadden (Pays-Bas et Allemagne), qui a été lancé en 2009 (la surveillance dans la partie néerlandaise de la mer des Wadden a commencé en 2005), mais les données concernant la partie allemande de la mer des Wadden n’ont pas été mises à disposition pour la présente évaluation. Une surveillance continue dans ces zones devrait permettre d'inclure ces données dans les évaluations futures de cet indicateur.
Mers celtiques
Dans la Région Mers celtiques, l’évaluation a reposé essentiellement sur un vaste effort de surveillance au Royaume-Uni, complété par des données provenant de la Bretagne (France). Aucune donnée n’a été fournie par l’Irlande.
Golfe de Gascogne et côte ibérique
Dans la Région Golfe de Gascogne et côte ibérique, la surveillance de la productivité en France et en Espagne a produit des séries chronologiques de données qui ont été incluses dans l'évaluation de cet indicateur, mais seulement pour quelques espèces. Aucune donnée n’a été fournie par le Portugal, bien que certaines populations fassent l’objet d’une surveillance.
Atlantique au large
Les Açores, en partenariat avec les autres archipels macaronésiens situés en dehors de la zone maritime d'OSPAR (Madère et les îles Canaries), ont mis en place un plan commun de surveillance des oiseaux de mer reproducteurs dans le cadre d’un projet cofinancé par l’UE, MISTIC Seas (avec des projets de suivi, MISTIC Seas II et III). Les données sur la productivité de la reproduction issues de ces projets (Saavedra et al., 2018) n’ont pas été présentées pour l’évaluation de la productivité de la reproduction dans le cadre du QSR 2023.
Méthodes d’évaluation : progrès réalisés depuis l’approche suivie pour l'IA 2017 d'OSPAR
La nouvelle approche suivie pour étudier la productivité de la reproduction des oiseaux de mer pour l'évaluation de cet indicateur a permis de résoudre certaines limites de la méthode précédente, « Succès/échec de la reproduction des oiseaux de mer », reconnues lors de l’IA 2017. Pour évaluer l’indicateur de succès/d’échec de la reproduction des oiseaux de mer, on a utilisé des méthodes fondées sur des événements extrêmes, signifiant qu'en moyenne, le nombre de jeunes oiseaux produits par une colonie, par an, était pratiquement nul. Les méthodes fondées sur cette approche n’ont pas permis d’identifier d’autres années où un succès reproductif faible, et néanmoins supérieur à zéro, pouvait quand même avoir des impacts négatifs importants sur la population à long terme.
Il n’est cependant pas simple de classer le succès reproductif annuel dans la catégorie « bon » ou « mauvais », car le nombre de jeunes oiseaux qui doivent être produits chaque année pour maintenir les effectifs d'une population ou la faire croître varie considérablement, d’autres paramètres démographiques (par exemple les taux de survie) variant aussi dans l’espace et dans le temps. Les mesures nécessaires pour recueillir des informations démographiques telles que le taux de survie, l’âge de première reproduction et les taux de survie des oiseaux immatures, sont plus exigeantes en ressources, car il faut suivre certains oiseaux d'une année à l’autre. Pour certaines espèces largement étudiées et dans quelques sites suivis très attentivement, on dispose effectivement de telles données. L’approche suivie pour étudier la productivité de la reproduction des oiseaux de mer pour la présente évaluation permet d’élaborer un modèle de population qui ne dépend pas entièrement de données démographiques empiriques, et qui prédit comment les niveaux de productivité de la reproduction observés pourraient impacter le taux de croissance à long terme de la population d’une espèce. Des seuils sont fixés pour indiquer lorsque la productivité de la reproduction est suffisamment faible pour aboutir à des déclins des populations, et les critères de la liste rouge de l’UICN fournissent un contexte à l’ampleur des déclins prédits.
Méthodes d'évaluation : Lacunes dans les connaissances
L’indicateur attribue des valeurs constantes à la survie en fonction de l'âge. Lorsqu’elles sont disponibles, des estimations annuelles pourraient être incluses. En principe, l'idéal serait d'avoir une approche intégrée pour le modèle de population – celle-ci pourrait alors remplacer les indicateurs B1 (Abondance des oiseaux de mer) et B3 (Productivité de la reproduction des oiseaux de mer), et éventuellement des évaluations liées à la mortalité, telles que les captures accessoires d’oiseaux de mer dans les engins de pêche (B5 Captures accessoires d’oiseaux de mer).
Cook, A.S.C.P., Calbrade, N.A., Austin, G.E. and Burton, N.H.K. 2011. Determining foraging use of the Dee estuary by common terns from the recent declining colony at the Shotton Lagoons and Reedbeds SSSI. BTO report to CCW, Thetford.
Cury, P.M., Boyd, I.L., Bonhommeau, S., Anker-Nilssen, T., Crawford, R.J.M., Furness, R.W., Mills, J.A., Murphy, E.J., Österblom H., Paleczny, M., Piatt, P.F., Roux, J.-P., Shannon, L. and Sydeman, W.J. 2011. Global seabird response to forage fish depletion – one-third for the birds. Science 334: 1703–1706.
Holt, D.W. 1994. Effects of short-eared owls on common tern colony desertion, reproduction, and mortality. Colonial Waterbirds 17: 1-6.
ICES 2015. Report of the Joint ICES/OSPAR Working Group on Seabirds (JWGBird), 17–21 November 2014, Copenhagen, Denmark. ICES CM 2014/ACOM: 30. 115 pp.
ICES 2017. Report of the OSPAR/HELCOM/ICES Working Group on Marine Birds (JWG-BIRD), 6-10 November 2017, Riga, Latvia. ICES CM 2017/ACOM:49. 98 pp.
ICES 2018. Report of the Joint OSPAR/HELCOM/ICES Working Group on Marine Birds (JWGBIRD), 1–5 October 2018, Ostende, Belgium. ICES CM 2017/ACOM:24. 79pp.
ICES 2020. Joint OSPAR/HELCOM/ICES Working Group on Seabirds (JWGBIRD; outputs from 2019
meeting). ICES Scientific Reports. 2:80. 101 pp. http://doi.org/10.17895/ices.pub.7466
IUCN 2012. IUCN Red List Categories and Criteria: Version 3.1. Second edition. Gland, Switzerland and Cambridge, UK: IUCN. iv + 32 pp.
Saavedra, C., Santos, M.B., Valcarce, P., Freitas, L., Silva, M., Pipa, T., Bécares, J., Gil-Velasco, M., Vandeperre, F., Gouveia, C., Lopes, V., Teixeira, A., Simão, A.P., Matias, J.O., Miodonski, J.V., Carreira, G.P., Henriques, F., Pérez, S., Esteban, R., Verborgh, P., Cañadas, A., Varo, N., Lagoa, J., Dellinger, T., Atchoi, E., Silva, C., Pérez, M., Servidio, A., Martín, V., Carrillo, M. & Urquiola, E. 2018. Macaronesian Roof Report 2018. https://misticseas3.com/sites/default/files/mrr_2018_en.pdf
Shealer, D.A. and Kress, S.W. 1991. Nocturnal abandonment response to black-crowned night-heron disturbance in a common tern colony. Colonial Waterbirds, 14, 51-56.
Contributeurs
Auteurs principaux : Morten Frederiksen, Volker Dierschke, Stefano Marra, Matt Parsons
Auteurs collaborateurs : Graham French, Marco Fusi, Hans Schekkerman, Tycho Anker-Nilssen and Ian Mitchell
Avec le soutien des groupes suivants : The Joint OSPAR/HELCOM/ICES Expert Group on Seabirds (JWGBIRD), Intersessional Correspondence Group on the Coordination of Biodiversity Assessment and Monitoring (ICG-COBAM), and OSPAR Biodiversity Committee (BDC)
Réalisation de l’évaluation
Ce travail a été co-financé par le Fonds européen pour les affaires maritimes et la pêche dans le cadre du projet : « North-East Atlantic project on biodiversity and eutrophication assessment integration and creation of effective measures (NEA PANACEA) », financé par la DG ENV/MSFD 2020 de l'Union européenne, dans le cadre de l'accord n° 110661/2020/839628/SUB/ENV.C.2.
Citation
Frederiksen, M., Dierschke, V., Marra, S., Parsons, M., French, G., Fusi, M., Schekkerman, H., Anker-Nilssen, T., Mitchell, I. OSPAR 2022. Productivité de la reproduction des oiseaux de mer. OSPAR, 2023 : Bilan de santé. Commission OSPAR, Londres. Disponible via le lien suivant : oap.ospar.org/fr/evaluations-ospar/bilan-de-sante/2023/evaluations-des-indicateurs/productivite-de-la-reproduction-des-oiseaux-de-mer/
| Résumé des résultats | https://odims.ospar.org/en/submissions/ospar_marine_birds_bree_msfd_2022_06/ |
|---|---|
| Indicateur ODD | 14.2 D’ici à 2020, gérer et protéger durablement les écosystèmes marins et côtiers, notamment en renforçant leur résilience, afin d’éviter les graves conséquences de leur dégradation et prendre des mesures en faveur de leur restauration pour rétablir la santé la productivité des océans |
| Activité thématique | Diversité biologique et écosystèmes |
| Documentation OSPAR pertinente | OSPAR Agreement 2016-10 CEMP Guideline: Common Indicator: Marine bird breeding productivity (B3) |
| Conditions d’accès et d’utilisation | https://oap.ospar.org/fr/politique-de-donnees/ |
| Instantané de données | https://odims.ospar.org/en/submissions/ospar_marine_birds_bree_snapshot_2022_06_001/ |
| Résultats des données | https://odims.ospar.org/en/submissions/ospar_marine_birds_bree_results_2022_06_001/ |



